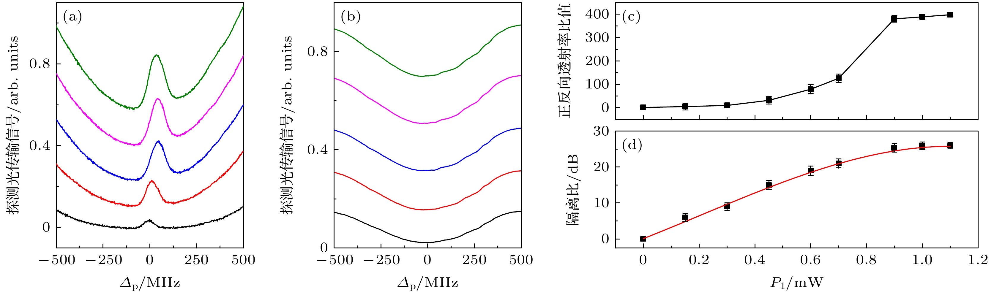
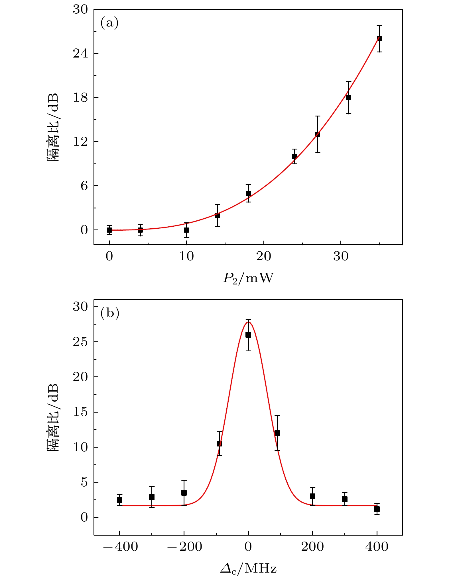
Non-magnetic optical non-reciprocal devices are conducive to constructing optical information processing networks for weak signals without using any external magnetic field. In this work, the non-reciprocal transmission of electromagnetically induced transparency (EIT) in a cesium atomic gas through laser exciting a Λ-type three-level atomic system is observed experimentally.With the help of cesium atoms, which have several advantages over other alkali atoms, such as a rich and readily adjustable energy level structure, bigger ground state hyperfine energy levels, and lower saturation light intensity. An 894.596 nm laser, as probe light, excites energy level from 6S1/2 (F = 4) to 6P3/2 (F = 5), and an 894.594 nm laser, as coupling light, is divided into two beams to excite energy level from 6S1/2 (F = 3) to 6P3/2 (F = 5). The coupling light enters the cesium atomic gas cell in two directions: either collinearly incident in the same direction as the probe light, or in the opposite direction. The probing light that interacts with the coupling light inside the cesium atomic gas and then is detected by the detector avalanche photodiode, and the outcomes are shown and measured on an oscilloscope.The experimentally observed non-reciprocal transmission of EIT proves optical signal isolation in a cesium atomic system. Under the experimental conditions, a series of experiments is conducted on the regulation of the optical non-reciprocal isolation ratio at room temperature by adjusting the power of the probe light and coupling light as well as the detuning. The influence of adjustable parameters on the non-reciprocal isolation ratio is analyzed. The results show that moderate probe light power helps maintain the intensity of EIT in the absorption intensity curve, ensuring a high isolation ratio, which provides a reference for implementing the performance metrics of optical isolators. The observed isolation ratio increases with the increase of coupling power, which is consistent with the theoretical calculation. Within a certain range of coupling light power, a high-performance optical non-reciprocal system is achieved. This trend is exactly in line with that of EIT signal strength variation during co-directional coupling light excitation. A maximum isolation ratio 26 dB is obtained when many parameters are appropriate. The results indicate that in the coherently prepared cesium atom systems, optically tunable parameters can provide an effective means for achieving ideal optical isolation with a high isolation ratio. Compared with existing research on high isolation ratio cavity-free non-reciprocity based on atomic coherence, our proposed experimental scheme can be conducted by using a three-level system at room temperature. With the development of chip-level integrated gas cells, the achieving miniaturization and system integration become easier, which provides experimental support for achieving the miniaturization and integration. This work provides a certain basis for exploring high-performance non-reciprocal devices with high isolation ratios and new perspective for designing the next generation of optical equipment.