Search

Article

x

留言板

姓名
邮箱
手机号码
标题
留言内容
验证码

Citation:

Sui Peng-Xiang
cstr: 32037.14.aps.73.20241332
Article Text (iFLYTEK Translation)
PDF
HTML
Get Citation
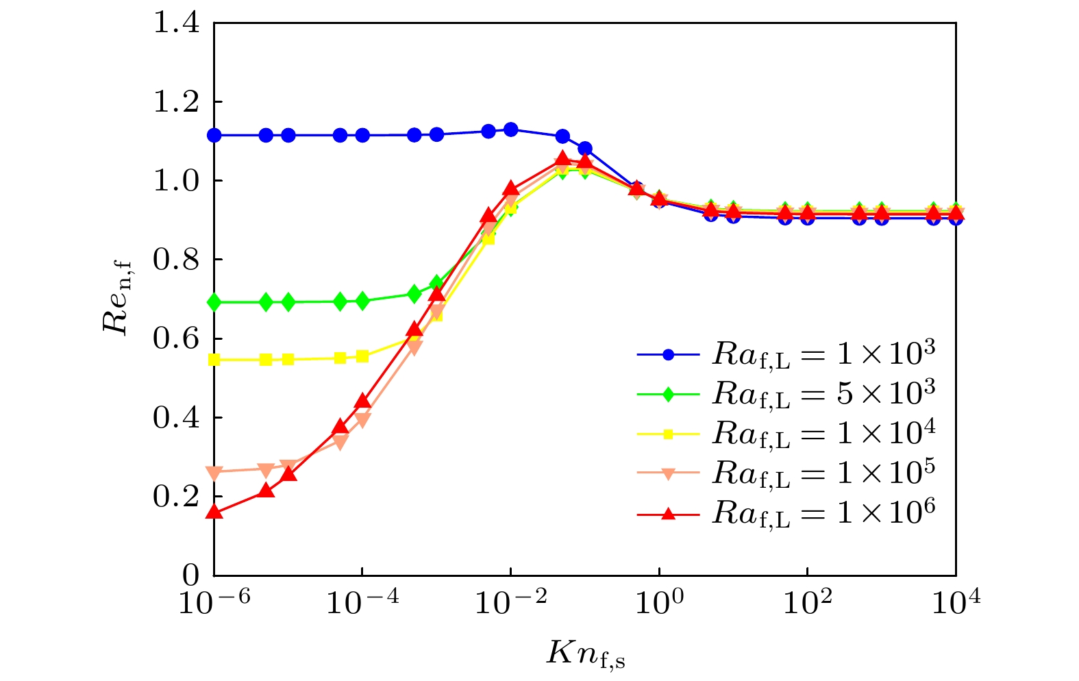
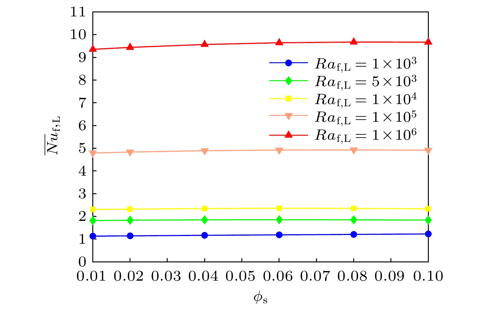
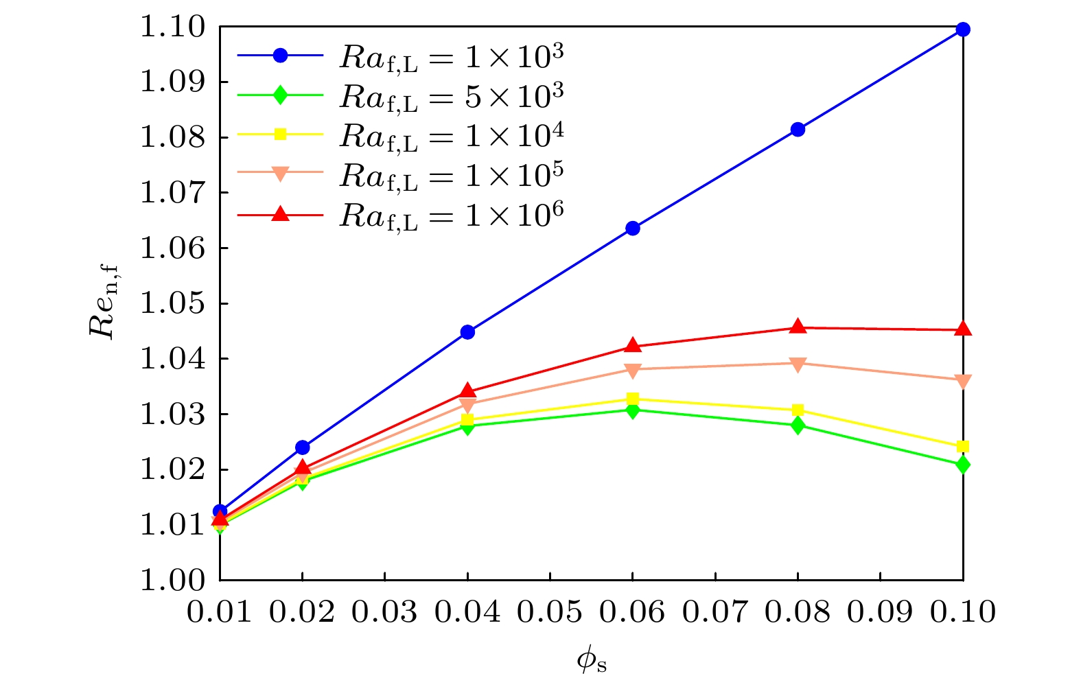
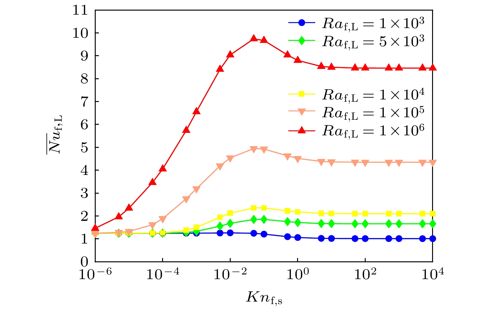
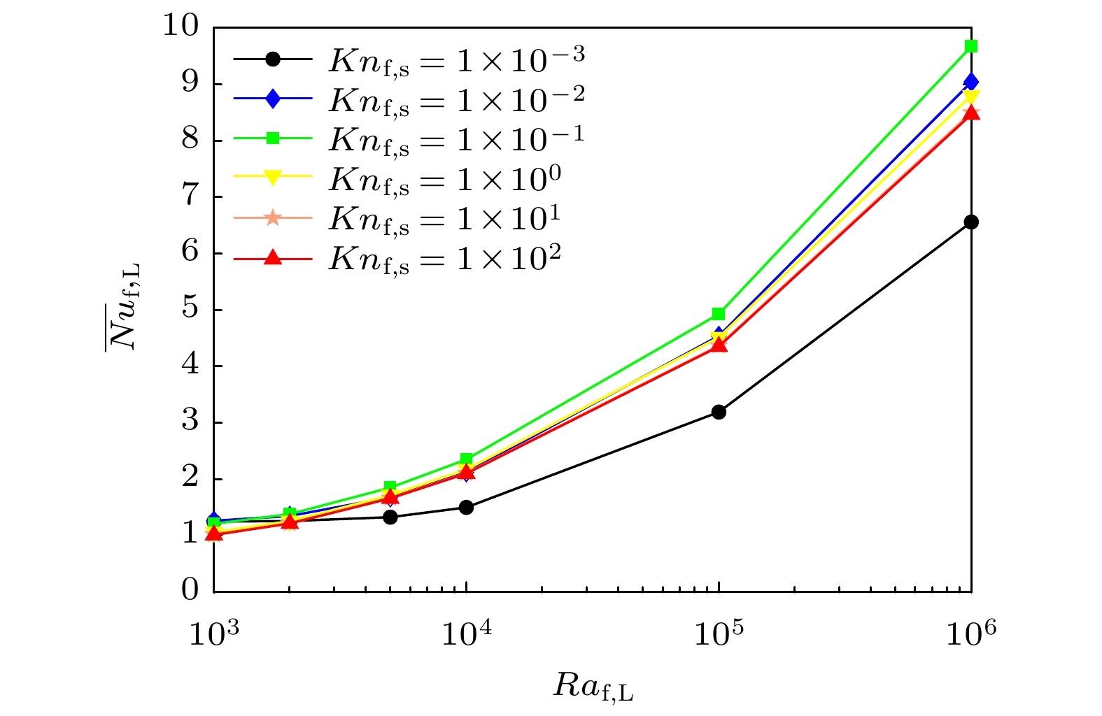
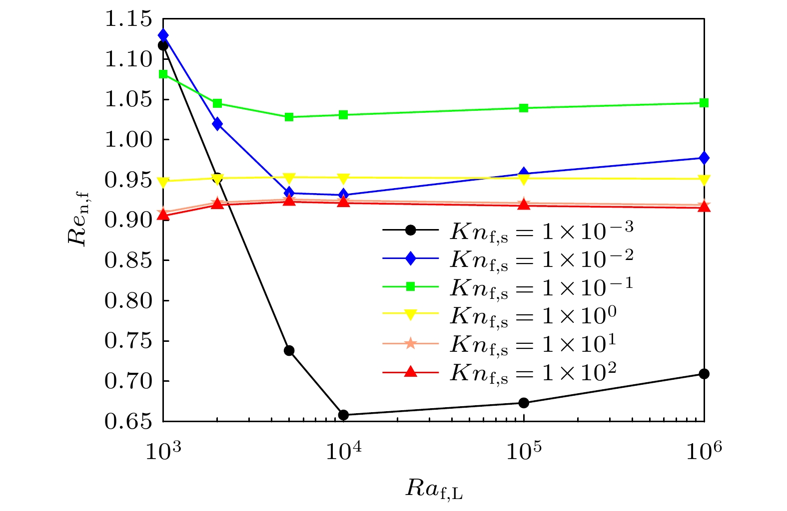
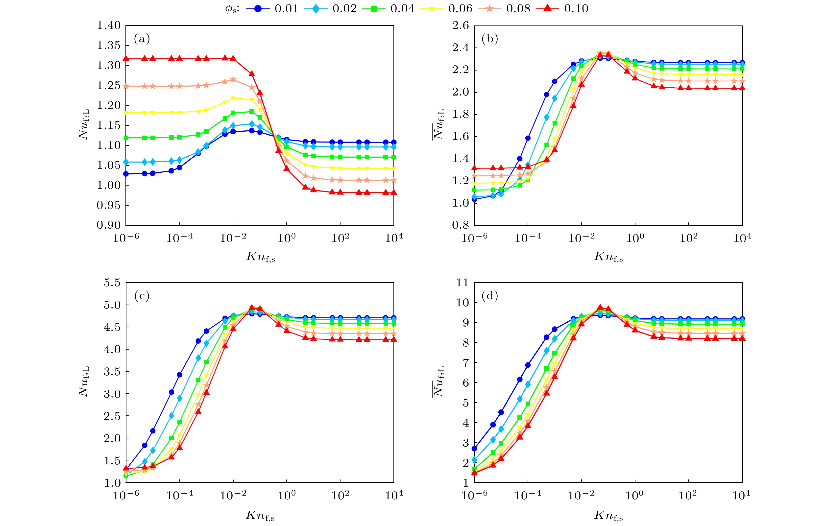
  • In this work, numerical simulation of natural convection of nanofluids within a square enclosure are conducted by using the non-dimensional lattice Boltzmann method (NDLBM). The effects of key governing parameters Knudsen number ($10^{-6} \leqslant Kn_{{\rm{f}},{\rm{s}}} \leqslant 10^4$), Rayleigh number ($10^3 \leqslant Ra_{{\rm{f}},{\rm{L}}} \leqslant 10^6$), and nanoparticle volume fraction ($10^{-2} \leqslant \phi_{\rm{s}} \leqslant 10^{-1}$) on the heat and mass transfer of nanofluids are discussed. The results show that in the low $Ra_{{\rm{f}},{\rm{L}}}$ conduction dominated regime, the nanoparticle size has little effect on heat transfer, whereas in the high $Ra_{{\rm{f}},{\rm{L}}}$ convection dominated regime, larger nanoparticle size significantly enhances flow intensity and heat transfer efficiency. For fixed $Ra_{{\rm{f}},{\rm{L}}}$ and $\phi_{\rm{s}}$, the heat transfer patterns change from conduction to convection dominated regime with $Kn_{{\rm{f}},{\rm{s}}}$ increasing. The influence of nanoparticle volume fraction is also investigated, and in the convection-dominated regime, the maximum heat transfer efficiency is achieved when $\phi_{\rm{s}} = 8 {\text{%}}$, balancing thermal conduction and drag fore of nanofluid. Additionally, by analyzing the full maps of mean Nusselt number ($\overline {Nu}_{{\rm{f}},{\rm{L}}}$) and the enhancement ratio related to the base fluid ($Re_{{\rm{n}},{\rm{f}}}$), the maximum value of $\overline {Nu}_{{\rm{f}},{\rm{L}}}$ and $Re_{{\rm{n}},{\rm{f}}}$ occur when the nanoparticle size is $Kn_{{\rm{f}},{\rm{s}}} = 10^{-1}$ for both conductive and convection dominated regime. To ascertain the effects of all key governing parameters on $\overline {Nu}_{{\rm{f}},{\rm{L}}}$, a new empirical correlation is derived from the numerical results, providing a more in-depth insight into how these parameters influence on heat transfer performance.
      Corresponding author: Sui Peng-Xiang, pxsui@cnu.edu.cn
    • Funds: Project supported by the Scientific Research Project of Beijing Education Committee, China (Grant No. KM202410028009).
    [1]

    [2]

    [3]

    [4]

    [5]

    [6]

    [7]

    [8]

    [9]

    [10]

    [11]

    [12]

    [13]

    [14]

    [15]

    [16]

    [17]

    [18]

    [19]

    [20]

    [21]

    [22]

    [23]

    [24]

    [25]

    [26]

    [27]

    [28]

    [29]

    [30]

    [31]

    [32]

    [33]

    [34]

    [35]

    [36]

    [37]

    [38]

    [39]

    [40]

    [41]

    [42]

    [43]

  • ρ/$(\mathrm{kg {\cdot} m^{-3}})$ $c_{p}/ $$ \rm {(J {\cdot} kg^{-1}{\cdot} K^{-1}})$ $k/ $$ \rm{(W {\cdot} m^{-1} {\cdot} K^{-1})}$ λ/ nm
    997.1 4179 0.613 0.3
    Al2O3
    纳米颗粒
    3970 765 40 35
    DownLoad: CSV
  • [1]

    [2]

    [3]

    [4]

    [5]

    [6]

    [7]

    [8]

    [9]

    [10]

    [11]

    [12]

    [13]

    [14]

    [15]

    [16]

    [17]

    [18]

    [19]

    [20]

    [21]

    [22]

    [23]

    [24]

    [25]

    [26]

    [27]

    [28]

    [29]

    [30]

    [31]

    [32]

    [33]

    [34]

    [35]

    [36]

    [37]

    [38]

    [39]

    [40]

    [41]

    [42]

    [43]

Metrics
  • Abstract views:  1706
  • PDF Downloads:  95
  • Cited By: 0
Publishing process
  • Received Date:  22 September 2024
  • Accepted Date:  18 October 2024
  • Available Online:  28 October 2024
  • Published Online:  05 December 2024

返回文章
返回