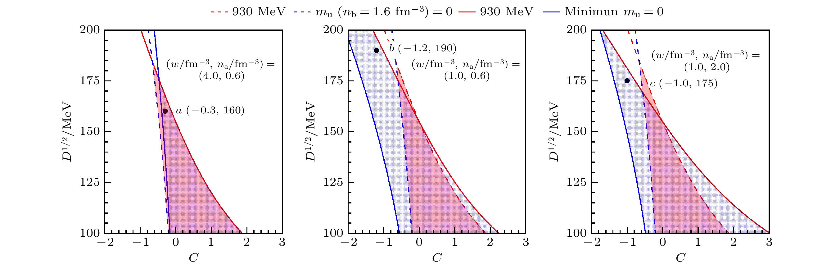
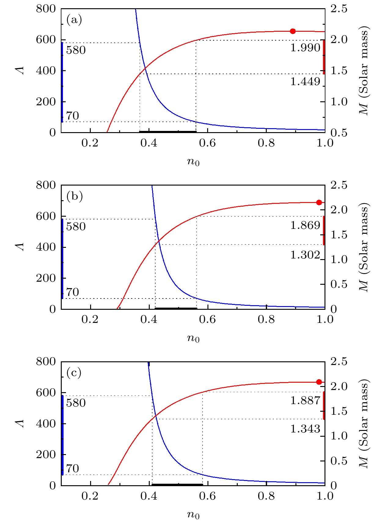
Strange quark matter (SQM) is considered to be the true ground state of the strong interactions, but recent studies have shown that ordinary quark matter (u-d quark matter, u-d QM) may also be the ground state of the strong interactions. By inserting an attenuation factor of Woods-Saxon potential type into the quark mass scaling, the resulting calculations of equation of state of u-d QM based on equiv-particle model show that the stability window of model parameters for stable u-d QM can be significantly enlarged with proper model parameters, which can be seen in the following figure. In this figure, the red solid and dashed lines represent the curves of $ \sqrt{D} $ versus C with and without attenuation factor, respectively, when the minimum value of the average energy per baryon is set to 930 MeV; the blue solid and dashed lines represent the curves of $ \sqrt{D} $ versus C with and without attenuation factor, respectively, when $ m_\mathrm{u}=0 $. Thereby, the red and blue shaded areas are the absolute stable regions of u-d QM without and with attenuation factor in mass scaling. It is obvious that with the attenuation factor and proper model parameters, the absolute stable region (blue shaded area) for u-d QM can be much larger than that without the attenuation factor (red shaded area). The introduction of the attenuation factor allows the maximum mass of ordinary quark star (u-d quark star, u-d QS) to be larger than twice the solar mass, while the tidal deformability satisfies $ \varLambda_{1.4} \in [70,580] $, which is consistent with the current astronomical observations. Therefore, the pulsars may be essentially the u-d QSs. This result provides a possibility for understanding the nature of pulsars, and it also further deepens the understanding of the strong interactions.