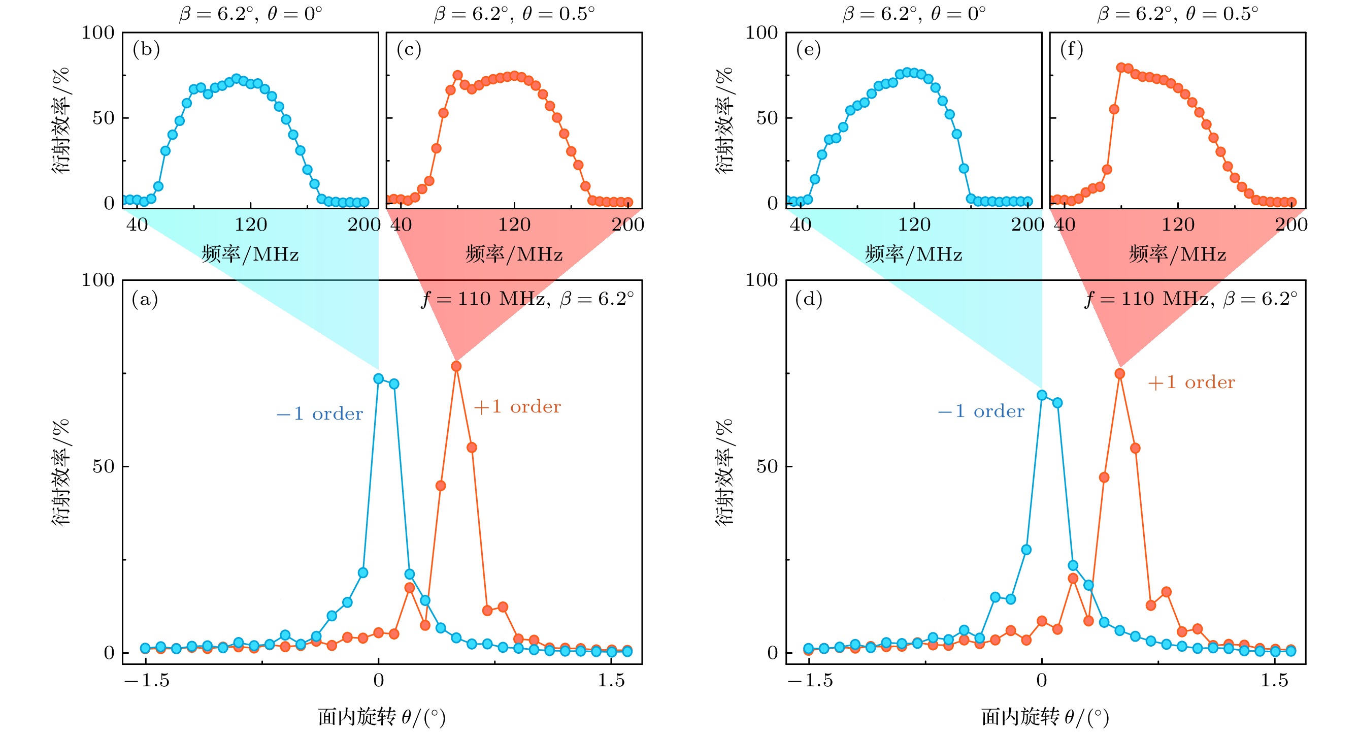
Neutral atom arrays have emerged as one of the most promising physical platforms for quantum computing and quantum information processing due to their precise single-atom control and tunable strong interactions. The acousto-optic deflector (AOD) is a key device for constructing and manipulating neutral atom arrays, enabling rapid and high-precision atom trapping and arrangement. However, TeO2-based anomalous Bragg AODs still face challenges in practical applications, such as unclear broadband diffraction conditions, polarization sensitivity, and low efficiency, which limit their performance in multi-degree-of-freedom control.This study investigates the acousto-optic effects in AOD and acousto-optic modulator (AOM), and reveals their differences in diffraction efficiency, polarization characteristics, and applications. By adjusting the azimuthal angle of the AOD, we measure the efficiency and RF bandwidth of the ±1st-order diffracted beams under horizontal and vertical polarization incident light, and propose an experimental method to determine the broadband diffraction center frequency and diffraction order. Additionally, we systematically characterize the operational parameters of AOM, clarifying their performance mechanisms and application-specific differences compared with those of AOD. The main conclusions are as follows:1) The beam deflection performance of an AOD is closely related to the ultrasonic mode or acoustic velocity: a lower sound velocity results in a larger deflection angles. For TeO2 crystals, when a shear wave propagates along the [110] axis (sound velocity: 0.617 km/s), the diffraction angle reaches 0.842 mrad/MHz (laser wavelength: 532 nm). In contrast, when TeO2 is used in AOM with a longitudinal wave along the [001] axis (sound velocity: 4.26 km/s), the diffraction angle decreases to 0.133 mrad/MHz under the same wavelength.2) To achieve high diffraction efficiency and a broad operational frequency range, the AOD must satisfy the phase-matching condition for anomalous Bragg diffraction. Taking the AOD (model: AA DTSX-250) for example, it operates in a unidirectional incident mode: when horizontally polarized light (extro-ordinary light) is incident, only the –1st-order diffracted beam satisfies the anomalous Bragg condition. The beam undergoes polarization conversion to vertically polarized light (ordinary light), enabling high-efficiency broadband deflection (center frequency: 82 MHz, bandwidth: 45 MHz). To support future two-dimensional deflection implementations, the input and output surfaces of the TeO2 crystal are fabricated with slight bevel angles, ensuring collinearity between the –1st-order diffracted beam and the incident beam at the center frequency. In other cases—(i) +1st-order diffraction of horizontally polarized light and (ii) ±1st-order diffraction of vertically polarized light—the anomalous Bragg condition is not met. These beams retain their original polarization and allow only narrowband deflection.These results demonstrate that AODs, leveraging anomalous acousto-optic effects, can achieve high diffraction efficiency, wide frequency tuning ranges, and large deflection angles, making them suitable for high-speed, high-precision beam steering applications. In contrast, AOMs utilize normal acousto-optic effects to perform rapid modulation of beam intensity, frequency, and phase, and are widely used in laser communication and optical fiber transmission. This study provides a detailed technical reference for understanding the operational principles of AODs and their applications in programmable neutral atom arrays.