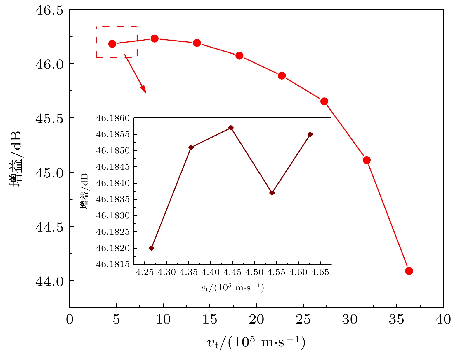
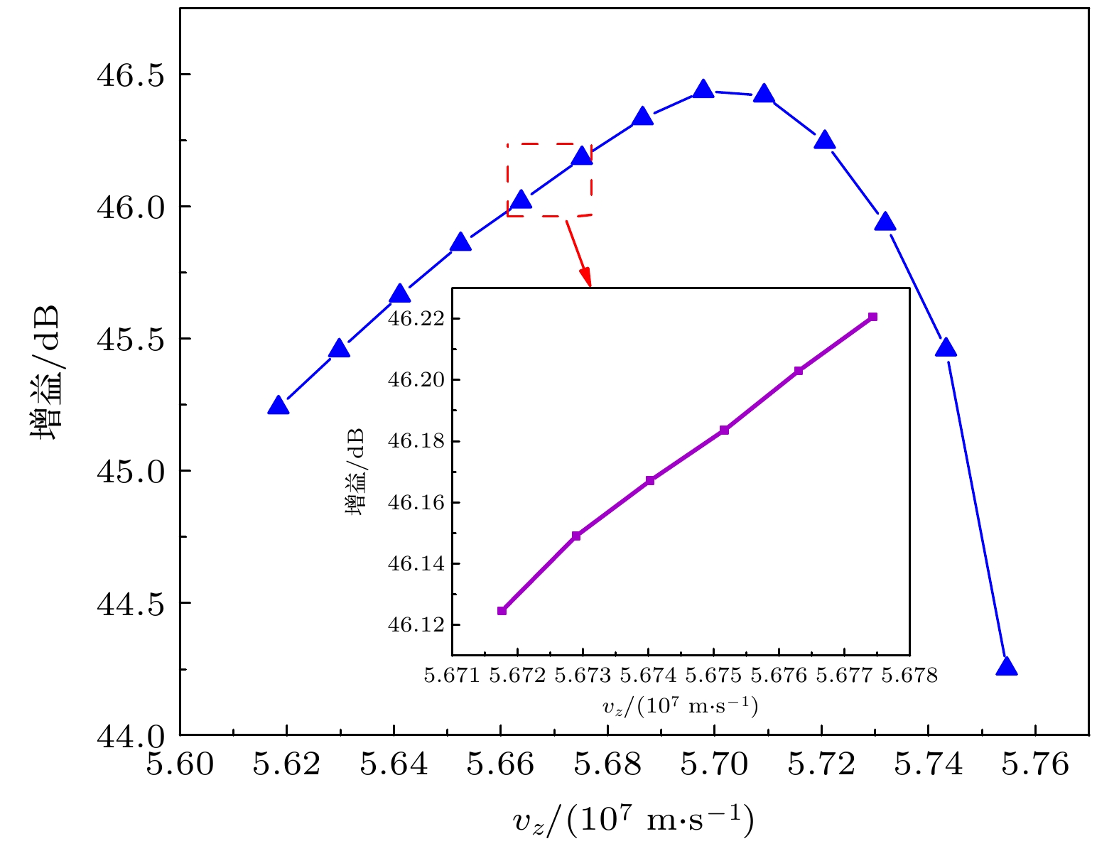
In order to improve the stability and reliability of the traveling wave tube (TWT), the optimization and design of the electron beam have become a key part in vacuum electronic devices. Laminar properties are a key parameter for evaluating the quality of the electron beam. The transverse displacement of the particles in the laminar electron beam is proportional to the transverse velocity. In the phase space distribution image of non-laminar properties electrons at a certain position, there is no linear relationship between the transverse displacement and the transverse velocity. The energies of particles in the electron beam are different, so the particles have different initial velocities. The particle source at the electron beam waist in the electron gun is used as a particle source for the beam wave interaction simulation. The output characteristics of the TWT more closely resemble the actual ones. A method of simplifying the particles at the electron gun beam waist into macroparticles using the K-means clustering algorithm is proposed. The macroparticle is used as a particle source in the TWT interaction zone for simulating the beam wave interaction, which reduces the simulation time from 5.53 to 0.65 h and improves the simulation efficiency. Compared with the original particle, both the simplified particle generated by the K-means clustering algorithm and the simplified particle generated by the mesh model greatly reduce the computational load of the interaction zone simulation. Compared with the results from the grid model, the simulation results of the beam-wave interaction of macroparticles, obtained by using the K-means clustering algorithm, are closer to those of the beam-wave interaction, obtained by using the original particles. By adjusting the cathode divergence angle and the distance between the anode and cathode of the electron gun of a certain type of TWT, the simulation results show that when the divergence angle is adjusted within a range of 0°–1°, the larger the divergence angle, the larger the radial root mean square emittance value, the worse the laminar properties of the electron beam, and the power of the output signal of the TWT decreases. When the distance between the anode and cathode is adjusted within a range of 0.8–1.6 mm, the radial root mean square emittance decreases from 2.51 to 2.22 mm·mrad, the laminar properties of the electron beam are improved. The output power of the TWT increases from 328.34 to 414.10 W, and the operating frequency bandwidth with an output power greater than 300 W is expanded from 3 to 5 GHz. Therefore, the particle simplification model using the K-means clustering algorithm improves the simulation efficiency of the beam wave interaction. Based on the influence of the laminar properties of the electron beam on the performance of the TWT, the structural parameters of the electron gun can be optimized.