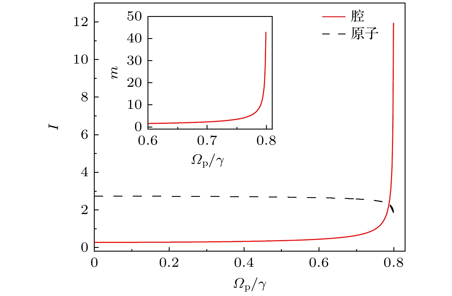
Cavity quantum electrodynamics (QED) serves as a fundamental platform for studying light-matter interactions at a single-particle level and has been extensively investigated in fundamental physics and quantum information. Recent development of parametrically squeezed techniques has demonstrated that they have the remarkable ability to exponentially enhance coherent atom-cavity coupling. However, the full extent to which these techniques can manipulate quantum optical phenomena requires further exploration. This work systematically investigates the influence of optical parametric amplification on single-photon excited atom-cavity systems within a parametrically driven cavity. In the proposed model, optical parametric amplification converts the driving photons into a squeezed cavity mode, which enhances the atom-cavity interaction into the strong coupling region. Through analytical derivation of atomic and cavity radiation spectra, we demonstrate that the optical parametric amplification induces splitting of atomic radiation spectra while exerting negligible effects on spectral intensity. Conversely, the cavity transmission spectrum exhibits both pronounced splitting and nonlinear intensity amplification. Notably, as driving field intensity approaches a critical intensity regime, the cavity radiation spectrum intensity is significantly enhanced. The underlying mechanism is parametric driving amplification, which converts the driving light into a squeezed cavity mode. When this squeezed mode is mapped back to the fundamental mode of the cavity through Bogoliubov squeezing transformation, the pump photons within the squeezed cavity mode are converted into the photons that contribute to the radiation spectrum of the cavity, thereby amplifying its intensity. This parametric enhancement method not only deepens the basic understanding of light-matter interactions, but also establishes a practical framework for improving the single-photon detection sensitivity in cavity-based quantum systems. These findings have broad prospects for quantum sensing and information processing applications.