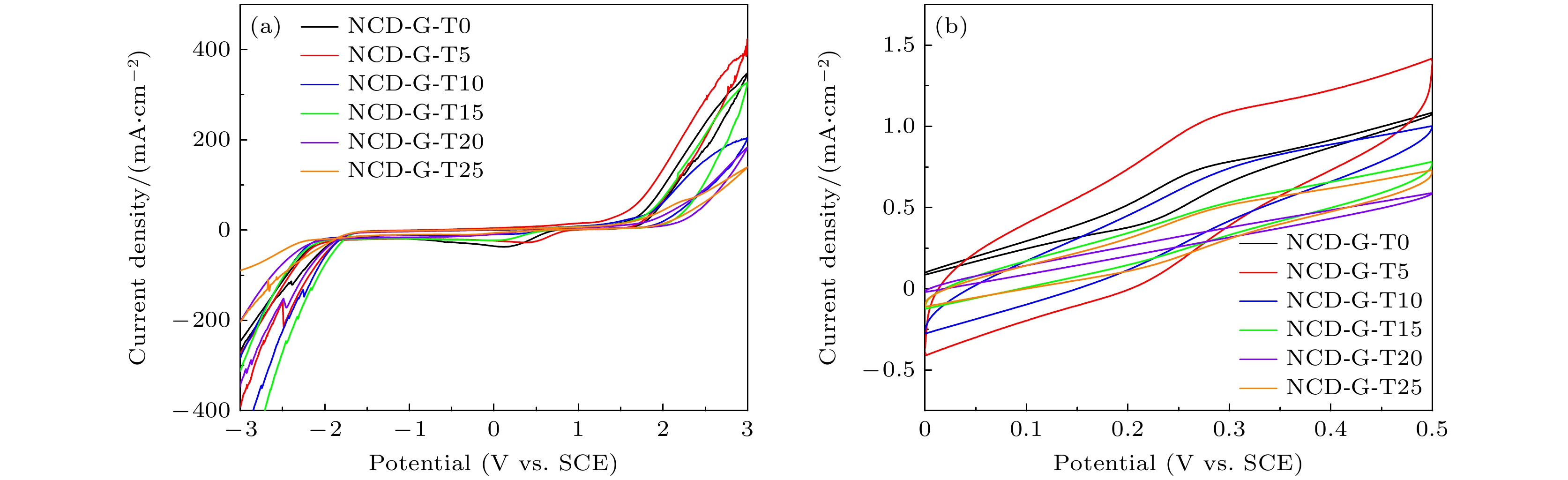
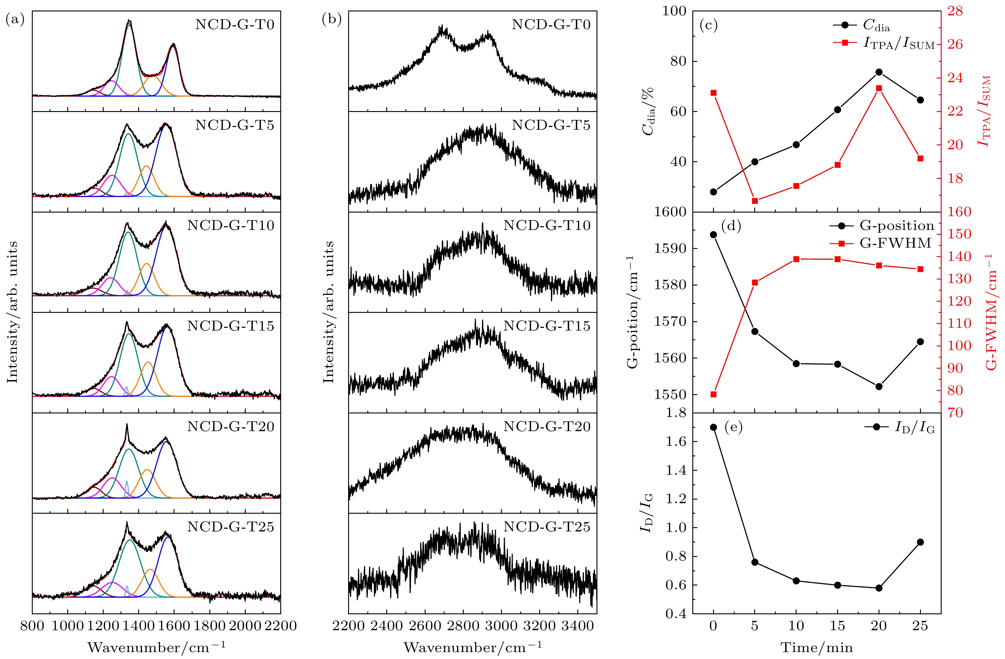
The diamond/graphene composite electrode has garnered significant attention due to its ability to synergistically combine the low background current and broad potential window of the diamond component with the high electrochemical activity of the graphitic component. In this study, argon-oxygen plasma etching is employed to treat nanodiamond/graphite composite films, and the surface structure of the few-layer graphene-coated nanodiamond is obtained by adjusting the etching time to control the number of graphite layers on the surface of the film, and then the surface layer of the few-layer graphene-coated nanodiamond and the bottom layer with good conductivity with more graphite components are constructed to form a double-layer structure. The experimental findings demonstrate that when the argon/oxygen plasma treatment time reaches 5 min, the graphite components on the surface layer of the film are etched into a structure of small-layer graphite coated nanodiamond, which increases the resistivity (2918.3 Ω·cm) and potential window (3.43 V). In addition, the surface state is changed from hydrogen termination to oxygen termination, so that the diamond grain has a positron affinity potential, and the electrochemical active area increases from 387 to 2893 μC/cm2. As the treatment time continues to extend to 20 min, the number of graphite layers on the surface of the film decreases, the diamond phase content increases, the resistivity of the film increases, and the electrochemically active area decreases. When the etching time reaches 25 min, the graphite layer under the composite film is exposed, and the graphite on the surface of the diamond is transformed into few-layer graphene, forming a double-layer structure of the top layer of few-layer graphene-coated diamond and the bottom layer of graphite, which synergistically improves the electrochemical activity (775 μC/cm2), reduces the resistivity of the composite film (1060.0 Ω·cm) and broadens the potential window (3.50 V). This work provides a novel plasma-etching strategy for fabricating diamond/graphene hybrid electrodes, and new insights into using the complementary advantages of these carbon allotropes for advanced electrochemical applications.