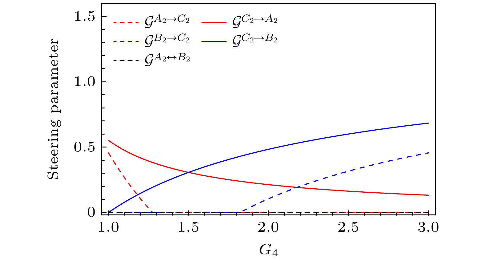
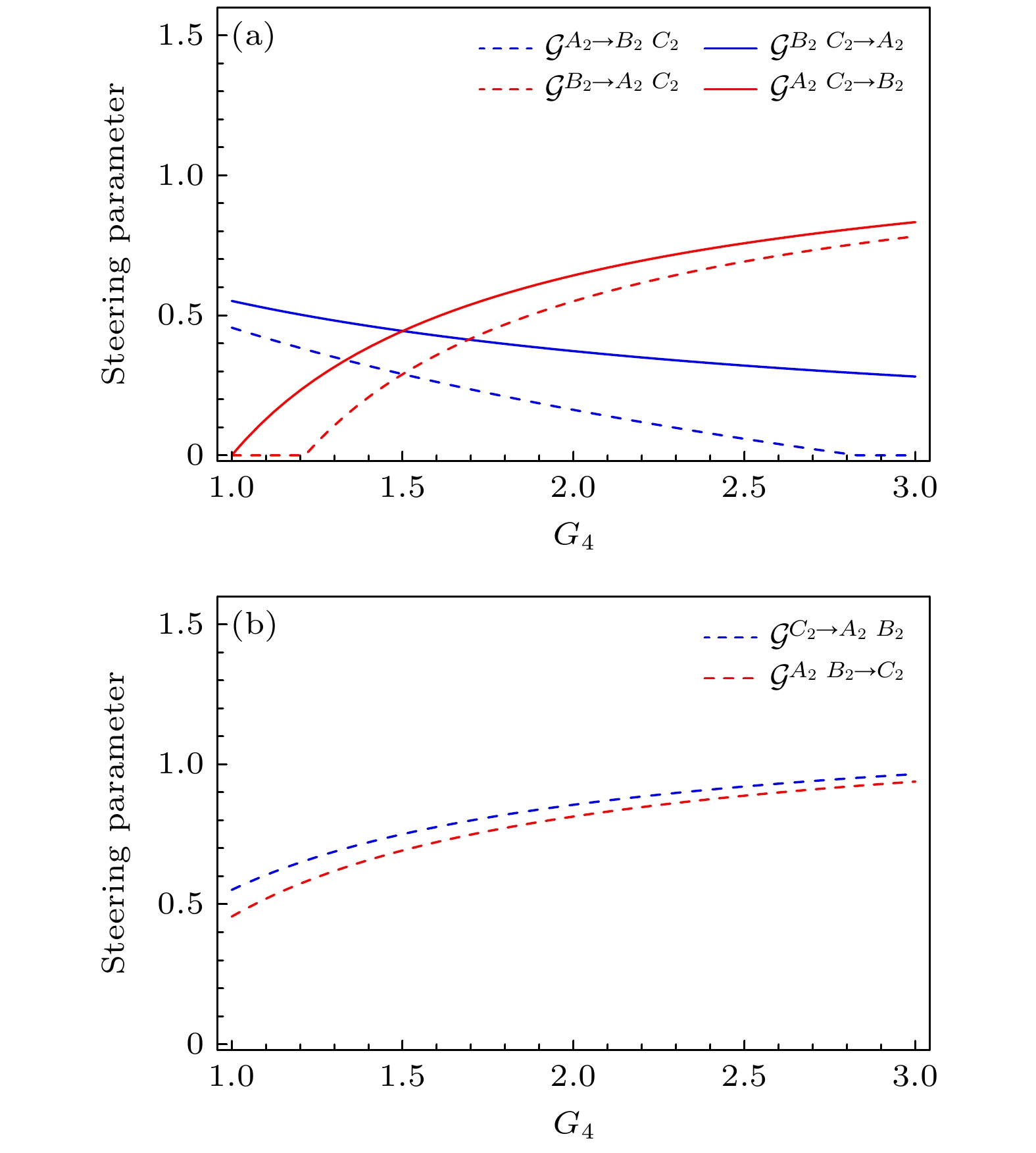
Quantum resource swapping is crucial for establishing quantum networks and achieving efficient quantum communication and it allows quantum resources to be shared and allocated between nodes in a quantum network, thereby enhancing network flexibility and quantum information processing capabilities. Quantum steering is a special type of quantum correlation that exhibits unique asymmetry compared with quantum entanglement and Bell nonlocality. This asymmetry enables quantum steering swapping to establish one-way or two-way asymmetry quantum steering between two independent optical modes, which is crucial for constructing asymmetric quantum networks. In this work, an all-optical quantum steering swapping scheme is proposed based on tripartite entangled state and bipartite entangled state. The all-optical scheme does not involve optic-electro conversion nor electro-optic conversion, but utilizes a low-noise, high-bandwidth four-wave mixing process to achieve the function of Bell state measurement in traditional schemes without measurement. After the steering swapping operation, the two originally independent entangled states without direct interaction generate quantum steering. In this work, two swapping schemes in the four-wave mixing processes, combined with linear beam splitter and nonlinear beam splitter, are investigated. By analyzing the steering characteristics of the output modes, both schemes exhibit varieties of multipartite steering types. By adjusting the transmissivity of the linear beam splitter and the gain of the four-wave mixing process, the steering relationship can be flexibly manipulated to achieve one-way and two-way asymmetry steering. This provides new possibilities for one-way quantum communication and quantum information processing, making the utilization of quantum resources more efficient and controllable. Through in-depth analysis of the steering characteristics after swapping, it is found that compared with the linear beam splitter scheme, the nonlinear beam splitter scheme not only significantly improves the capability of quantum steering, but also allows for more flexible manipulation of monogamy relations of quantum steering. By optimizing the gain parameters of the nonlinear beam splitter, the precise manipulation of the monogamy relations can be achieved over a wider range. This not only expands broader application prospects for information processing and quantum communication in quantum networks, but also lays an important foundation for building efficient and secure quantum information processing systems.