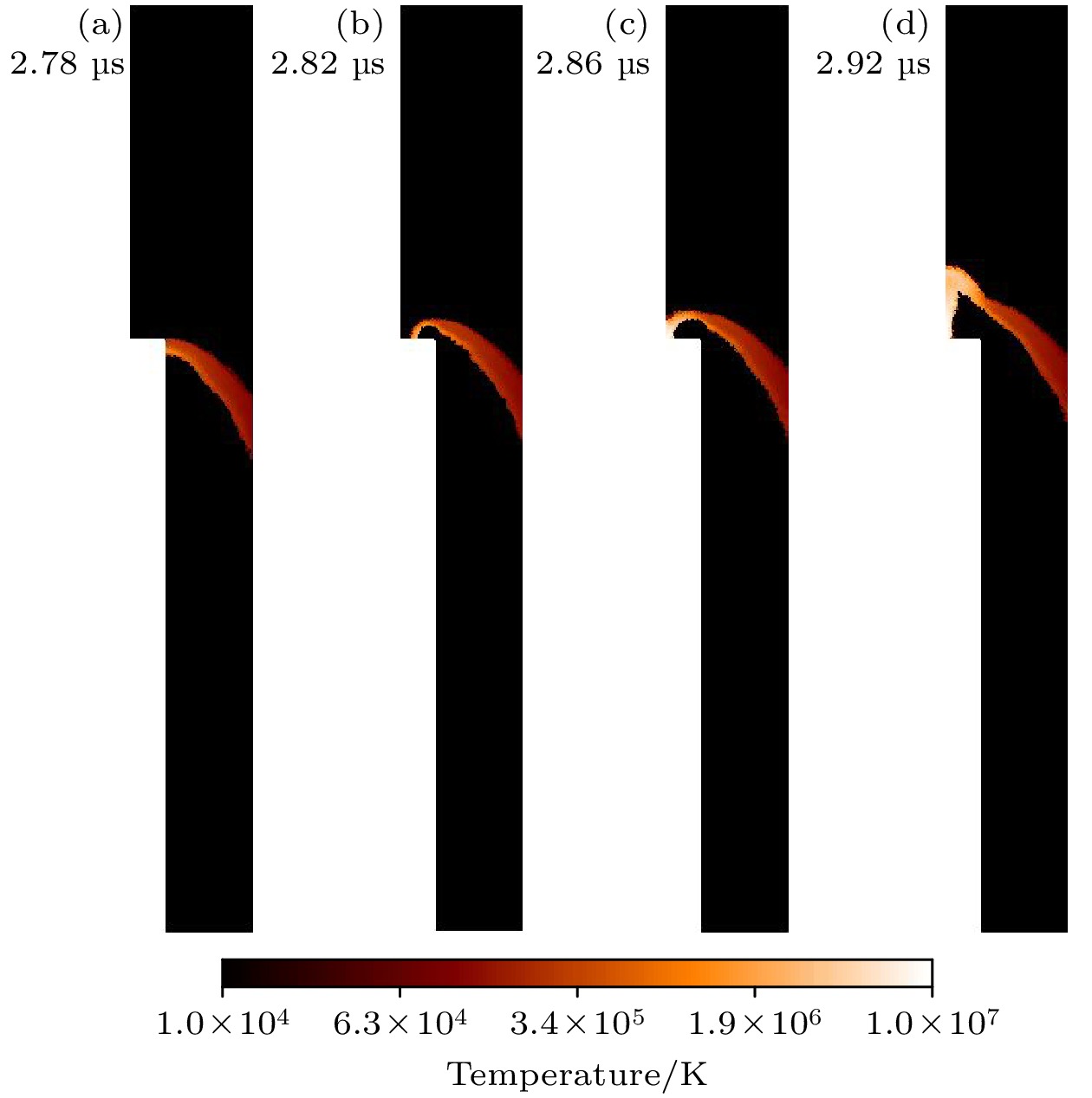
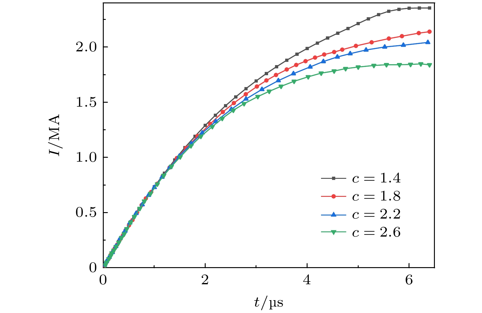
Dense plasma focus (DPF) device is a pulsed high current discharge device, which is widely used in particle accelerator, controlled nuclear fusion, space propulsion, and pulsed neutron source. However, existing models for DPF dynamics, including semi-empirical snowplow approximations and particle-in-cell (PIC) methods, face limitations in balancing computational efficiency and comprehensive physical descriptions. In contrast, magnetohydrodynamic (MHD) models can comprehensively analyze the macroscopic phenomena (e.g. sheath motion, current distribution, fluid instabilities) and the influence of parameters (e.g. electrode geometry, gas pressure, and driving current waveforms) on DPF performance. Although MHD cannot self-consistently resolve kinetic behaviors like high-energy particle beams or neutron production during pinch phases, it remains highly valuable for investigating macroscopic DPF physics when quantitative neutron yield analysis is unnecessary. Therefore, a two-temperature MHD model coupled with an external RLC circuit is developed in this paper, which combines electron-ion thermal nonequilibrium, resistive effects, and plasma transport coefficients derived from Braginskii formulations. The model is rigorously validated based on experimental data from two benchmark DPF devices (UNU and UDMPF1), demonstrating high consistency in current waveform, voltage profile, and radial implosion trajectory. The research shows that the DPF plasma sheath is continuously accelerated along the axial direction under the action of the Lorentz force. When it moves to the end of the inner electrode, due to Z-pinch effect, the plasma sheath bends radially inward and is further compressed onto the axis of symmetry, finally forming a high-temperature and high-density plasma region in front of the inner electrode end, the so-called plasma focus. For the UNU device, simulations reveal distinct plasma evolution phases. One is the axial acceleration (0–2.5 μs), where the current sheath reaches a speed of up to 90 km/s under the dominance of Lorentz force, with ion temperatures rising from 1 eV to 100 eV, and the other is the radial implosion (2.78–2.90 μs), during which plasma density increases by an order of magnitude (reaching to ~1024 m–3) and ion temperature surges to ~1 keV through magnetically driven compression. Further studies also find that for large DPF devices, with the inductance reduced and the capacitance increased, the circuit current is easily saturated. However, increasing the circuit voltage has a more significant effect on the increase of current. This paper shows that for large DPF devices, the ratio of anode radius to cathode radius needs to be as small as possible, which can increase the peak current and pinch current of DPF while keeping other parameters unchanged.