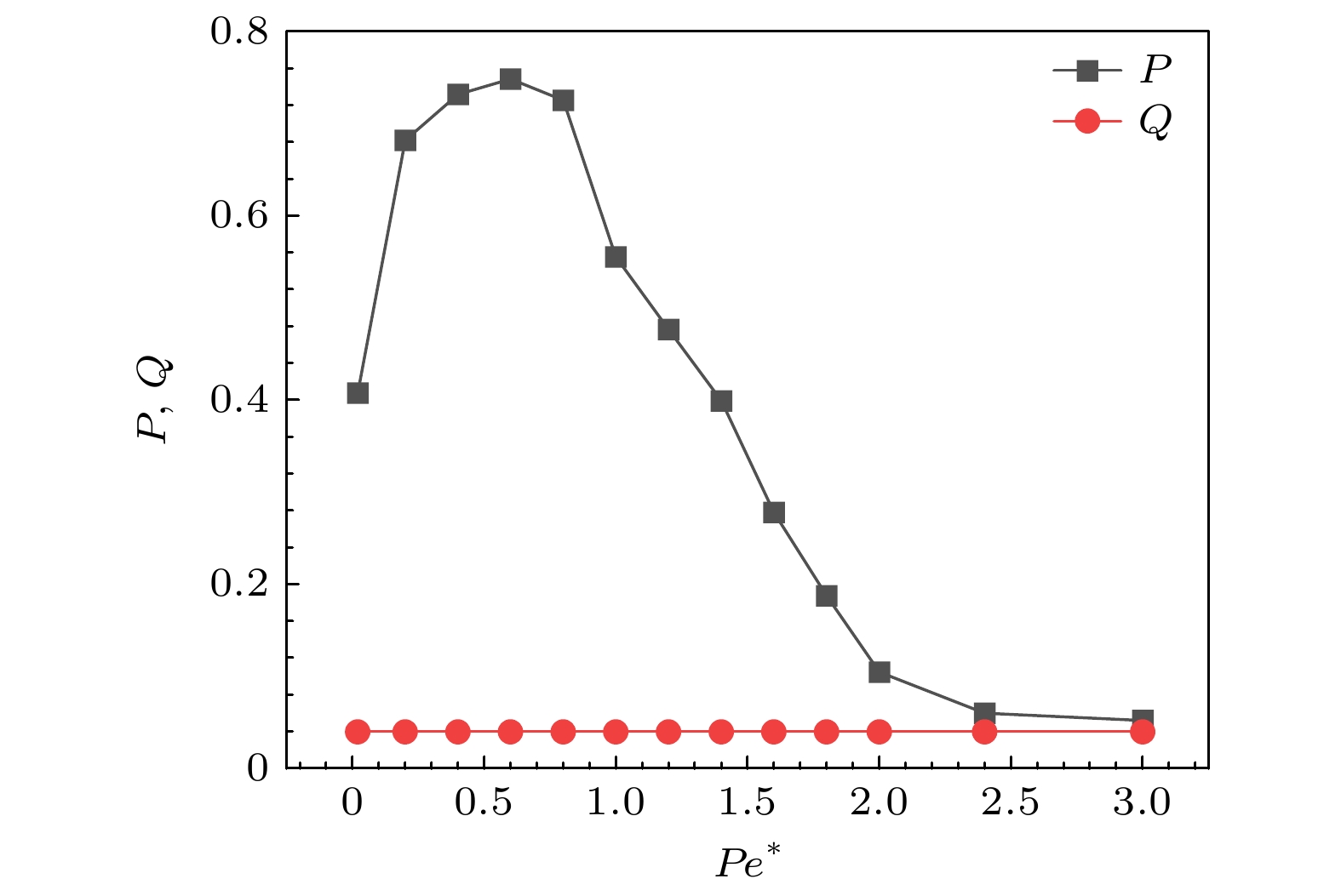
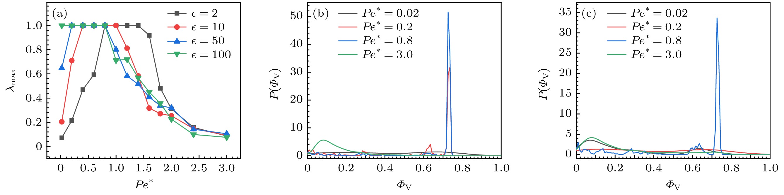
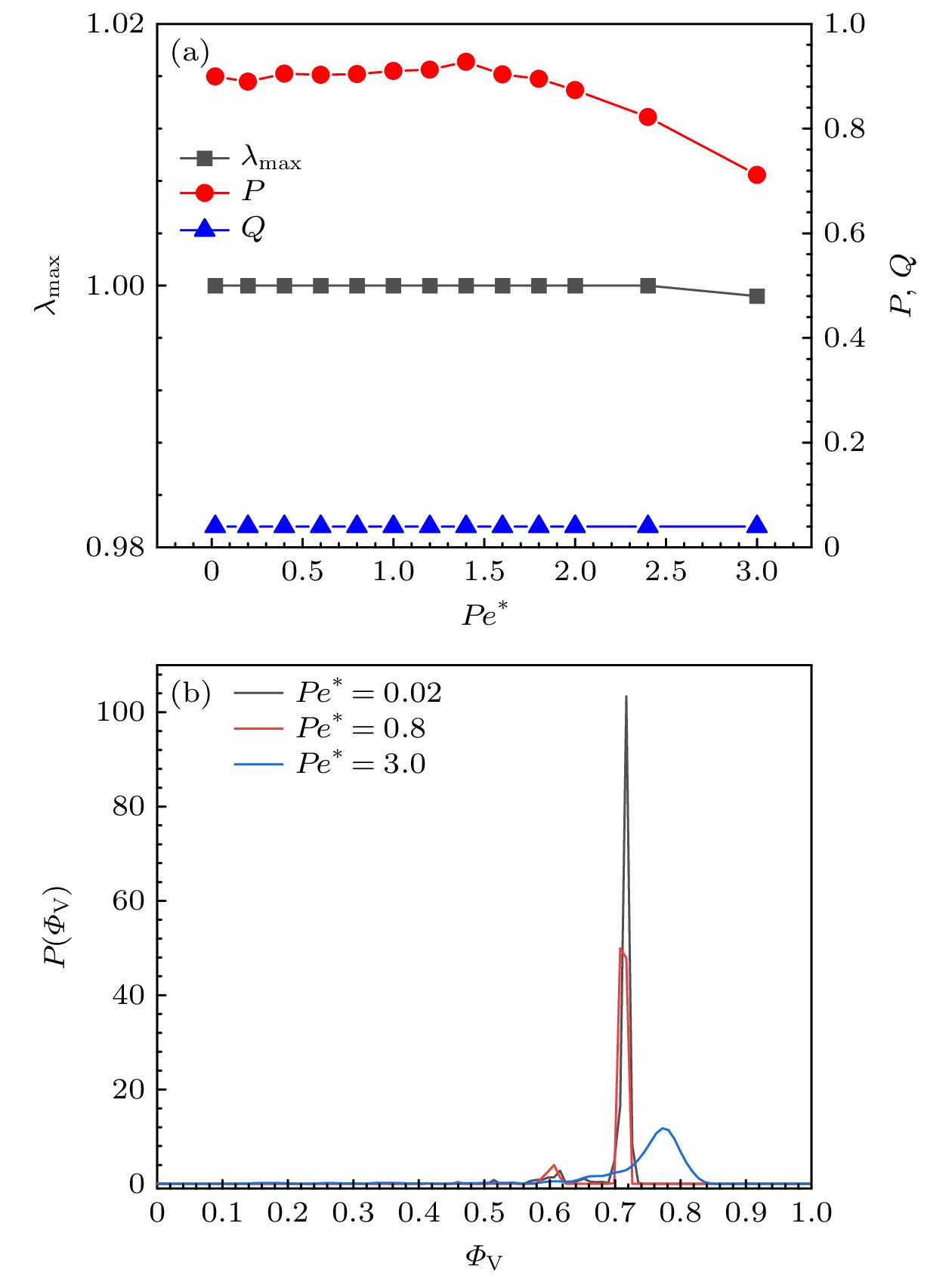
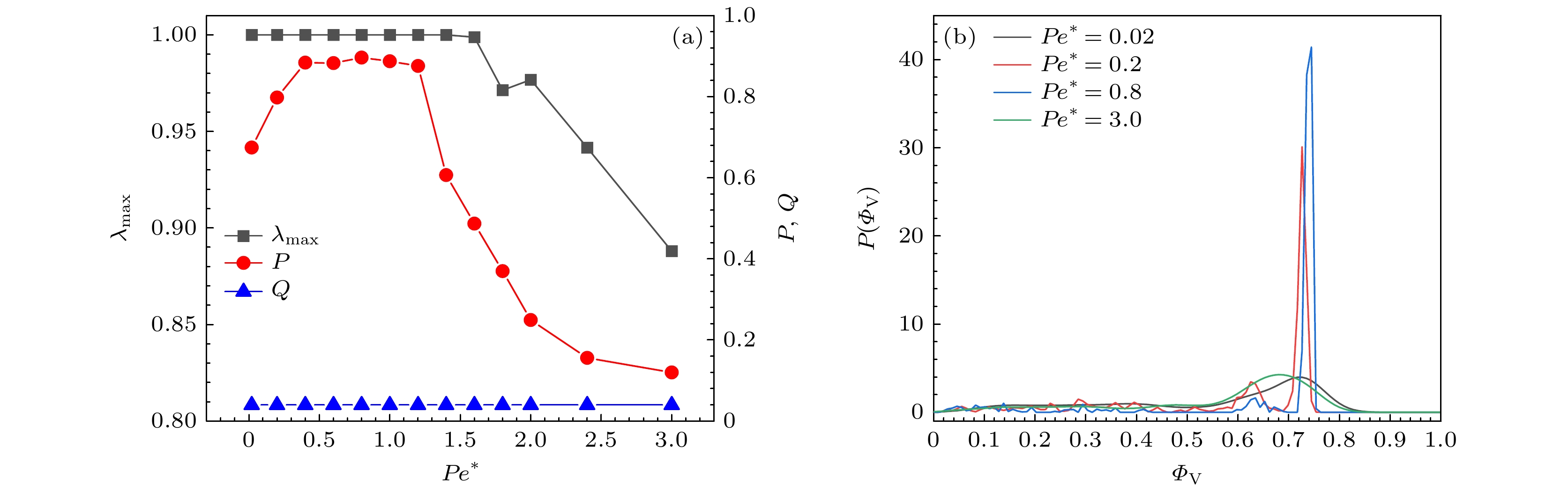
Spontaneous velocity alignment can occur in active particle systems. As a fundamental inter-particle interaction, the attractive interaction is shown to significantly affect the collective behavior of active particles. However, the mechanisms by which attractive interactions induce and affect velocity alignment are still unclear. To solve this problem, we conduct numerical simulations by using the stochastic Euler method to investigate cluster behavior and spontaneous global velocity alignment in active particle systems with attractive interactions. The local area fraction of particles and its corresponding probability distribution function are computed to capture the system’s cluster behavior. The global velocity alignment order parameter and the polar average parameter are also calculated to characterize the particle velocity directions. Based on whether motion-induced phase separation and crystallization can be achieved, the system is categorized into low, medium, and high packing fraction regimes, and the cluster behavior and velocity alignment within each regime are systematically investigated.Spontaneous velocity alignment results from the coupling of self-propulsion and attractive interactions. During the persistent time, feedback regulation involving particle velocities, relative positions, and interaction forces operates simultaneously among neighboring particles. This process leads to the alignment of particle velocities with those of their neighbors, ultimately achieving large-scale alignment. The closer the particles’ arrangement, the more conducive it is to the coupling of self-propulsion and spatial interactions, thus promoting large-scale spontaneous velocity alignment. The competition between these two effects governs the formation and structure of clusters, ultimately affecting global velocity alignment.At low and medium packing fractions, when the attractive interaction dominates and self-propulsion is negligible, particles attract each other to form discrete banded clusters due to the strong attraction and limited range of interaction. Over time, these clusters connect to form a network-like cluster. Small differences in particle velocity are amplified by the banded structure, hindering velocity alignment. In the systems with low packing fractions, a thin network-like cluster forms, whereas in systems with medium packing fractions, a thicker network-like cluster forms, leading to lower velocity alignment in the former. As self-propulsion becomes more dominant, the network structure loosens, causing the particle bands to break and reconnect until a more stable block-like cluster structure is formed. The system transitions from a network-like cluster to a block-like cluster, with particles becoming closely packed, resulting in global velocity alignment. When self-propulsion dominates and attraction is negligible, particle motion is mainly driven by self-propulsion, resulting in sparse particle distribution or unstable clusters, leading to disordered velocity. Thus, as self-propulsion competes with attractive interactions and becomes dominant, the global velocity alignment increases from low values to a higher plateau and then decreases, approaching zero.At high packing fractions, the initial distribution of particles is dense. Even when the attractive interaction dominates and self-propulsion is negligible, the system forms a block-like cluster, leading to global velocity alignment. As self-propulsion becomes dominant, the instability of the clusters partially hinders spontaneous velocity alignment. Nevertheless, the particles remain densely packed, resulting in local velocity alignment. Thus, as self-propulsion transitions from weak to dominant in competition with attractive interactions, global velocity alignment first plateaus at a higher value, then decreases, but remains above 0.5.It is important to note that the spontaneous velocity alignment discussed here exhibits a finite size effect. In experimental setups and applications involving active particles, smaller systems are usually studied. By modulating the balance between self-propulsion and attractive interactions in these systems, a broader range of spontaneous velocity alignment can be achieved, which may even lead to global velocity alignment.