| [1] |
LAN Heng, LI Jiadong, CAO Yuhao, SHEN Junfeng, LI Jiacheng, XU Yuhong, SUN Tengfei, HE Mengyuan, FENG Yuxuan, WU Danni, CHENG Jun, LIU Haifeng, SHIMIZU Akihiro, WANG Xianqu, XUAN Weimin, ZHANG Meiyong, ZOU Qian, LUO Jun, YANG Quan, ZHANG Xin, LIU Hai, HUANG Jie, HU Jun, SHAO Junren, LI Wei, LI Yucai, ZHOU Hong, WANG Jie, SU Xiang, TANG Cangjian. Development and preliminary application of the high-frequency magnetic probe array on the quasi-axisymmetric stellarator CFQS-T. Acta Physica Sinica,
2025, 74(17): .
doi: 10.7498/aps.74.20250957
|
| [2] |
LI Dan, LIU Haifeng. Influence of coil deformation on magnetic topology structure in Chinese first quasi-toroidally symmetric stellarator. Acta Physica Sinica,
2025, 74(5): 055203.
doi: 10.7498/aps.74.20241606
|
| [3] |
XU Jianfeng, WANG Jingtao, XIA Chengjun. Research on u-d quark stars and their tidal deformaions under new mass scaling. Acta Physica Sinica,
2025, 74(16): 162101.
doi: 10.7498/aps.74.20250535
|
| [4] |
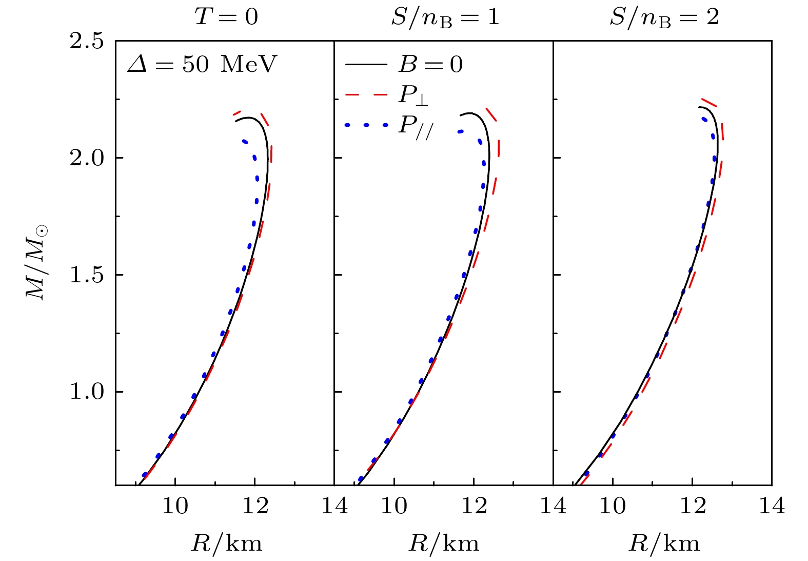
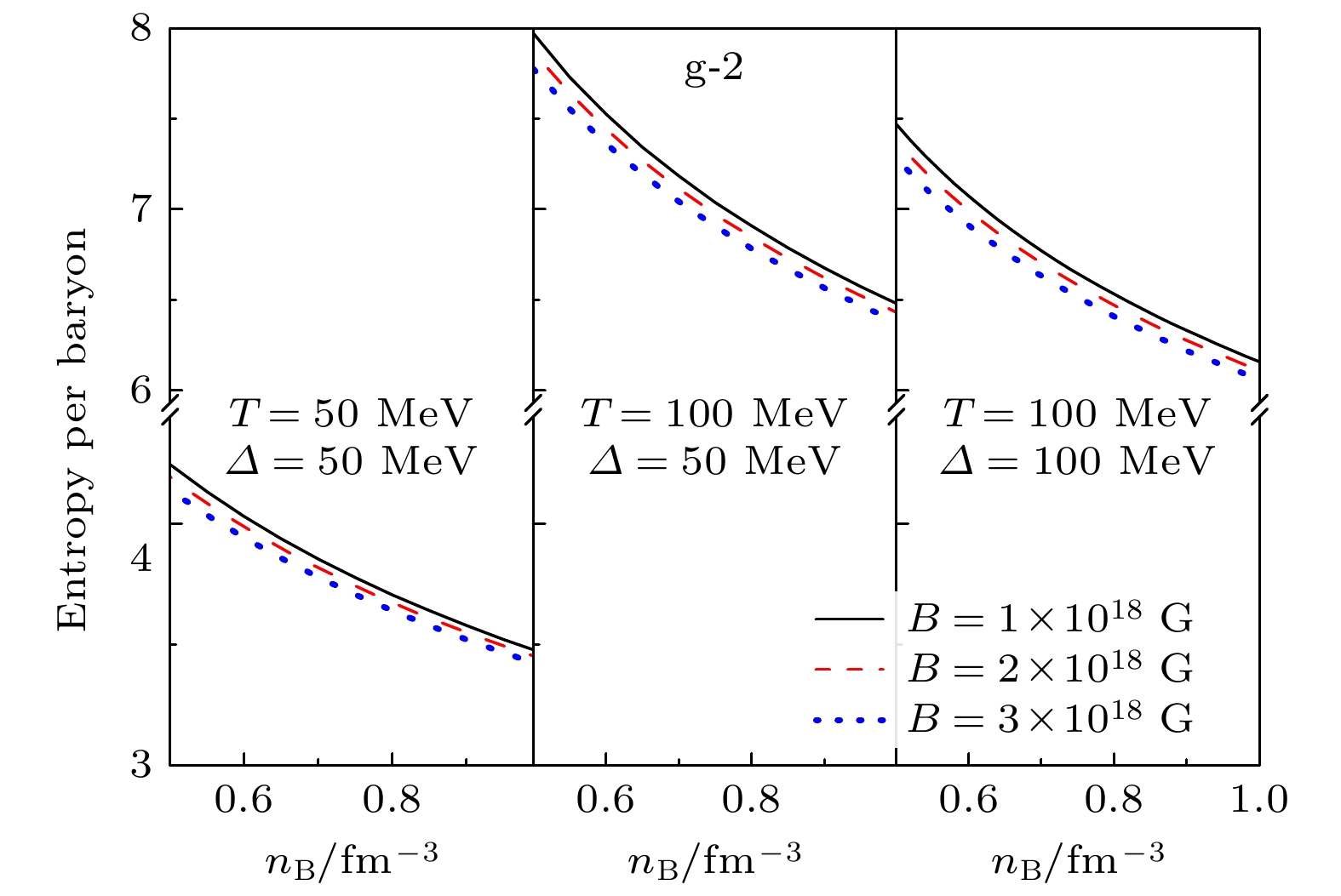
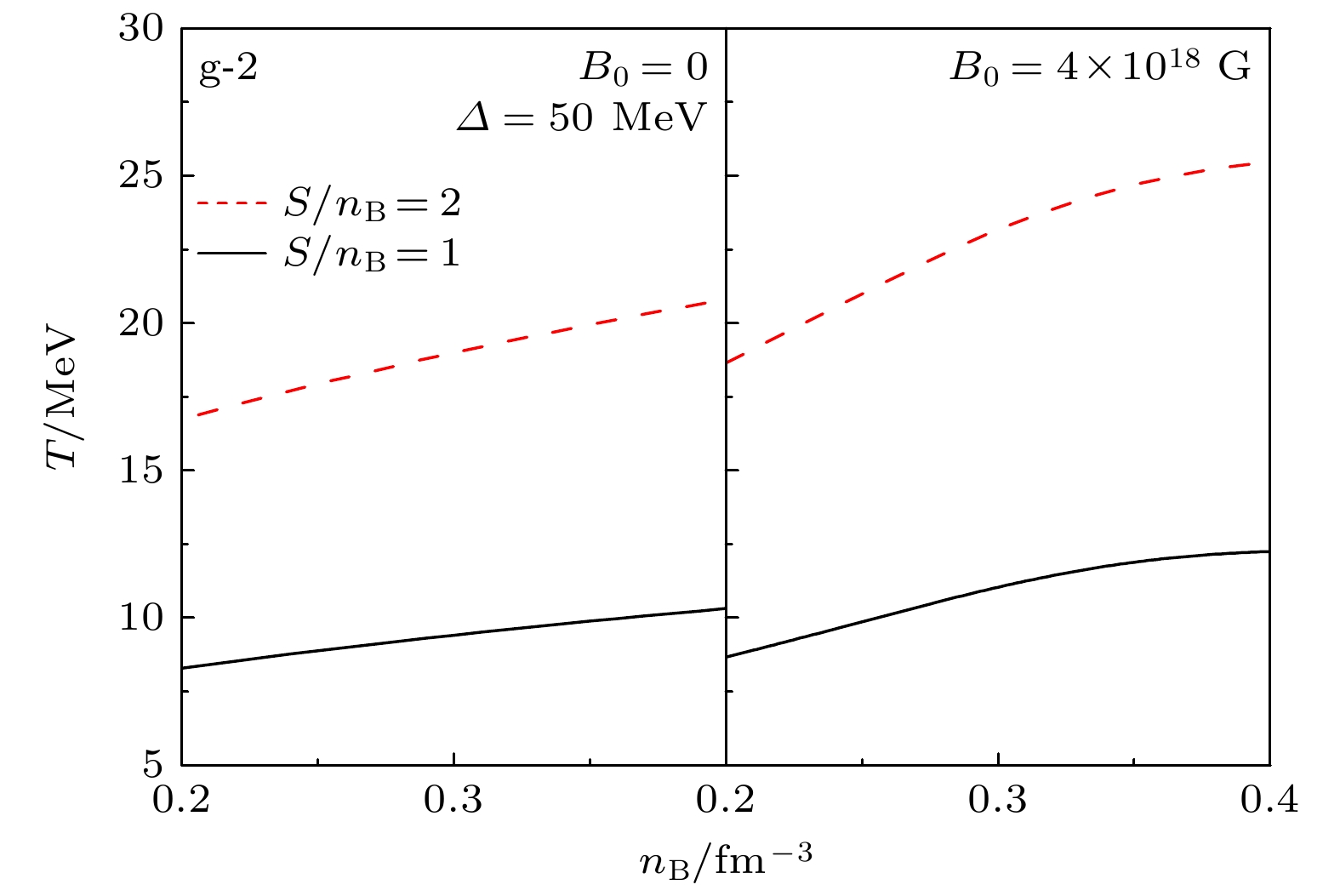
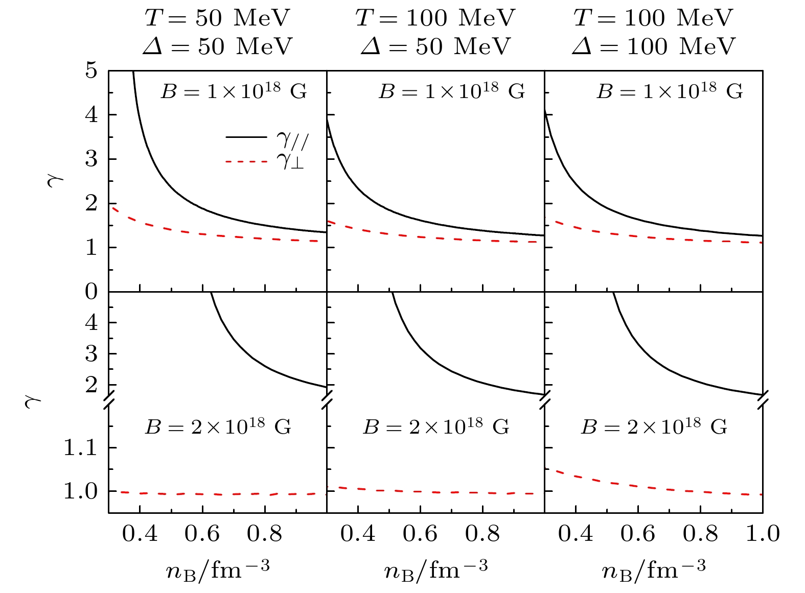
CHU Pengcheng, WANG Jiaojiao, LIU Yuheng, LIU He, LIU Hongming. Properties of quark matter and quark stars at zero temperature or under strong magnetic fields within MIT bag model. Acta Physica Sinica,
2025, 74(19): .
doi: 10.7498/aps.74.20250898
|
| [5] |
Xing Ye, Li Na, Yang Ling-Bin, Hu Xiao-Hui. Production of single charm pentaquark based on molecular configuration. Acta Physica Sinica,
2024, 73(13): 131401.
doi: 10.7498/aps.73.20240447
|
| [6] |
Chu Peng-Cheng, Liu He, Du Xian-Bin. Quark matter and quark star in color-flavor-locked phase. Acta Physica Sinica,
2024, 73(5): 052101.
doi: 10.7498/aps.73.20231649
|
| [7] |
Su Xiang, Wang Xian-Qu, Fu Tian, Xu Yu-Hong. Suppression mechanism of equilibrium magnetic islands in CFQS low-$\boldsymbol \beta$ plasma. Acta Physica Sinica,
2023, 72(21): 215205.
doi: 10.7498/aps.72.20230546
|
| [8] |
Dong Ai-Jun, Gao Zhi-Fu, Yang Xiao-Feng, Wang Na, Liu Chang, Peng Qiu-He. Modified pressure of relativistic electrons in a superhigh magnetic field. Acta Physica Sinica,
2023, 72(3): 030502.
doi: 10.7498/aps.72.20220092
|
| [9] |
Wang Yi-Nong, Chu Peng-Cheng, Jiang Yao-Yao, Pang Xiao-Di, Wang Sheng-Bo, Li Pei-Xin. Proto-magnetars within quasiparticle model. Acta Physica Sinica,
2022, 71(22): 222101.
doi: 10.7498/aps.71.20220795
|
| [10] |
Gong Wu-Kun, Guo Wen-Jun. Hadron-quark deconfinement phase transition in hybrid stars. Acta Physica Sinica,
2020, 69(24): 242101.
doi: 10.7498/aps.69.20200925
|
| [11] |
Chen Jian-Ling, Wang Hui, Jia Huan-Yu, Ma Zi-Wei, Li Yong-Hong, Tan Jun. Conductivity of neutron star crust under superhigh magnetic fields and Ohmic decay of toroidal magnetic field of magnetar. Acta Physica Sinica,
2019, 68(18): 180401.
doi: 10.7498/aps.68.20190760
|
| [12] |
Jirimutu, Aodeng, Xue Kang. Construction of Breit quark potential in coordinate space and mass splits of meson and quarkonium. Acta Physica Sinica,
2018, 67(9): 091201.
doi: 10.7498/aps.67.20172155
|
| [13] |
Liu Xiang-Yuan, Qian Xian-Mei, Zhu Wen-Yue, Liu Dan-Dan, Fan Chuan-Yu, Zhou Jun, Yang Huan. Numerical calculation and discussion on return photons of polychromatic laser guide stars by a laser beam with 330 nm wavelength. Acta Physica Sinica,
2018, 67(1): 014205.
doi: 10.7498/aps.67.20171025
|
| [14] |
Huang Jin-Shu, Luo Peng-Hui, Lu Gong-Ru. Bottom quark pair production in γγ collision. Acta Physica Sinica,
2009, 58(12): 8166-8173.
doi: 10.7498/aps.58.8166
|
| [15] |
Lai Xiang-Jun, Luo Zhi-Quan, Liu Jing-Jing, Liu Hong-Lin. Quark phase transition in supernova and the effect of quark mass on the process. Acta Physica Sinica,
2008, 57(3): 1535-1541.
doi: 10.7498/aps.57.1535
|
| [16] |
Chen Hong, Mei Hua, Shen Peng-Nian, Jiang Huan-Qing. Heavy quarkonium mass spectra in a relativistic quark model. Acta Physica Sinica,
2005, 54(3): 1136-1141.
doi: 10.7498/aps.54.1136
|
| [17] |
DAI ZI-GAO, LU TAN. COOLING OF A STRANGE STAR. Acta Physica Sinica,
1994, 43(2): 198-204.
doi: 10.7498/aps.43.198
|
| [18] |
DAI ZI-GAO, LU TAN, PENG QIU-HE. PHASE TRANSITION OF NONSTRANGE-STRANGE QUARK MATTER IN THE INTERIOR OF A NEUTRON STAR. Acta Physica Sinica,
1993, 42(8): 1210-1215.
doi: 10.7498/aps.42.1210
|
| [19] |
XIE FENG-XIAN. CALCULATION OF THE SPECTRA FOR TOPPONIUM WITH A NONZERO GLUON EFFECTIVE MASS. Acta Physica Sinica,
1987, 36(6): 778-784.
doi: 10.7498/aps.36.778
|
| [20] |
WANG QING-DE, LU TAN. DAMPING EFFECTS OF WEAK PROCESSES IN PION CONDENSATE ON NEUTRON STAR VIBRATION. Acta Physica Sinica,
1985, 34(7): 892-900.
doi: 10.7498/aps.34.892
|