Vol. 74, No. 16 (2025)
2025-08-20
SPECIAL TOPIC—Order tuning in disordered alloys·COVER ARTICLE
COVER ARTICLE
SPECIAL TOPIC—Order tuning in disordered alloys
EDITOR'S SUGGESTION
2025, 74 (16): 166102.
doi: 10.7498/aps.74.20250584
Abstract +
The atomic arrangement of metallic glasses lacks long-range periodicity, and exhibits structural characteristics of an amorphous state. Their unique structural features lead to research methods that differ from traditional metallic crystalline materials, focusing mainly on two scales: one is a macroscopic scale, on which glass-forming ability and mechanical behavior are investigated through alloy design, thermodynamic parameters, and other means; the other is an atomic scale, on which short- to medium-range orders of metallic glass are studied through computational simulations and diffraction techniques. There is a difference of over seven-orders of magnitude between the two scales, which makes it difficult to establish a direct quantitative relationship between them. Therefore, a structural feature is needed that can connect atomic configurations with macroscopic properties on a mesoscopic scale. With the development of amorphous structure characterization technique, it has been found that metallic glasses exhibit spatial heterogeneity at the nanometer and micrometer levels above a short-to-medium range, with their scales ranging between macroscopic and atomic scales. This article introduces experimental characterization methods for spatial heterogeneity, focuses on the electron microscopic characterization methods of spatial heterogeneity and local atomic orders, and discusses their intrinsic correlations with macroscopic properties such as β-relaxation behavior, mechanical behavior, thermodynamic stability, and glass-forming capability. Spatial heterogeneity, as a structural characteristic of metallic glasses on a mesoscopic scale, can serve as a link between short/medium-range orders and macroscopic properties of atoms.
EDITOR'S SUGGESTION
2025, 74 (16): 166104.
doi: 10.7498/aps.74.20250862
Abstract +
Amorphous materials avoid the inherent sensitivity to defects in traditional crystalline materials due to their cross-scale structural uniformity. Therefore, they have irreplaceable and important applications in many advanced technical fields. However, due to their thermodynamically non-equilibrium nature, amorphous materials experience structural relaxation towards equilibrium, leading to performance degradation or even failure during use. Additionally, the complex and disordered structure of amorphous materials results in low-energy excitation, such as boson peaks and tunneling two-level systems, which can cause internal friction and thermal noise in the materials. These factors significantly limit their performance in advanced technical applications. Therefore, effectively improving the stability of amorphous materials and suppressing low-energy excitation are key steps towards breaking through their performance limits. Recent studies have shown that atomic-level fabrication based on enhanced surface dynamics can successfully produce ultrastable amorphous materials, achieving unprecedented control over their microstructure, stability, and low-energy excitation, far exceeding the level achievable by traditional methods. The exceptional advantages of ultrastable amorphous materials endow them with significant application potential in advanced domains such as gravitational wave detection. This article delves into the underlying mechanisms of atomic-level fabrication for amorphous materials, highlighting their structural features and superior performances compared with traditional amorphous materials, and it also outlines future research directions and development trends of atomic-level fabrication in this field.
EDITOR'S SUGGESTION
2025, 74 (16): 166402.
doi: 10.7498/aps.74.20250307
Abstract +
EDITOR'S SUGGESTION
2025, 74 (16): 166403.
doi: 10.7498/aps.74.20250513
Abstract +
Metallic glass-forming systems exhibit complex dynamic behaviors during the glass transition. Understanding the dynamic nature of metallic glasses and supercooled liquids is a crucial issue in the study of glassy physics. Topological order provides a novel perspective for re-examining the dynamics of glassy systems and elucidating the physical essence of the glassy state and glass transition. In this study, the microscopic dynamics of CuZr melts in the glass transition are investigated using molecular dynamics simulations. The single-particle dynamic characteristics in the supercooled CuZr melt are the random jump motions of atoms after a long-term caging period. To capture these dynamics, the displacement vector field is constructed based on the spatiotemporal distribution of these jump events. The simulation results reveal that there exist the numerous vortex structures in the displacement vector field. Notably, the vortex formation rate, which is defined as the number of vortices generated per unit time, exhibits a sharp drop near the glass transition temperature. The probability distribution of vortex formation rate displays a bimodal pattern on the drops, indicating the coexistence of two different dynamical states related to vortex formation. Multiple high-strain events are observed surrounding these vortices. It is found that the two vortex states during the transition exhibit markedly different characteristic ratios of vortices to high-strain events (1∶4 vs 1∶8), indicating a change in the coupling strength between vortex formation and high-strain activity. The high-strain events predominantly form in the regions between positive and negative vortices, and the specific quantitative relationship between vortices and high-strain events indirectly reflects the presence of strongly interacting vortex-antivortex pairs in the melt. During the vortex state transition, the vortex-to-high-strain-event ratio suddenly doubles, which means that this transition is not only a sudden change in the rate of vortex formation, but also an enhancement of the interactions between vortex-antivortex pairs, representing a change in global topological properties. These findings demonstrate that the vortex transition exhibits the characteristics of a topological phase transition, thereby predicting the existence of a topological phase transition in the displacement vector field of metallic glass-forming systems. Further speculation suggests that vortices and high-strain events are related to multiple secondary relaxation processes. This study provides a new perspective for understanding the dynamics of glass-forming systems and the glass transition.
SPECIAL TOPIC—Order tuning in disordered alloys·COVER ARTICLE
COVER ARTICLE
2025, 74 (16): 166101.
doi: 10.7498/aps.74.20250563
Abstract +
The engineering applications of amorphous alloys are largely restricted by structural relaxation. Notably, the dissipative component of cyclic loading dominates the thermodynamic energy in practical applications of amorphous alloys. Mechanical rejuvenation, achieved through cyclic loading, offers an effective solution to this problem. In this study, we systematically investigate the deformation characteristics and rejuvenation mechanism of Pd20Pt20Cu20Ni20P20 amorphous alloy under mechanical cycling using dynamic mechanical analysis (DMA). By employing a two-phase Kelvin model and continuous relaxation time spectrum, we elucidate the interplay between mechanical deformation and energy dissipation during cyclic loading. The experimental results demonstrate that the strain rate increases significantly with the intensity of mechanical cycling, indicating enhanced dynamic activity in the glassy matrix. At higher cycling intensities, anelastic deformation is promoted, activating a broader spectrum of defects and amplifying dynamic heterogeneity. Through differential scanning calorimetry (DSC), we establish a quantitative correlation between deformation and energetic state, revealing that rejuvenation originates from internal heating induced by anelastic strain. A comparative analysis with creep deformation reveals that mechanical cycling exhibits a superior rejuvenation potential, attributed to its ability to periodically excite multi-scale defect clusters and sustain non-equilibrium states. The key findings of this work include: 1) Deformation mechanism: Cyclic loading enhances atomic mobility and facilitates deformation unit activation; 2) Energy landscape: The enthalpy change (ΔH) measured by DSC provides a direct metric for rejuvenation efficiency; 3) Dynamic heterogeneity: Mechanical cycling broadens the relaxation time spectrum, reflecting increased dynamic heterogeneity.
SPECIAL TOPIC—Quantum information processing
EDITOR'S SUGGESTION
2025, 74 (16): 160301.
doi: 10.7498/aps.74.20250586
Abstract +
Quantum secret sharing (QSS), as a quantum extension of classical secret sharing, uses the basic principles of quantum mechanics to share information safely among multiple parties, providing a new paradigm for information security. As a key foundation for secure multiparty quantum communication and distributed quantum computing, QSS has attracted considerable attention since its emergence. Currently, research in this field includes both classical and quantum scenarios, and continuous progress has been made in both theoretical and experimental aspects. This paper first reviews the current development of QSS for classical information. In this regard, significant and parallel progress has been made in both discrete-variable QSS and continuous-variable QSS. The QSS protocols for sharing classical information, from entangled states to single photons and then to coherent light, have been continuously optimized to better utilize available resources and achieve more efficient implementation under current technological conditions. Meanwhile, round-robin, measurement-device-independent, and other protocols have been steadily improving the security of QSS. Next, one will focus on QSS scheme for quantum secrets, which begins with the symmetry of access structures and introduces basic (k, n) threshold protocols, dynamic schemes that support adaptive agent groups, and symmetric quantum information splitting through entanglement. It further introduces hierarchical quantum secret sharing schemes for asymmetric splitting of quantum information. Considering practical laboratory conditions of quantum states as resources, an overall discussion is conducted on quantum secret sharing with graph states. Afterwards, the design of a continuous-variable scheme for quantum secret sharing is outlined, and entanglement state sharing and quantum teleportation between multiple senders and receivers are introduced. Finally, this review discusses and outlines the future development directions of QSS, thereby inspiring readers to further study and explore the relevant subjects.
EDITOR'S SUGGESTION
2025, 74 (16): 160302.
doi: 10.7498/aps.74.20250589
Abstract +
Nonlocal quantum entanglement is a fundamental resource for future quantum networks. However, the efficiency of generating nonlocal entanglement between distant nodes is severely limited by the exponential loss incurred when locally generated entangled states are distributed through lossy quantum channels. This limitation becomes more pronounced in practical scenarios requiring the simultaneous distribution of multiple entangled pairs. Although classical multiplexing approaches, such as spatial, temporal, and frequency multiplexing, can increase the nonlocal entanglement generation rate, they do not improve the single-shot transmission efficiency. In contrast, quantum multiplexing, which can be generated by high-dimensional encoding of single photons, allows for the parallel generation of multiple nonlocal entangled pairs in a single transmission round, thereby enhancing the overall efficiency of nonlocal entanglement generation. Quantum multiplexing thus presents a promising route toward scalable quantum networks. This review introduces the mechanisms of generating nonlocal entanglement through quantum multiplexing, and focuses on two main methods: using high-dimensional single-photon encoding and high-dimensional biphoton entanglement distribution. Then it examines how quantum multiplexing can accelerate the generation of nonlocal quantum logical entanglement. Finally, it briefly explores the potential of quantum multiplexing for building large-scale quantum networks.
EDITOR'S SUGGESTION
2025, 74 (16): 160304.
doi: 10.7498/aps.74.20250791
Abstract +
DATA PAPER
EDITOR'S SUGGESTION
2025, 74 (16): 160701.
doi: 10.7498/aps.74.20250572
Abstract +
The emergence of large language models has significantly advanced scientific research. Representative models such as ChatGPT and DeepSeek R1 have brought notable changes to the paradigm of scientific research. While these models are general-purpose, they have demonstrated strong generalization capabilities in the field of batteries, especially in solid-state battery research. In this study, we systematically screen 5309268 articles from key journals up to 2024, and accurately extract 124021 papers related to batteries. Additionally, we comprehensively search through 17559750 patent applications and granted patents from the European Patent Office and the United States Patent and Trademark Office up to 2024, identifying 125716 battery-related patents. Utilizing these extensive literature and patents, we conduct numerous experiments to evaluate the structured output capabilities of knowledge base, contextual learning, instruction adherence, and language models. Through multi-dimensional model evaluations and analyses, the following points are found. First, the model exhibits high accuracy in screening literature on inorganic solid-state electrolytes, equivalent to the level of a doctoral student in the relevant field. Based on 10604 data entries, the model demonstrates good recognition capabilities in identifying literature on in-situ polymerization/solidification technology. However, its understanding accuracy for this emerging technology is slightly lower than that for solid-state electrolytes, requiring further fine-tuning to improve accuracy. Second, through testing with 10604 data entries, the model achieves reliable accuracy in extracting inorganic ionic conductivity data. Third, based on solid-state lithium battery patents from four companies in South Korea and Japan over the past 20 years, this model proves effective in analyzing historical patent trends and conducting comparative analyses. Furthermore, the model-generated personalized literature reports based on the latest publications also show high accuracy. Fourth, by utilizing the iterative strategy of the model, we enable DeepSeek to engage in self-reflection thinking, thereby providing more comprehensive responses. The research results indicate that language models possess strong capabilities in content summarization and trend analysis. However, we also observe that the model may occasionally experience issues with numerical hallucinations. Additionally, while processing a large number of battery-related data, there is still room for optimization in engineering applications. According to the characteristics of the model and the above test results, we utilize the DeepSeek V3-0324 model to extract data on inorganic solid electrolyte materials, including 5970 ionic conductivity entries, 387 diffusion coefficient entries, and 3094 migration barrier entries. Additionally, it includes over 1000 data entries related to chemical, electrochemical, and mechanical properties, covering nearly all physical, chemical, and electrochemical properties related to inorganic solid electrolytes. This also means that the application of large language models in scientific research has shifted from auxiliary research to actively promoting its development. The datasets presented in this paper may be available at the website: https://cmpdc.iphy.ac.cn/literature/SSE.html (DOI: https://doi.org/10.57760/sciencedb.j00213.00172 ).
REVIEW
EDITOR'S SUGGESTION
2025, 74 (16): 166801.
doi: 10.7498/aps.74.20250521
Abstract +
Surface nanobubbles, as nanoscale gaseous domains spontaneously formed at solid-liquid interfaces, exhibit significant potential applications in the biomedical field due to their unique nanoscale size effects, rapid dynamic response characteristics, and favorable biocompatibility. In ultrasonic imaging, surface nanobubbles enhance tissue acoustic contrast by generating strong harmonic scattering signals through nonlinear oscillation under stable cavitation. In antibacterial disinfection applications, the rupture of surface nanobubbles generates a transient high pressure, which synergizes with oxidative damage mediated by reactive oxygen species /hydroxyl radicals to achieve efficient bacterial inactivation. However, in physiological environments, blood flow shear stress and pH fluctuations may induce premature rupture of surface nanobubbles, leading to imaging signal attenuation or risks of non-specific tissue damage, rendering their stability a critical factor determining functional efficacy and biosafety. Notably, the experimental observation of surface nanobubble lifetimes (ranging from hours to days) significantly contradicts the dissolution behavior within microseconds predicted by classical thermodynamic theory, which urgently demands the construction of theoretical models of stability. Although existing theoretical modelshave elucidated the stability mechanisms of surface nanobubbles from multiple perspectives, they arelimited by the lack of intrinsic correlation and inherent limitations, thereby restricting targeted optimization of stability: the contamination barrier model emphasizes that surfactant adsorption inhibits gas diffusion; the dynamic equilibrium model explains that stability arises from the dynamic balance of gas exchange at the gas-liquid interface; the contact line pinning model reveals that substrate heterogeneity constrains the evolution of the three-phase contact line; the local supersaturation model proposes that local high-concentration gas layers formed by substrate adsorption delay dissolution; the interfacial charge enrichment model suggests that electrostatic pressure from the double layer counteracts the Laplace pressure driving dissolution; the internal high-density model assumes that the condensed high-density gas inside reduces diffusion rate and partially counteracts the Laplace pressure. This review systematically summarizes the research progress of the stability mechanisms of surface nanobubbles. It first reviews the discovery history of surface nanobubbles, then deeply analyzes the core mechanisms, intrinsic correlations, and limitations of the aforementioned theoretical models., Finally, it examines the technical challenges faced by surface nanobubbles with the application examples in the biomedical field, and proposes potential optimization strategies and future perspectives based on ther theoretical models of stability.
GENERAL
EDITOR'S SUGGESTION
2025, 74 (16): 160201.
doi: 10.7498/aps.74.20250422
Abstract +
In recent years, physics-informed neural networks (PINNs) have provided effcient data-driven methods for solving forward and inverse problems of partial differential equations (PDEs). However, when addressing complex PDEs, PINNs face significant challenges in computational efficiency and accuracy. In this study, we propose the extended mixed-training physics-informed neural networks (X-MTPINNs) as illustrated in the following figure, which effectively enhance the ability to solve nonlinear wave problems by integrating the domain decomposition technique of extended physics-informed neural networks (X-PINNs) in a mixed-training physics-informed neural networks (MTPINNs) framework. Compared with the classical PINNs model, the new model exhibits dual advantages: The first advantage is that the mixed-training framework significantly improves convergence properties by optimizing the handling mechanism of initial and boundary conditions, achieving higher fitting accuracy for nonlinear wave solutions while reducing the computation time by approximately 40%. And the second advantage is that the domain decomposition technique from X-PINNs strengthens the ability of the model to represent complex dynamical behaviors. Numerical experiments based on the nonlinear Schrödinger equation (NLSE) demonstrate that X-MTPINNs excel perform well in solving two bright solitons, third-order rogue waves, and parameter inversion tasks, with prediction accuracy improved by one to two orders of magnitude over traditional PINN. For inverse problems, the X-MTPINNs algorithm accurately identifies unknown parameters in the NLSE under noise-free, 2%, and 5% noisy conditions, solving the complete failure problem of NSLE parameter identification in classical PINNs in the studied scenario, thus demonstrating strong robustness.
EDITOR'S SUGGESTION
2025, 74 (16): 160303.
doi: 10.7498/aps.74.20250227
Abstract +
In a practical continuous-variable quantum secret sharing system, the local oscillator transmitted via an insecure channel may be subjected to security threats due to various targeted attacks. To solve this problem, this paper proposes a continuous-variable quantum secret sharing scheme with local intrinsic oscillator, in which the intrinsic oscillator is generated locally at the trusted end without being sent by each user, thus completely plugging the relevant security loopholes. The scheme consists of three stages: preparation, where users generate Gaussian-modulated coherent states and reference signals; measurement, where the dealer performs heterodyne detection by using the local intrinsic oscillator and reference phases; post-processing, which involves parameter estimation, phase compensation, and secure key extraction. On this basis, Kalman filter (KF) is utilized to estimate the minimum mean square error for each reference phase separately, reducing the phase drift estimation error and suppressing the phase measurement noise. Phase compensation methods for scalar KF and vector KF are developed respectively, where scalar KF requires additional block averaging for slow phase drift, while vector KF simultaneously models fast and slow drifts, enabling one-step compensation with minimized estimation errors. The excess noise of the filtered system including modulation noise, phase noise, photon leakage noise, and ADC quantization noise is modeled, with KF reducing phase measurement noise via dynamic gain optimization. Security bound against eavesdroppers and dishonest users is derived. Numerical simulations under practical parameters demonstrate significant improvements: vector KF achieves a maximum transmission distance of 82.6 km (vs. 67.3 km for block averaging) and supports 33 users (vs. 22), with excess noise reduced by 40% at 60 km. The scheme’s robustness is further validated under varying reference signal amplitudes, showing stable performance even at lower levels, minimizing interference with quantum signals. These results highlight that the proposed scheme has significant advantages in terms of maximum transmission distance and maximum number of supported users, and has the potential to build adaptive KF algorithms for dynamic user scenarios and quantum machine learning integration.
2025, 74 (16): 160702.
doi: 10.7498/aps.74.20250524
Abstract +
NUCLEAR PHYSICS
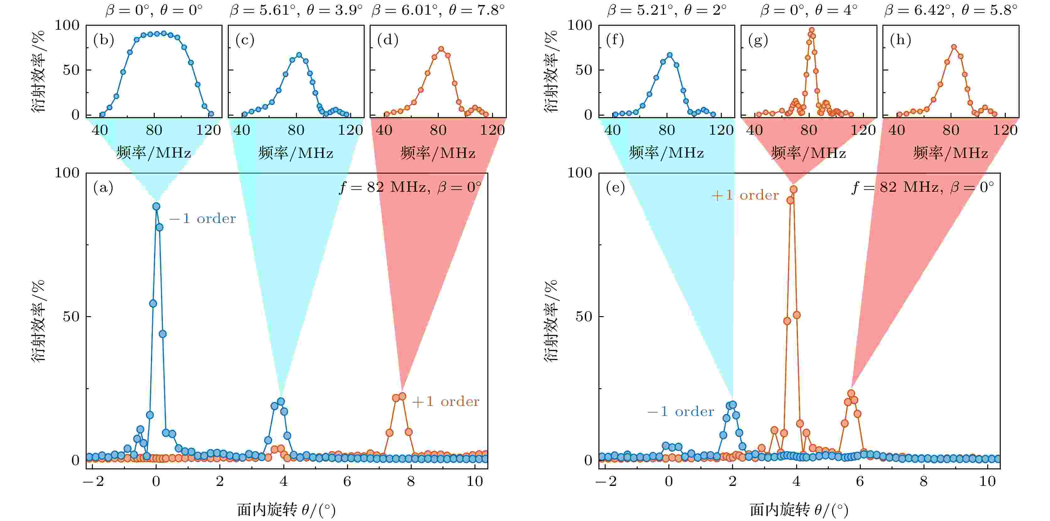
2025, 74 (16): 162101.
doi: 10.7498/aps.74.20250535
Abstract +
Strange quark matter (SQM) is considered to be the true ground state of the strong interactions, but recent studies have shown that ordinary quark matter (u-d quark matter, u-d QM) may also be the ground state of the strong interactions. By inserting an attenuation factor of Woods-Saxon potential type into the quark mass scaling, the resulting calculations of equation of state of u-d QM based on equiv-particle model show that the stability window of model parameters for stable u-d QM can be significantly enlarged with proper model parameters, which can be seen in the following figure. In this figure, the red solid and dashed lines represent the curves of $ \sqrt{D} $ versus C with and without attenuation factor, respectively, when the minimum value of the average energy per baryon is set to 930 MeV; the blue solid and dashed lines represent the curves of $ \sqrt{D} $ versus C with and without attenuation factor, respectively, when $ m_\mathrm{u}=0 $. Thereby, the red and blue shaded areas are the absolute stable regions of u-d QM without and with attenuation factor in mass scaling. It is obvious that with the attenuation factor and proper model parameters, the absolute stable region (blue shaded area) for u-d QM can be much larger than that without the attenuation factor (red shaded area). The introduction of the attenuation factor allows the maximum mass of ordinary quark star (u-d quark star, u-d QS) to be larger than twice the solar mass, while the tidal deformability satisfies $ \varLambda_{1.4} \in [70,580] $, which is consistent with the current astronomical observations. Therefore, the pulsars may be essentially the u-d QSs. This result provides a possibility for understanding the nature of pulsars, and it also further deepens the understanding of the strong interactions.
2025, 74 (16): 162401.
doi: 10.7498/aps.74.20250162
Abstract +
SiGe-based electronics have a promising prospect in the field of space exploration due to the controllable bandgap of SiGe alloys and high compatibility with Si technology. However, they may be susceptible to the influence of energetic particles in space radiation environments. In order to explain the potential displacement damage in SiGe-based electronics, Monte Carlo simulations are conducted to investigate the displacement damage in SiGe alloys and SiGe/Si heterostructures induced by 1–1000 MeV protons. The displacement damage in SiGe alloys is studied by the energy spectra and types of proton-induced primary knock-on atoms (PKAs) and the related damage energy distribution, while the displacement damage in SiGe/Si heterostructures is studied by the damage energy distribution caused by forward- and reverse-incident protons. Low-energy protons (1–100 MeV) primarily generate Si PKAs and Ge PKAs in SiGe alloys through Coulomb scattering and elastic collisions, and the corresponding damage energy distribution exhibits a distinct Bragg peak at the end of the proton range. Meanwhile, high-energy protons (300–1000 MeV) cause significant inelastic collisions in SiGe alloys, leading to a series of other PKA types, with the associated damage energy distribution predominantly located in the front of the proton range. In addition, the damage energy in SiGe/Si heterostructures generally decreases as the proton energy increases, and compared with the forward-incident protons, the reverse-incident protons (10 MeV and 100 MeV) cause greater damage energy on the side of Si substrate at the interface, and result in more noticeable fluctuations in damage energy on both sides of the interface, probably leading to severe displacement damage. Besides, Ge content can affect the PKA type, damage energy distribution, and nonionizing energy loss. As for high-energy protons, high Ge content may lead to a great nonionizing energy loss in SiGe alloys, whereas the Ge content has an insignificant effect on the total damage energy of small-size SiGe/Si heterostructures. In summary, this work indicates that the proton-induced displacement damage in SiGe alloys and SiGe/Si heterostructures is greatly dependent on the proton energy, and low-energy protons are prone to generating massive self-recoil atoms, inducing significant displacement damage in small-size SiGe/Si heterostructures, which will provide theoretical basis and reference for studying displacement damage effect and developing radiation hardening techniques of SiGe-based electronics.
EDITOR'S SUGGESTION
2025, 74 (16): 162501.
doi: 10.7498/aps.74.20250404
Abstract +
Elastic scattering is one of the useful methods to control the transmission behaviors of microwave photons transporting in microwave quantum networks without energy consumption. Therefore, it is of practical significance for developing microwave quantum devices and constructing multi-node microwave quantum networks. The transmission line embedded by a single Josephson junction can be described by different circuit models (series and parallel). In this work, we first theoretically analyze the transmission characteristics of microwave photons scattered by different elastic scattering models described by series or parallel embedding models, generated by a single LC loop or a nonlinear Josephson junction device, respectively. The classical microwave transport theory predicts that the series LC loop and the parallel LC loop lead to different elastic scattering behaviors of microwave photons, i.e. the series LC circuit yields the resonant reflection and the parallel LC circuit leads alternatively to the resonant transmission. Recently, the transport properties of microwave photons scattered by a Josephson junction embedded in a transmission line have been discussed, and the results suggested that the Josephson junction embedded in the transmission line can be described by a series embedding circuit, which implies the resonant reflection. We argue here that if the Josephson junction is embedded in parallel in the transmission line, the elastically scattered microwave photons should be transmitted by resonant transmission. In order to test which of the above two different embedding circuit models yielding the completely different elastic scattering behaviors, is physically correct, we then fabricate such a device, i.e. a single Joseph junction device embedded in a transmission line, and measure its elastic scattering transmission coefficient at an extremely low temperature. The results are consistent with the expected effect of the parallel embedding circuit model, but inconsistent with the behaviors predicted by the series embedding circuit model in the literature. According to the above theoretical and experimental analyses of the elastic scattering of a single Josephson junction device, we further propose a scheme to control the elastic scattering behavior of microwave photons by modulating a DC superconducting quantum interference device with a bypass current, which can be applied to the construction of a microwave quantum network based on elastic scattering node controls.
ELECTROMAGNETISM, OPTICS, ACOUSTICS, HEAT TRANSFER, CLASSICAL MECHANICS, AND FLUID DYNAMICS
2025, 74 (16): 164201.
doi: 10.7498/aps.74.20250592
Abstract +
2025, 74 (16): 164202.
doi: 10.7498/aps.74.20250545
Abstract +
The inevitable distortions in optical coherence tomography (OCT) imaging often lead to mismatches between the imaging space and the real space, significantly affecting measurement accuracy. To address this issue, this study proposes a machine learning-based OCT image distortion correction method. A calibration plate with uniformly distributed circular hole arrays is sequentially imaged at different marked planes. The point showing minimal deviation between its coordinates and the mean coordinates in all imaging planes is selected as a reference marker. A mathematical model is then used to reconstruct all marker point coordinates in the reference plane, establishing a mapping relationship between the imaging space of calibration plate and the real physical space. A multilayer perceptron (MLP) is employed to learn this mapping relationship. The network architecture consists of multiple fully-connected modules, each with a linear layer and an activation function besides the output layer. The optimal model is selected based on validation set performance, and then used to analyze the spatial distribution of points. Using a swept-source OCT system, lens images are acquired and corrected through the trained model to obtain the anterior surface point cloud. Combined with ray tracing reconstruction of the posterior surface, the lens curvature radius and central thickness are calculated. The experimental results show that after correction, the lens curvature radius is measured with an accuracy of 10 μm (error < 1%), while the central thickness is determined, with an accuracy of 3 μm (relative error: 0.3%). This method shows high accuracy and reliability, providing an effective solution for improving OCT measurement accuracy.
2025, 74 (16): 164203.
doi: 10.7498/aps.74.20250455
Abstract +
Modulating the light field scattered by scattering media has potential applications in biological tissue imaging, military anti-terrorism, and optical information transmission. However, light reflected by complex scattering media, such as biological tissues, clouds and fog, multi-mode fiber, and white paper, will produce disorderly scattering, and then disturb the wavefront of incident light. It has always been the main obstacle to optical imaging and effective information transmission. Therefore, the control of backscattered light field is also a research field worthy of attention, which is of great significance for the transmission of non-line-of-sight optical information. It is also very important to find a method of efficiently controlling backscattered light field for the breakthrough of related applications. It has been found that iterative wavefront shaping technology is an effective solution, which gradually modulates the amplitude or phase distribution of wavefront according to the feedback of the light intensity distribution in the target area of charge coupled device (CCD). An improved genetic algorithm, self-adaptation genetic algorithm (SAGA), is proposed, which can be used to rapidly modulate the backscattered light field. The amplitude distribution of wavefront is controlled, which makes it form the required pattern at the target position through the interference of light. During the implementation of the algorithm, the SAGA performs gene crossover and mutation separately, and selects gene crossover and mutation operations according to the number of iterations. At the beginning of evolution, the probability of selecting gene mutations is higher because the population needs to adapt to the environment, while at the end of evolution, the probability of selecting gene mutations is lower because it gradually adapts to the environment. In the experimental measurement, the effective modulation area of digital-micromirror device (DMD) is 1024×1024, which is divided into 64×64 modulation segments by pixel merging. Each segment number is assigned a value of 0 or 1. Focusing and image projection performance of scattered light field are evaluated based on peak-to-background ratio (PBR) and Pearson correlation coefficient (Cor), respectively. By comparing the scattered light focusing and image projection of SAGA and genetic algorithm (GA), it is found that SAGA can accurately control the backscattered light field and converge to the optimal value in a few iterations. After 1000 iterations, the GA still has a clear speckle background. With the increase of iteration times, GA will also show bright focus and clear projection image. Compared with GA, SAGA has a modulation speed that is 8.3 times faster in light focusing and 14.38 times faster in image projection, greatly improving the modulation speed of the scattered light field. The fast control technology for scattered light field can lead to numerous new optical communication applications and offer fresh insights into the study of optics and information science.
2025, 74 (16): 164204.
doi: 10.7498/aps.74.20250544
Abstract +
This paper introduces an adaptive blind noise dynamic filtering for ghost imaging reconstruction (ABNDF-GIR), a novel method of optimizing ghost imaging data with a limited number of measurements, significantly improving image quality and peak signal-to-noise ratio (PSNR). To address the challenges of noise and undersampling, we first enhance the stability of the measurement matrix by using pseudoinversion and a unit matrix, and calculate correction terms for bucket detector observations to optimize the reconstruction process. A balanced all-one column vector is used as the initial value to accelerate convergence. For iterative computation, we propose a novel filtering and denoising technique, the adaptive denoising window-based guided filtering with BM3D (ADW-BG), which integrates blind noise estimation, block matching and 3D filtering, and guided filtering. This dynamic filtering method effectively preserves important details during each iteration, and can achieve high-quality target reconstruction even with fewer measurements. Extensive simulations and experimental results verify that our method is significantly superior to traditional filtering methods and various compressiv sensing algorithms, especially in edge preservation and texture detail enhancement. The proposed technique provides a key technical advancement for the application of ghost imaging in fields such as remote sensing and medical imaging, showing significant advantages in real-world imaging scenarios.
2025, 74 (16): 164205.
doi: 10.7498/aps.74.20250712
Abstract +
2025, 74 (16): 164206.
doi: 10.7498/aps.74.20250519
Abstract +
This study presents an optimization method of generating a wide stable-zone, large mode field operation nanosecond laser oscillator based on artificial intelligence algorithms. The work is motivated by the need of the large mode field laser cavities in compact size with variable thermal focal length. A physics model of light field propagation inside the resonator is established by combining thermal lensing tolerance. A multi-objective optimization function is designed to simultaneously balance the beam quality, thermal stability, and cavity compactness. Several algorithms, such as simulated annealing, particle swarm optimization, and genetic algorithms are compared, and ultimately, efficient searching for optimal solutions in complex multi-dimensional parameter spaces is achieved. In the system design, the parameters of cavity segment length, intracavity lens, and Gaussian mirror (VRM) are optimized. Therefore, an optimized cavity structure is experimentally implemented and Q-switching operations are perform. The results demonstrate stable laser output at 100 Hz repetition rate with 190 mJ pulse energy and 7 ns pulse width, and beam quality factors $ M_x^2 $ = 2.1 and $ M_y^2 $ = 1.9 respectively, and the total length of the cavity is only 540 mm, which demonstrates the compactness of laser design. Furthermore, numerical simulations are conducted to compare a variety of resonator configurations and assess the influence of different parameters on the cavity’s thermal stability. After the optimization, the thermal stability curve of the laser resonator shows a significant decrease in slope near the large-mode-field region, indicating an improvement in thermal length adaptability. This enhancement is crucial for ensuring long-term stable operation of high-repetition-rate nanosecond laser oscillators. In summary, this study provides an efficient approach for designing compact, thermally stable, large-mode-area resonators, and valuable insights into designing compact laser with high power output.
2025, 74 (16): 164207.
doi: 10.7498/aps.74.20250612
Abstract +
EDITOR'S SUGGESTION
2025, 74 (16): 164208.
doi: 10.7498/aps.74.20250624
Abstract +
The rapid advancement of information technology has sparked an exponential demand for high-speed, large-capacity data transmission and processing. Traditional electronic communication systems face inherent limitations such as bandwidth constraints and electromagnetic interference, prompting people to shift toward photonic technologies. Integrated optical waveguides, as core components of on-chip photonic systems, enable efficient light confinement and manipulation at microscale dimensions, offering advantages in miniaturization, low power consumption, and high compatibility with existing optical communication infrastructure. Among these, erbium-doped waveguide amplifiers (EDWAs) have emerged as critical active devices for signal amplification in the 1550 nm communication band, leveraging the radiative transitions of Er3+ ions to achieve optical gain. Numerous studies have shown that the fluorescence performance of Er3+ is closely related to the factors such as doping method, preparation and annealing conditions. Besides, the performance of such amplifiers heavily relies on the choice of host materials, which must exhibit low optical loss, high rare-earth ion solubility, and compatibility with complementary metal-oxide-semiconductor (CMOS) fabrication processes. Tellurium dioxide (TeO2), with its high refractive index (2.1–2.4), broad transparency range (0.33–5 μm), exceptional chemical stability, and low phonon energy, has shown significant promise as a superior alternative to traditional materials such as silicon nitride (Si3N4) and aluminum oxide (Al2O3). This study focuses on the development of erbium-doped TeO2 (Er:TeO2) ridge waveguides for on-chip optical amplification. The Er:TeO2 thin films are deposited via radio frequency (RF) magnetron sputtering using high-purity Te and Er targets. The key deposition parameters, including Er2O3 target sputtering power (10–30 W), Ar/O2 gas flow ratio (1∶1 to 5∶1), and post-deposition annealing conditions (200–300 ℃ under oxygen atmosphere), are systematically optimized to improve photoluminescence properties. Scanning electron microscopy (SEM) and fluorescence spectroscopy are employed to evaluate film morphology and emission characteristics. A bilayer waveguide structure is designed to mitigate surface roughness induced by direct etching of the Er-doped layer. The lower Er:TeO2 active layer (500 nm in thickness) and upper undoped TeO2 cladding layer (150 nm in thickness) are patterned by using ultraviolet lithography and plasma etching (O2/Ar/CHF3 gas mixture), achieving a ridge width of 2 μm. Optical confinement and mode field distribution are simulated by using finite-difference eigenmode (FDE) analysis, confirming effective light-matter overlap within the Er-doped region. Experimental results reveal that the optimal Er:TeO2 film, deposited at an Er target power of 20 W and an Ar/O2 flow ratio of 5∶1, and annealed at 250 ℃ for 10 hours, exhibits a photoluminescence intensity of 3.5 × 106 photon counts at 1545 nm–nearly two orders of magnitude higher than non-annealed samples. Oxygen annealing effectively activates Er3+ ions while passivating oxygen vacancies, which is critical for minimizing non-radiative recombination. Excessive Er doping (30 W in sputtering power) leads to ion clustering and fluorescence quenching, highlighting the importance of controlled dopant concentration. Surface morphology analysis via SEM and optical microscopy confirms smooth, crack-free films with minimal particulate contamination, which is essential for low-loss waveguide fabrication. Waveguide performance is characterized by using the cut-back method at 1310 nm, yielding a propagation loss of 0.607 dB/cm for a 0.5 cm-long device. However, a coupling loss of 6.34 dB/facet is observed due to rough end-faces from mechanical dicing, highlighting the need for post-fabrication polishing or anti-reflective coatings. Amplification tests at 1545 nm under 980 nm pumping demonstrate an internal gain of 7.2 dB/cm at a pump power of 88.45 mW, with gain saturation observed beyond 90 mW. The broadband emission spectrum (80 nm full-width at half-maximum) further validates Er:TeO2’s potential for wideband amplification in the C-bands. In summary, this study elucidates the advantages of erbium-doped tellurium oxide (Er:TeO2) ridge waveguides as on-chip optical amplifiers, optimizes their deposition and annealing protocols, and designs a bilayer waveguide structure. The achieved low propagation loss and significant internal gain highlight the compatibility of materials with photonic integrated circuits (PICs). Future efforts will focus on improving the quality of waveguide endface, enhance pump efficiency, and scaling device lengths to achieve practical net gains for telecommunications and quantum photonic applications. These advancements render Er:TeO2 a cornerstone material for next-generation compact, high-performance photonic systems.
EDITOR'S SUGGESTION
2025, 74 (16): 164209.
doi: 10.7498/aps.74.20250706
Abstract +
Microwave-to-optics conversion is a core technology for hybrid quantum networks, enabling the integration of microwave and optical frequency domains essential for quantum communication and quantum information processing. However, the Doppler broadening effect in thermal atomic ensembles often severely limits the conversion efficiency. This study aims to propose a novel mechanism for microwave-to-optics conversion using four-wave mixing (FWM) in room-temperature Rydberg atoms, addressing the challenges posed by Doppler broadening and providing a theoretical framework for practical applications. We develop a theoretical model based on the coupled Maxwell-Bloch equations to describe the FWM process in a symmetric double-ladder four-level system. The density matrix method and perturbation method combined with Maxwell’s equations are used to derive an analytical expression for the coherence coefficient between the microwave field and the optical field. This coherence coefficient characterizes the energy transfer between the microwave and optical fields and is used to obtain an analytical expression for the FWM conversion efficiency. We use cesium vapor as a medium to analyze the propagation characteristics of the FWM efficiency and explore the effects of laser field intensity and the Doppler effect on the conversion efficiency. Our analysis reveals that the detuning effect caused by the thermal motion of atoms significantly reduces the resonance coupling efficiency. Specifically, when the Doppler frequency is lower than the natural linewidth, the conversion efficiency can be notably improved. In a Doppler-free environment, the conversion efficiency approaches unity at an optimal propagation distance. In contrast, in room-temperature cesium vapor (300 K), the conversion efficiency is significantly reduced due to Doppler broadening. However, by cooling the atoms to microkelvin temperatures, the Doppler broadening can be minimized, leading to a substantial increase in conversion efficiency. This study provides new theoretical guidance and experimental schemes for microwave-to-optics conversion at room temperature. The proposed mechanism based on Rydberg atoms provides a promising approach to overcoming the limitations imposed by Doppler broadening. Our findings are of great significance for advancing quantum information technology, especially in the context of developing efficient quantum networks.
EDITOR'S SUGGESTION
2025, 74 (16): 164210.
doi: 10.7498/aps.74.20250218
Abstract +
2025, 74 (16): 164211.
doi: 10.7498/aps.74.20250449
Abstract +
2025, 74 (16): 164301.
doi: 10.7498/aps.74.20250656
Abstract +
The low-grazing-angle reflection on elastic sediment seabed exhibits abnormally enhanced frequency characteristics, which significantly influences long-range sound propagation in shallow water. To study the influence of elastic sedimentary layer seabed environment on long-range sound propagation in shallow waters, we conduct a joint measurement of seabed and waveguide sound propagation in the Dongsha area of the South China Sea. The measurements show for the first time that the seabed resonance and the sound siphon effect occur simultaneously. Notably, this effect is different from the sound siphon effect observed in low-sound-speed seabed environments, as it exhibits smaller frequency intervals. By analyzing the low-grazing-angle reflection characteristics of the elastic seabed, we develop a theoretical model for the resonance frequencies of shear waves in elastic sediment layers under low grazing angles and investigate their influence on long-range sound propagation. The results indicate that under an elastic seabed model, the low-grazing-angle reflection modulated by shear waves induces resonance at specific frequencies within the sediment layer. This trap acoustic energy in the seabed, leading to the sound siphon effect. Furthermore, we analyze the sensitivity and coupling of key parameters related to the resonance frequency of shear wave. According to these findings, we develop an inversion strategy that integrates seabed and waveguide observations to estimate geo-acoustic parameters of the experimental area. The inversion results validate the mechanism by which the elastic seabed model contributes to the sound siphon effect in the water column.
PHYSICS OF GASES, PLASMAS, AND ELECTRIC DISCHARGES
2025, 74 (16): 165201.
doi: 10.7498/aps.74.20250473
Abstract +
Diffuse discharges generated by fast rising edge of nanosecond pulses possess a larger discharge radius than classic streamer discharges. However, existing simulation studies often employ boundary ranges similar to those used for simulating streamer discharges, thus neglecting the influence of the boundary range on their characteristics. In this work, the characteristics of diffuse discharges in atmospheric-pressure air are investigated using a fluid model. The research focuses on the influences of plasma and Poisson equation boundary ranges, especially the top and right boundaries of the rectangular computational domain, on discharge evolution. The comparison between numerical simulations and experimental results reveals several key findings: When both plasma and Poisson equation boundaries are set to 5 cm×5 cm (exceeding six times the maximum discharge radius), the simulated discharge width and propagation velocity accord well with experimental measurements. However, consistent delays are observed in simulating the time required to reach the plate electrode, highlighting the inherent limitations of current fluid models in accurately simulating temporal scales. Reducing the plasma boundaries results in negligible fluctuations in electric field strength and electron density at the discharge head, indicating a minimal effect on macroscopic discharge characteristics. Narrowing the Poisson equation’s right boundary significantly reduces the discharge width while simultaneously increasing the discharge width relative to the domain size. Asymmetric propagation patterns occur between the upper and lower halves of the discharge gap. Nevertheless, appropriate reduction of the right boundary improves morphological consistency with experimental observations, thereby suggesting practical optimization strategies. Conversely, reducing the top boundary weakens the electric field “focusing effect” at the discharge head, homogenizes the spatial field distribution, and delays accelerating, thereby exacerbating deviations from experimental data. These results demonstrate that Poisson boundary conditions critically govern spatiotemporal discharge dynamics. Top boundary truncation significantly reduces the simulation accuracy, whereas adjusting the right boundary allows for a balanced optimization between computational efficiency and result reliability. This work provides theoretical guidance for selecting boundary conditions in the numerical modeling of diffuse discharges.
CONDENSED MATTER: STRUCTURAL, MECHANICAL, AND THERMAL PROPERTIES
2025, 74 (16): 166103.
doi: 10.7498/aps.74.20250559
Abstract +
Fe-based amorphous alloys have exceptional properties such as low coercivity and core loss. In recent years, the development of amorphous alloys by using selective laser melting (SLM) technology has become the focus of attention. However, the glass-forming ability (GFA) and mechanical properties pose challenges for fabricating Fe-based amorphous alloys with complex geometries. This work aims to establish fundamental processing-(micro) structure-property links in Fe-based amorphous alloys processed by selective laser melting (SLM). With that purpose, a low-energy-input melt pool is achieved and the overlap quality between adjacent melt tracks and successive deposition layers is enhanced, through optimization of printing parameters. The Fe-based amorphous alloy is obtained with a high relative density of 94.3% and low coercivity of 0.5 Oe. Furthermore, the saturation magnetization of the printed alloy increases to 0.89 T compared with that of the powder feedstock. This work overcomes the mutual constraint between the GFA and part quality in fabricating of complex-structure Fe-based amorphous alloys, and is of great significance for promoting the application of Fe-based amorphous alloys.
2025, 74 (16): 166201.
doi: 10.7498/aps.74.20250437
Abstract +
The monolayer Janus MoSSe is different from its parent materials MoS2 and MoSe2. It is of great significance to study the unique mechanical properties of monolayer Janus MoSSe under uniaxial strain due to the asymmetry of its structure. Theoretical studies can provide useful support for improving the mechanical properties of monolayer Janus materials under strain. By using the first-principles method based on the density functional theory and combining the classical mechanics analysis, the mechanical properties of monolayer Janus MoSSe with broken symmetry under uniaxial tensile strain at different chiral angles are investigated. The results show that the stress-strain curves are isotropic at different chiral angles when the strain is less than 5%. When the strain exceeds 5% and the Mo—S bond and Mo—Se bond are not broken, the stress-strain curves at different chiral angles show strong anisotropic responses. The strength and toughness of monolayer Janus MoSSe are highly anisotropy- and chirality-dependent. In contrast, its in-plane stiffness remains constant at different chiral angles. By comparing the results from the first-principles method of quantum mechanics with those from the classical mechanics method, it is shown that first-principles calculations involving many-body interactions between electrons play an important role in determining the strength and toughness of this material. This is because the first-principles method can incorporate more accurately the many-body interactions between electrons. This study provides guidance for constructing and developing monolayer Janus MoSSe based nanomechanical devices.
2025, 74 (16): 166401.
doi: 10.7498/aps.74.20250416
Abstract +
In this paper, we investigate the saliency identification of node groups in undirected complex networks by utilizing spectral graph theory of pinning control. According to the node significance criterion in network pinning control theory, where important controlled nodes are those maximizing the minimum eigenvalue of the grounded Laplacian matrix after their removal, we propose multi-metric fusion and enhanced greedy search algorithm (MFG), a novel key node group identification framework that integrates multi-metric linear fusion and an enhanced greedy search strategy. First, a linear weighted fusion model that synergistically integrates local centrality metrics with global graph properties is constructed to pre-screen potentially more important node groups, effectively reducing the inherent limitations of a single-metric evaluation paradigm. Second, a dual search strategy combining second-order neighborhood perturbation and global random walk mechanisms is developed to optimize the myopic nature of traditional greedy algorithms. Through iterative selection within pre-screened node groups, the nodes maximizing the minimum eigenvalue of the grounded Laplacian matrix are identified, achieving an optimal balance between local optimization and global search capabilities. Third, computational efficiency is enhanced by using a modified inverse power method for eigenvalue calculation, reducing the complexity of traditional spectral computations. Comprehensive simulations of generated networks and real-world networks demonstrate the framework’s superiority. The evaluation of the proposed algorithm includes three aspects: 1) comparison of the minimum eigenvalues between different algorithms; 2) SIR epidemic modeling for propagation capability assessment; 3) topological analysis of identified key nodes. The simulation results reveal the following two significant points: a) Our method outperforms state-of-the-art benchmarks (NPE, AGM, HVGC) in maximizing the ground Laplacian minimum eigenvalue in synthesized (NW small-world, ER) and real-world networks, especially at critical control sizes; b) The identified critical node groups exhibit unique topological features, typically combining high-level hubs with strategically located bridges to best balance local influence and global connectivity. Importantly, the SIR propagation model confirms that these topologically optimized populations accelerate the early outbreak of epidemics and maximize global saturation coverage, directly linking structural features with superior dynamic influence. These findings provide guidance for controlling information propagation in social networks.
2025, 74 (16): 166404.
doi: 10.7498/aps.74.20250552
Abstract +
The dense packing of hard particles in confined spaces has sparked widespread interest in mathematics and statistical physics. It relates to classical packing problems, plays a central role in understanding the self-assembly of microscopic particles such as colloids and nanoparticles under geometric constraints, and inspires studies on a wide range of physical systems. However, achieving high packing densities under confinement remains challenging due to anisotropic shapes of particles, the discontinuous nature of hard-core interactions, and geometric frustration. In this work, we develop a Monte Carlo scheme that combines boundary compression with controlled temporary particle overlaps. Specifically, during the compression of a circular boundary,we allow a limited number of overlaps which are then removed before further compression steps. We apply this strategy to three types of two-dimensional particles-disks, squares, and rectangles with an aspect ratio of 5∶1—confined within a circular boundary. As a control, we also perform simulations using a traditional method that strictly prohibits overlaps throughout. The final configurations from both methods exhibit similar structural features. For hard disks, central particles form a triangular lattice, while those near the boundary become more disordered to accommodate the circular geometry. For hard squares, particles in the center organize into a square lattice, whereas those near the boundary form concentric layers. For rectangles, particles in the central region display local smectic-like alignment within clusters that are oriented nearly perpendicular to each other. Near the boundary, some particles align tangentially along the circular edge. Quantitatively, the temporary-overlap strategy consistently yields denser packing across all particle types. The analysis shows that the average packing density and maximal packing density of 10 independent samples obtained from the above strategy are higher than those from the traditional method. Further analysis of the radial distribution functions and orientational order parameters reveals that although both methods produce similar structural features, the overlap-allowed method yields a larger central region exhibiting lattice-like or cluster-like ordering. Our findings suggest that allowing temporary particle overlaps is an effective strategy for generating dense configurations of hard particles under confinement. This approach may be extended to more complex systems, including three-dimensional particles or mixtures of particles of different shapes confined within restricted geometries.
CONDENSED MATTER: ELECTRONIC STRUCTURE, ELECTRICAL, MAGNETIC, AND OPTICAL PROPERTIES
EDITOR'S SUGGESTION
2025, 74 (16): 167301.
doi: 10.7498/aps.74.20250540
Abstract +
Under the dual challenges of the energy crisis and environmental pollution, the technology of photocatalytic water splitting for hydrogen production has become a research hotspot for clean energy due to its green and sustainable characteristics. Fibrous red phosphorus (FRP), as a novel quasi-one-dimensional semiconductor material, exhibits remarkable photocatalytic hydrogen evolution potential because of its moderate bandgap, high carrier mobility, and excellent air stability. Based on the first-principles calculations, the regulatory mechanisms of electronic structure and catalytic performance of single-layer FRP doped by a series of non-metallic elements X (X = B, C, N, O, Si, S, As, and Se) are systematically investigated in this work. The results show that the element X can effectively enhance the hydrogen evolution reaction (HER) activity of single-layer FRP. Among those doped systems, four specific systems (S-doped at site 1, B-doped at sites 1/2/5) exhibit excellent catalytic activity for HER. Especially, the B-doped system at site 2 has the most ideal free energy of hydrogen adsorption (ΔGH*), and its overpotential (η = –0.074 V) is comparable to that of the noble metal Pt catalyst. The analysis of the electronic structure indicates that the enhancement of the HER catalytic activity is closely related to the downward shift of the X pz-band center at the adsorption site. There is a direct proportional relationship between ΔGH* and the X pz-band center (R2 ≥ 0.78), indicating that the X pz-band center can serve as a key electronic descriptor for regulating the HER activity. Further verification by calculations using the HSE06 hybrid functional shows that the band edge positions of the B-doped system can span both sides of the redox potential of water, and the light absorption range covers the visible light region, indicating the thermodynamic feasibility and spectral response advantages of this system in the application of photocatalytic overall water splitting. This study provides important theoretical guidance for designing efficient FRP-based photocatalytic materials based on the non-metallic doping strategy.
2025, 74 (16): 167302.
doi: 10.7498/aps.74.20250434
Abstract +
MoS2, as a typical material of two-dimensional semiconductor transition metal chalcogenides, has excellent physical properties such as tunable band gap. Therefore, MoS2 moiré superlattice is an ideal system for investigating the electron transport in condensed matter and the design of optoelectronic devices. On the other hand, interlayer conductance serves as a significant indicator for analyzing coupling effects in moiré superlattice. Here, in order to clarify the influence of tunable band gap on the interlayer conductance, we develop a tunneling theory for calculating the interlayer conductance of MoS2 moiré superlattices by using optical methods in diffraction physics. In this theory, the electron tunneling can be considered as the diffraction of electron waves by the periodic gratings. Accordingly, the influences of the periodicity of MoS2 moiré superlattices and the coherence of the tunneling electrons can be well included in the theory. In addition, the effect of the tunable band gap of MoS2 is taken into account. According to the theory, we investigate the properties of the interlayer conductance of MoS2 moiré superlattice. The theoretical results show that due to the diffraction effect, there exist two partial waves of the tunneling electron at the interface, which can resonate with the interface potential. Accordingly, the interlayer conductance curves exhibit a double-peak structure. Furthermore, we analyze the influences of the tunneling layer and the metal electrodes on the interlayer conductance: the thickness of the upper MoS2 lattice affects the peak and the lower one primarily influences the background. The coherence of tunneling electrons will be enhanced when the parameter of interface potential strength increases. The chemical potential of the metal electrode mainly affects the properties of the peak, and the influence is more significant than that in graphite moiré superlattice.
2025, 74 (16): 167303.
doi: 10.7498/aps.74.20250625
Abstract +
Due to the ability to directly convert thermal energy into electrical energy, thermoelectric devices operating in the medium-to-high temperature range hold significant potential for applications such as deep space exploration and industrial waste heat recovery. Among candidate materials, half-Heusler alloys have emerged as promising options for device fabrication in this temperature range, owing to their excellent mechanical properties, thermal stability, and favorable thermoelectric performance. However, research on half-Heusler-based thermoelectric devices remains far behind study of the materials, which limits their large-scale industrial application. In this study, high-performance P-type Hf0.5Zr0.5CoSb0.8Sn0.2 and N-type Hf0.75Zr0.25NiSn0.99Sb0.01 half-Heusler alloys are firstly synthesized. Then the single-pair thermoelectric module is successfully brazed and assembled by using the graphite mold designed by ourselves. After that, three-dimensional (3D) finite element modeling and one-dimensional (1D) numerical modeling are conducted to simulate the module behaviors, and their results are highly consistent with experimental measurements, thereby validating the accuracy of the simulation models. Using the established simulation models, the influence of geometric parameters on module performance is investigated. The result shows that optimizing the leg height and cross-sectional area ratio is critical for achieving maximum conversion efficiency. Additionally, a self-integrated comprehensive testing system (Model: TE-X-MS) is developed to systematically characterize key thermoelectric properties, including output power and conversion efficiency. The fabricated device achieves a maximum output power of 0.28 W and a peak conversion efficiency of 7.34% at a temperature difference of 538 K, which is comparable to the best-performing devices reported to date. These results provide valuable reference for fabricating, modeling, and characterizing the half-Heusler thermoelectric devices in practical applications.
INTERDISCIPLINARY PHYSICS AND RELATED AREAS OF SCIENCE AND TECHNOLOGY
2025, 74 (16): 168101.
doi: 10.7498/aps.74.20250339
Abstract +
The diamond/graphene composite electrode has garnered significant attention due to its ability to synergistically combine the low background current and broad potential window of the diamond component with the high electrochemical activity of the graphitic component. In this study, argon-oxygen plasma etching is employed to treat nanodiamond/graphite composite films, and the surface structure of the few-layer graphene-coated nanodiamond is obtained by adjusting the etching time to control the number of graphite layers on the surface of the film, and then the surface layer of the few-layer graphene-coated nanodiamond and the bottom layer with good conductivity with more graphite components are constructed to form a double-layer structure. The experimental findings demonstrate that when the argon/oxygen plasma treatment time reaches 5 min, the graphite components on the surface layer of the film are etched into a structure of small-layer graphite coated nanodiamond, which increases the resistivity (2918.3 Ω·cm) and potential window (3.43 V). In addition, the surface state is changed from hydrogen termination to oxygen termination, so that the diamond grain has a positron affinity potential, and the electrochemical active area increases from 387 to 2893 μC/cm2. As the treatment time continues to extend to 20 min, the number of graphite layers on the surface of the film decreases, the diamond phase content increases, the resistivity of the film increases, and the electrochemically active area decreases. When the etching time reaches 25 min, the graphite layer under the composite film is exposed, and the graphite on the surface of the diamond is transformed into few-layer graphene, forming a double-layer structure of the top layer of few-layer graphene-coated diamond and the bottom layer of graphite, which synergistically improves the electrochemical activity (775 μC/cm2), reduces the resistivity of the composite film (1060.0 Ω·cm) and broadens the potential window (3.50 V). This work provides a novel plasma-etching strategy for fabricating diamond/graphene hybrid electrodes, and new insights into using the complementary advantages of these carbon allotropes for advanced electrochemical applications.
EDITOR'S SUGGESTION
2025, 74 (16): 168201.
doi: 10.7498/aps.74.20250493
Abstract +
Aluminum-doped propellants are widely used in strategic tactical missiles for their reliability, durability and adaptability. The accurate identification of infrared radiation characteristics of exhaust plumes, as a main means of passive detection, is helpful for rapid warning and tracking. In response to the shortcomings of traditional model that ignores the evolution of particle crystal phases, this paper proposes a radiation calculation model for multiphase Al2O3 containing the solid rocket plumes based on the changes of Al2O3 crystal structure in high temperature environments. The radiative transfer equation of the gas-solid two-phase plume is solved by using spherical harmonic discrete ordinate method (SHDOM). Compared with the classical method of simplifying the Al2O3 particles as single liquid phase particles, the model is more consistent with the results of experimental measurement data, which further improves the calculation accuracy. The infrared spectral radiation characteristics of plumes with different aluminum doping ratios are investigated using the model. The results show that under low aluminum doping ratios, the classical method significantly overestimates the plume radiation in the near-infrared band. At 1.7–2.0 μm, the maximum decrease is 67.2%; in the range of 2.5–3.0 μm, the difference in results between the two methods decreases from 21.6% to 3.6% with the increase of aluminum doping rate; and the particle phase transition in the range of 4.0–4.5 μm does not have much influence on the overall results, whose difference is about 7% on average. Therefore, it is necessary to accurately predict the radiation characteristics by considering the phase change of particles in the plume. These results contribute to the accurate detection and identification of solid rocket motors.
2025, 74 (16): 168501.
doi: 10.7498/aps.74.20250403
Abstract +
Machine vision, serving as the “eyes” of artificial intelligence (AI), is one of the key windows for AI to acquire external information. However, traditional machine vision relies on the Von Neumann architecture, where sensing, storage, and processing are separated. This architecture necessitates constant data transfer between different units, inevitably leading to high power consumption and latency. To address these challenges, a PtSe2 photosynaptic device with negative light response is prepared. The device shows an inhibitory postsynaptic current (IPSC) under light pulse stimulation, and achieves optically tunable synaptic behaviors, including double pulse facilitation (PPD), short-range plasticity (STP), and long-range plasticity (LTP). In addition, by using a 3 × 3 sensor array, the device exhibits dependence on light duration, and the image in-situ sensing and storage functions are demonstrated and verified. By using 28 × 28 device array combined with artificial neural network (ANN), the integrated perception-storage-preprocessing function of visual information is realized. The experimental results show that the image after preprocessing (denoising) is trained for 100 epochs, and the accuracy rate reaches 91%. Finally, lasers with two representative wavelengths of 405 nm and 532 nm are chosen as the light sources in the experiment, and the I-V characteristic curve changes most under the blue light pulse of 450 nm, which is because the blue light has higher photon energy to produce negative light effect. Based on the different photocurrents of the device responding to different wavelengths of light, the photoelectric synaptic logic gates ‘NOR’, ‘NAND’ and ‘XOR’ are established, which enables image processing functions such as dilation, erosion and difference recognition. The device’s power consumption is calculated to be 0.111 nJ per spike. The research results indicate that the negative photoconductivity of PtSe2 has great potential in simplifying information processing and effectively promoting applications, which will help promote more integrated and efficient NVS.
2025, 74 (16): 168502.
doi: 10.7498/aps.74.20250553
Abstract +
In this paper, the first-principles method based on density functional theory and non-equilibrium Green’s function is used to design and investigate the transport properties of multifunctional spintronic devices based on zigzag SiC nanoribbon via edge asymmetric dual-hydrogenation. The zigzag SiC nanoribbons via edge asymmetric dual-hydrogenation are selected as electrodes, and SiC atomic single chains are connected to the above, upper-middle, lower-middle, and below the positions of the electrodes to form four molecular devices: M1, M2, M3 and M4. In this study, it is found that the maximum spin current value of the device in the P-magnetic configuration decreases sequentially with the connection position transitioning from top to bottom. The spin-down current-voltage curves of M1, M2, and M4 exhibit significant spin rectification effects, with maximum rectification ratios of 9.8×105, 5.2×105, and 6.7×104, respectively. The spin-up current-voltage curve of M3 shows the best rectification effect, with a maximum rectification ratio of 6.9×106. More importantly, the spin-up current-voltage curve of M3 exhibits a unique negative differential resistance effect in the negative voltage range. In the AP magnetic configuration, the spin-up currents of the four devices are very weak throughout the bias region and hardly changes with the increase of voltage. Although there are differences in the spin-down current between the four devices within the positive and negative bias ranges, they are not significant, thus failing to demonstrate excellent rectification effects. In addition, M2 exhibits perfect spin filtering effect in the negative voltage range in both P and AP magnetic configurations, with a spin filtering efficiency close to 100%. This work integrates spin rectification and spin filtering, as well as spin rectification and negative differential resistance, into a single molecular device, achieving the theoretical design of a composite spin device with two functions. The research results provide an important solution for practically preparing and controlling zigzag SiC nanoribbon spin devices in the future.
2025, 74 (16): 168503.
doi: 10.7498/aps.74.20250575
Abstract +
Radial magnetic vortices, characterized by their topological stability and nanoscale dimensions, are considered to be highly promising information carriers in magnetic electronic devices. However, traditional methods of reversing the polarity of radial magnetic vortices, which rely on magnetic fields or spin-polarized currents, encounter significant energy consumption problems. To address this challenge, this study proposes a novel field-free control scheme based on multiferroic heterostructures, consisting of a bicomponent nanomagnet (Terfenol-D/Ni), a heavy metal layer, and a piezoelectric layer. The intrinsic symmetry-breaking property of this structure effectively disrupts the circular symmetry of the radial magnetic vortex, which can make voltage-driven polarity reversal through magnetoelectric coupling effects. MuMax3-based multifield coupling simulations of electro-mechanical-magnetic interactions show that when the ratio of the bicomponent materials $ d _ { \rm T D } : d _ { \rm Ni } = 1 : 2 $ and the interfacial Dzyaloshinskii-Moriya interaction (DMI) coefficient (D) is in a range of $ 1 . 2\; {\rm m J / m ^ { 2 } } < D < 1 . 9\; {\rm m J / m ^ {2}} $, the system stably presents a radial magnetic vortex state. Within this DMI coefficient range, when the thickness of the bicomponent nanomagnet is less than 4 nm, an appropriate radius can be found to ensure that the ground state of the bicomponent nanomagnet is a radial magnetic vortex state. Particularly, when the thickness t = 1 nm, the radius of the bicomponent nanomagnet can remain in the radial magnetic vortex state in a range of 50 ± 10 nm. In addition, this study also verifies that square and elliptical bicomponent nanomagnets each have a ground state of radial magnetic vortex. When $ D = 1.7\;{\rm m J / m ^ {2}} $, only a 90 mV voltage pulse is required to achieve polarity reversal of the bicomponent nanomagnet, with a total energy consumption per bit Etotal of 5.6 aJ, which is six orders of magnitude lower than that from the traditional methods (reaching the aJ level). Through the simulation of transient magnetization dynamics and the analysis of energy evolution, this study reveals the physical mechanism of polarity reversal of radial magnetic vortices in this bicomponent multiferroic heterostructure: The energy competition in the bimaterial system driven by strain leads to the reconfiguration of magnetic moments, achieving the polarity reversal with efficient and ultra-low energy consumption. This scheme provides a new path for on-chip integration of magnetic vortex memory and opens up a new paradigm for designing non-current-driven “electric write” magnetic storage devices, which has significant application value in the field of low-power spintronics.

