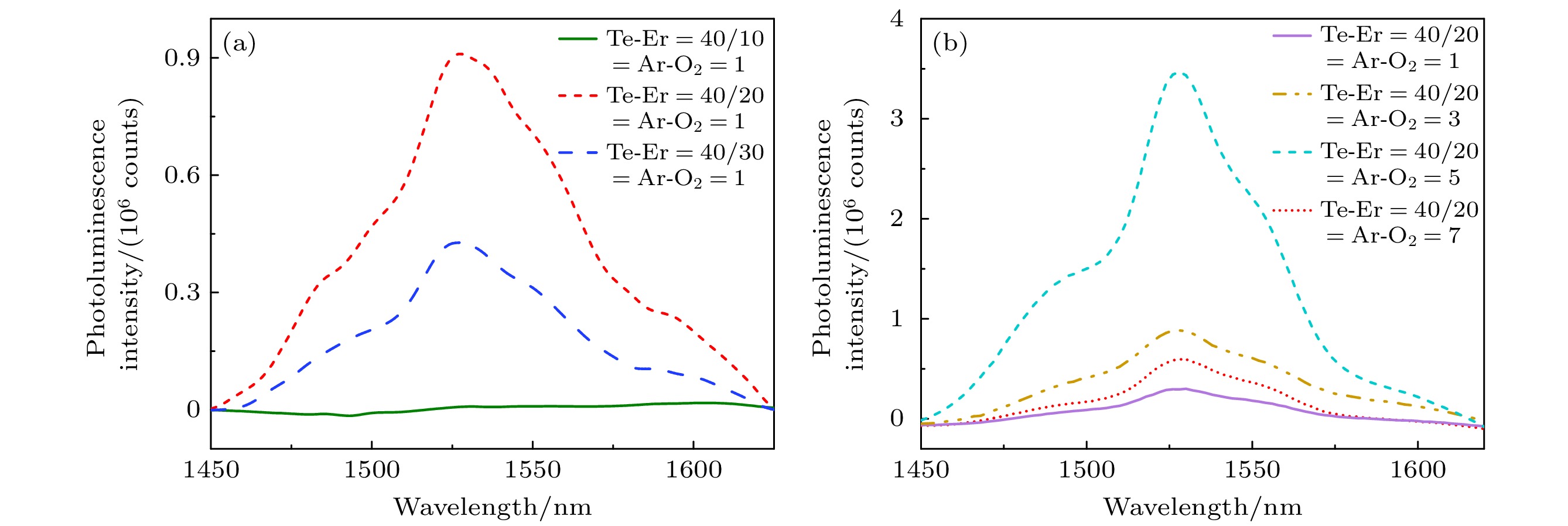
The rapid advancement of information technology has sparked an exponential demand for high-speed, large-capacity data transmission and processing. Traditional electronic communication systems face inherent limitations such as bandwidth constraints and electromagnetic interference, prompting people to shift toward photonic technologies. Integrated optical waveguides, as core components of on-chip photonic systems, enable efficient light confinement and manipulation at microscale dimensions, offering advantages in miniaturization, low power consumption, and high compatibility with existing optical communication infrastructure. Among these, erbium-doped waveguide amplifiers (EDWAs) have emerged as critical active devices for signal amplification in the 1550 nm communication band, leveraging the radiative transitions of Er3+ ions to achieve optical gain. Numerous studies have shown that the fluorescence performance of Er3+ is closely related to the factors such as doping method, preparation and annealing conditions. Besides, the performance of such amplifiers heavily relies on the choice of host materials, which must exhibit low optical loss, high rare-earth ion solubility, and compatibility with complementary metal-oxide-semiconductor (CMOS) fabrication processes. Tellurium dioxide (TeO2), with its high refractive index (2.1–2.4), broad transparency range (0.33–5 μm), exceptional chemical stability, and low phonon energy, has shown significant promise as a superior alternative to traditional materials such as silicon nitride (Si3N4) and aluminum oxide (Al2O3). This study focuses on the development of erbium-doped TeO2 (Er:TeO2) ridge waveguides for on-chip optical amplification. The Er:TeO2 thin films are deposited via radio frequency (RF) magnetron sputtering using high-purity Te and Er targets. The key deposition parameters, including Er2O3 target sputtering power (10–30 W), Ar/O2 gas flow ratio (1∶1 to 5∶1), and post-deposition annealing conditions (200–300 ℃ under oxygen atmosphere), are systematically optimized to improve photoluminescence properties. Scanning electron microscopy (SEM) and fluorescence spectroscopy are employed to evaluate film morphology and emission characteristics. A bilayer waveguide structure is designed to mitigate surface roughness induced by direct etching of the Er-doped layer. The lower Er:TeO2 active layer (500 nm in thickness) and upper undoped TeO2 cladding layer (150 nm in thickness) are patterned by using ultraviolet lithography and plasma etching (O2/Ar/CHF3 gas mixture), achieving a ridge width of 2 μm. Optical confinement and mode field distribution are simulated by using finite-difference eigenmode (FDE) analysis, confirming effective light-matter overlap within the Er-doped region. Experimental results reveal that the optimal Er:TeO2 film, deposited at an Er target power of 20 W and an Ar/O2 flow ratio of 5∶1, and annealed at 250 ℃ for 10 hours, exhibits a photoluminescence intensity of 3.5 × 106 photon counts at 1545 nm–nearly two orders of magnitude higher than non-annealed samples. Oxygen annealing effectively activates Er3+ ions while passivating oxygen vacancies, which is critical for minimizing non-radiative recombination. Excessive Er doping (30 W in sputtering power) leads to ion clustering and fluorescence quenching, highlighting the importance of controlled dopant concentration. Surface morphology analysis via SEM and optical microscopy confirms smooth, crack-free films with minimal particulate contamination, which is essential for low-loss waveguide fabrication. Waveguide performance is characterized by using the cut-back method at 1310 nm, yielding a propagation loss of 0.607 dB/cm for a 0.5 cm-long device. However, a coupling loss of 6.34 dB/facet is observed due to rough end-faces from mechanical dicing, highlighting the need for post-fabrication polishing or anti-reflective coatings. Amplification tests at 1545 nm under 980 nm pumping demonstrate an internal gain of 7.2 dB/cm at a pump power of 88.45 mW, with gain saturation observed beyond 90 mW. The broadband emission spectrum (80 nm full-width at half-maximum) further validates Er:TeO2’s potential for wideband amplification in the C-bands. In summary, this study elucidates the advantages of erbium-doped tellurium oxide (Er:TeO2) ridge waveguides as on-chip optical amplifiers, optimizes their deposition and annealing protocols, and designs a bilayer waveguide structure. The achieved low propagation loss and significant internal gain highlight the compatibility of materials with photonic integrated circuits (PICs). Future efforts will focus on improving the quality of waveguide endface, enhance pump efficiency, and scaling device lengths to achieve practical net gains for telecommunications and quantum photonic applications. These advancements render Er:TeO2 a cornerstone material for next-generation compact, high-performance photonic systems.