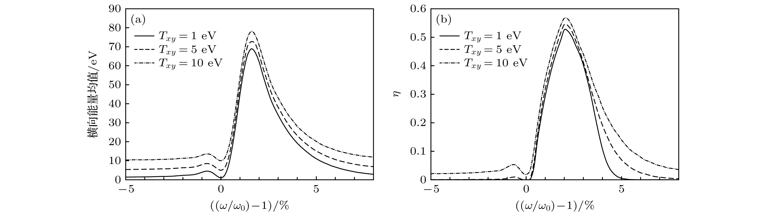
The ion cyclotron resonance (ICR) isotope separation method is an advanced electromagnetic separation method. The key process of this method is the transport of ions in an axial magnetic field. By injecting microwaves at the target ion cyclotron frequency, only the target ions can be heated so that the energy values of target ions can be distinguished. Due to its high separation coefficient, multiple types of isotopes that can be separated, and high flux, some countries have already built ICR isotope separation devices and conducted various isotope separation experiments since 1980. The main elements of an ICR separation device include three parts: a plasma source, a selective ion heating system, and an ion collector. The electron cyclotron resonance (ECR) ion source is the most popular plasma source, which generates the ions to be separated. The selective ion heating system is the key part of the separation device, mainly composed of a superconducting magnetic coil and a radio frequency (RF) antenna, which are used to provide a stable magnetic field and microwaves at a specific frequency to heat the target isotope ions, respectively. The ion collector is used to collect the separated ions. To clarify the key process of the ICR separation method, the transport process of ions in the electromagnetic field inside the selective ion heating system is simulated, and the influences on the selective heating effects of core parameters, such as parameters of initial plasma beam and electromagnetic field inside the selective ion heating system, are discussed in detail. The numerical simulation model used in this study is the single particle model, in which the interaction between ions and the induced electromagnetic field of the plasma beam is ignored. The simulation results show that the intensity of the alternating electric field in the selective ion heating system, the wavelength of the RF antenna, the size of the ion selective heating system, the initial axial energy of the plasma and its distribution all have a significant influence on the overall heating effect of the plasma beam. The magnetic induction intensity in the ion selective heating system, the wavelength of the RF antenna, and the initial axial energy distribution of the plasma have a direct influence on the selectivity of the heating process. Considering the limitations of the single particle model, a more accurate model will be used for further simulation. The design of the RF antenna and ECR ion source will also be considered in the further research.