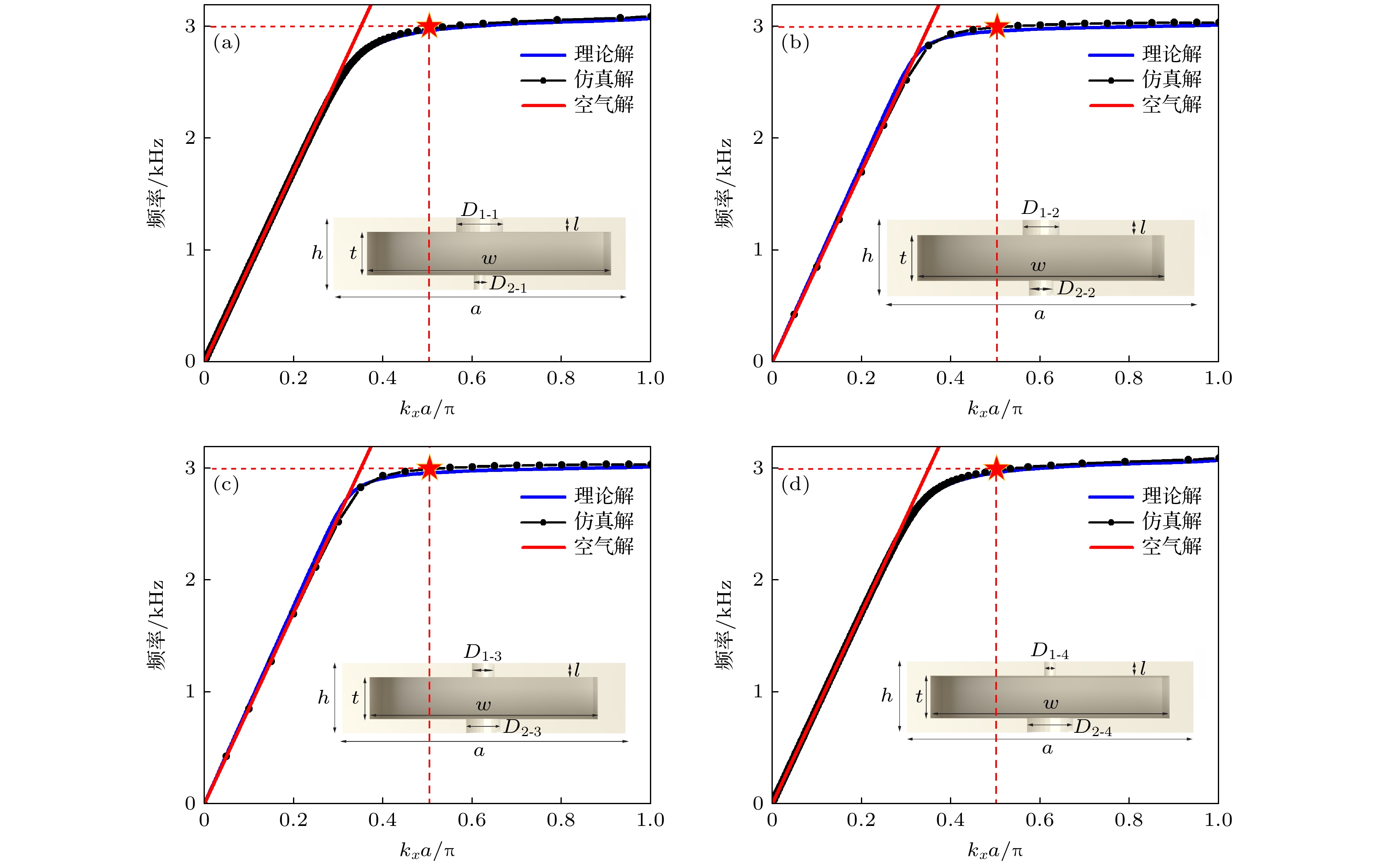
In recent years, people have increased their efforts to use spoof surface acoustic waves (SSAWs) to achieve subwavelength-scale modulation. However, obstacles on the transmission path often cause strong scattering of SSAWs, which limits their practical applications in communications and other fields. In this paper, we propose a new type of acoustic metasurface that supports the SSAWs’ propagation on both sides and design an acoustic stealth device based on such a metasurface. This metasurface is composed of periodically arranged Helmholtz resonators with bidirectional apertures, whose unique structure enables SSAWs to achieve interlayer transitions between the top surface and bottom surface. Remarkably, the total thickness of the structure is only 1/20 of the incident wavelength, exhibiting obvious subwavelength characteristics. We theoretically calculate the dispersion curve of SSAWs, and establish the dependency relationship between the propagation wave vector and the structural parameters. By optimizing the structural parameters of the double-sided metasurface, the wave vector matching during propagation is ensured, thereby achieving efficient transitions with minimal losses between the top and bottom surfaces. We construct a “sound-transparent path” through numerical simulations, allowing waves to bypass obstacles without scattering, and demonstrate that thermoviscous effects exert a negligible influence on transmission efficiency. Furthermore, an experiment is carried out to validate this metasurface’s dual-sided wave-manipulation capability, which demonstrates that the SSAWs maintain their wavefronts during interfacial propagation, showing excellent robustness against large-sized obstacles. The proposed stealth device possesses notable advantages, including a lightweight structure and high flexibility, providing new research perspectives and technical pathways for manipulating SSAWs and designing acoustic devices on a deep subwavelength scale.