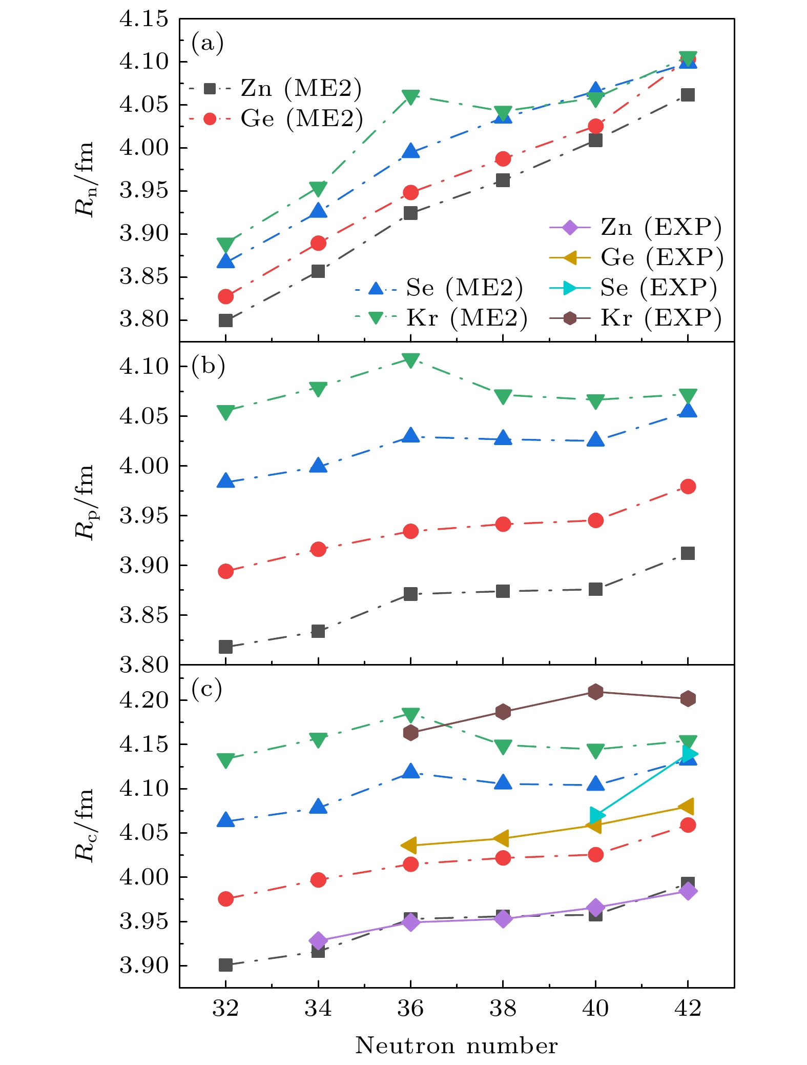
The atomic nucleus is an extremely complex quantum many- body system composed of nucleons, and its shape is determined by the number of nucleons and their interactions. The study of atomic nuclear shapes is one of the most fascinating topics in nuclear physics, providing rich insights into the microscopic details of nuclear structure. Physicists have observed significant shape coexistence phenomena and stable triaxial deformation in isotopes of Zn, Ge, Se, and Kr. This paper aims to delve deeper into the influences of shape coexistence and triaxiality on the ground-state properties of atomic nuclei, as well as to verify new magic numbers. We employ the density-dependent meson-exchange model within the framework of the relativistic Hartree-Bogoliubov (RHB) theory to systematically study the ground-state properties of even-even Zn, Ge, Se, and Kr isotopes with neutron numbers N = 32–42. The calculated potential energy surfaces clearly demonstrate the presence of shape coexistence and triaxial characteristics in theseisotopes. By analyzing the ground-state energy, deformation parameters, two-neutron separation energy, neutron radius, proton radius, and charge radius of the atomic nucleus, we discuss the closure of nuclear shells. Our results reveal that at N = 32, there is anotable abrupt change in the two-neutron separation energy values of 62Zn and 64Ge. At N = 34, a significant decrease in the two-neutron separation energy values of 68Se and 70Kr is observed, accompanied by an abrupt change in their charge radii. Meanwhile, at N = 40, clear signs of shell closure are observed. The maximum specific binding energy may be correlated with the emergence of spherical nuclear structures. The shell closure not only enhances nucleon binding energy but also suppresses nuclear deformation through symmetry constraints. Our findings support N = 40 as a new magic number, and some results also suggest that N = 32 and N = 34 can be new magic numbers. Notably, triaxial deformation plays a crucial role here. Furthermore, we explore the potential correlation between triaxiality and shape coexistence in the ground-state properties of atomic nuclei and analyze the physical mechanisms behind these changes.The discrepancies between current theoretical predictions and experimental data reflect the limitations of modeling higher-order many-body correlations (e.g. three-nucleon forces) and highlight challenges in experimental measurements for extreme nuclear regions(including neutron-rich and near-proton-drip-line regions). Future studies will combine tensor force corrections, large-scale shell model calculations, and high-precision data from next-generation radioactive beam facilities (e.g. FRIB and HIAF) to clarify the interplay among nuclear force parameterization, proton-neutron balance, and emergent symmetry, thereby providing a more comprehensive theoretical framework for studying the nuclear structures under extreme conditions.