Vol. 74, No. 18 (2025)
2025-09-20
SPECIAL TOPIC—AI + Physical Science
EDITOR'S SUGGESTION
2025, 74 (18): 188101.
doi: 10.7498/aps.74.20250497
Abstract +
GENERAL
EDITOR'S SUGGESTION
2025, 74 (18): 180201.
doi: 10.7498/aps.74.20250673
Abstract +
EDITOR'S SUGGESTION
2025, 74 (18): 180301.
doi: 10.7498/aps.74.20250599
Abstract +
EDITOR'S SUGGESTION
2025, 74 (18): 180302.
doi: 10.7498/aps.74.20250740
Abstract +
2025, 74 (18): 180303.
doi: 10.7498/aps.74.20250692
Abstract +
The ground-state topological properties of ultracold atoms in composite scalar-Raman optical lattices are systematically investigated by solving the two-component Gross-Pitaevskii equation through the imaginary time evolution method. Our study focuses on the interplay between scalar and Raman optical lattice potentials and the role of interatomic interactions in shaping real-space and momentum-space structures. The competition between lattice depth and interaction strength gives rise to a rich phase diagram of ground-state configurations. In the absence of Raman coupling, atoms in scalar optical lattices exhibit topologically trivial periodic density distributions without forming vortices. When only Raman coupling exists, a regular array of vortices of equal size will appear in one spin component, while the other spin component will remain free of vortices. Strikingly, when scalar and Raman lattices coexist, the system develops complex vortex lattices with alternating large and small vortices of opposite circulation, forming a staggered vortex configuration in real space. In momentum space, the condensate wave function displays nontrivial diffraction peaks carrying a well-defined topological phase structure, whose complexity increases with the depth of the optical potentials increasing. In spin space, we observe the emergence of a lattice of half-quantized skyrmions (half-skyrmions), each carrying a topological charge of ±1/2. These topological textures are confirmed by calculating the spin vector field and integrating the topological charge density. Our results demonstrate how the combination of scalar and Raman optical lattices, together with tunable interactions, can induce nontrivial real-space spin textures and momentum-space topological features. These findings offers new insights into the controllable realization of topological quantum states in cold atom systems.
EDITOR'S SUGGESTION
2025, 74 (18): 180401.
doi: 10.7498/aps.74.20250644
Abstract +
NUCLEAR PHYSICS
EDITOR'S SUGGESTION
2025, 74 (18): 182401.
doi: 10.7498/aps.74.20250633
Abstract +
To describe the projectile-target interaction in heavy-ion collision, the traditional optical model is improved and a corresponding optical model for heavy-ion collisions is established in this work The program APOMHI is developed accordingly. In heavy-ion collisions, the mass of the projectile is comparable to the mass of target nucleus. Therefore, the projectile and target nucleus must be treated equally. The potential field for their relative motion must arise from an equivalent contribution of both nuclei, not just from the target nucleus. Consequently, the angular momentum coupling scheme must adopt L - S coupling, instead of j - j coupling. The projectile spin i and target spin I first couple to form the projectile-target system spin S (which varies between $ \left| {I - i} \right| $ and $ i + I $). Then, the spin S of this system couples with the orbital angular momentum L of relative motion, forming a total angular momentum J . Thus, the radial wave function UlSJ (r) involves three quantum numbers: l , S , and J , while traditional optical model only involves l and j . Furthermore, since the mass of projectile is similar the mass of target, the form of the optical model potential is symmetrical relative to the projectile and target. The projectile nucleus and the target nucleus are still assumed to be spherical, and their excited states are not considered. The projectile may be lighter or heavier than the target, but they cannot be identical particles. By using this optical model program APOMHI, the elastic scattering angular distributions and compound nucleus absorption cross sections for heavy-ion collisions can be calculated. Taking for example a series of heavy-ion collision reactions with 18O as the projectile nucleus, a corresponding set of universal optical potential parameters is obtained by fitting experimental data. The comparisons show that the theoretical calculations generally accord well with the available experimental data. Here, the results for fusion cross-sections and elastic scattering angular distributions using several representative target nuclei (lighter, comparable in mass, heavier, and heavy compared to the projectile nucleus) are taken for example. Specifically, the fusion cross-section results correspond to targets 9Be, 27Al, 63Cu and 150Sm, while the elastic scattering angular distributions correspond to targets 16O, 24Mg, 58Ni, and 120Sn.
EDITOR'S SUGGESTION
2025, 74 (18): 182901.
doi: 10.7498/aps.74.20250655
Abstract +
ATOMIC AND MOLECULAR PHYSICS
2025, 74 (18): 183101.
doi: 10.7498/aps.74.20250440
Abstract +
Electroosmosis drives a large slip velocity at the interface by altering the electrokinetic double layer effect at the fluid-solid interface, thereby generating high shear rates within the channel. In this paper, molecular dynamics simulations are used to construct an electroosmotic flow nanochannel model, and the fluid flow characteristics and wall slip reduction properties within graphene charged-wall nanochannels are investigated. The results show that the electroosmotic flow changes the structure of the bilayer to increase the mobility of its diffusion layer, and at the same time, the ions in the diffusion layer under the action of the applied electric field undergo directional migration and drive the overall fluid flow through the viscous effect, which enhances the mobility performance. After the introduction of ions, Na+ is adsorbed at the wall surface, which weakens the adsorption force between the fluid and the wall surface and enhances the driving force of the fluid in the confined domain space, thus increasing the slip length and flow rate. Finally, by modulating the charge size on the upper and lower wall surfaces, asymmetric channel wall charges are formed. The electric field gradient superimposed on the applied electric field further enhances the driving force of ions, changes the distribution of the of Na+ adsorption layer and the migration behavior of Cl–, thereby increasing the transport of the solution in the channel. Therefore, in this paper, a method is proposed to realize the ultrafast transport of solution in the channel by modulating the asymmetric wall charge of graphene, successfully achieving the slip reduction effect of the electroosmotic flow of solution in the graphene channel. A theoretical basis is laid for the fast and energy-saving transportation of microfluidics in the nano-limited space.
EDITOR'S SUGGESTION
2025, 74 (18): 183102.
doi: 10.7498/aps.74.20250684
Abstract +
The design of shaping pulse fields for controlling molecular orientation is of great importance in fields of stereochemical reactions, strong-field ionization, and quantum information processing. Traditional quantum optimal control algorithms typically solve the problem of molecular orientation in an infinite-dimensional rotational space, but they often overlook the constraints imposed by experimental limitations. In this work, a multi-objective and multi-constraint quantum optimal control algorithm is proposed to design a pulse field that conforms to the constraints of pulse area and energy. Specifically, the algorithm enforces a zero pulse area condition to eliminate the static field components and maintains constant pulse energy, ensuring compatibility with realistic experimental setups. Under these constraints, the algorithm optimizes the population and phase distribution of a selected number of low-lying rotational states in ultracold molecules to achieve maximum molecular orientation. The effectiveness of the proposed algorithm is demonstrated through numerical studies involving two- and three-state target subspaces, where the creation of a coherent superposition state with optimized population and phase distribution leads to the desired molecular orientation. Furthermore, its scalability is validated by applying it to a more complex 17-state subspace, where a maximum orientation value of 0.99055 is obtained, approaching the global optimal value of 1. Our findings demonstrate that by effectively managing these constraints, the influence of rotational states in the non-target state subspace can be substantially suppressed. The time-frequency analysis of the optimized pulses, combined with the Fourier transform spectrum of the time-dependent degree of orientation, indicates that the maximum molecular orientation is mainly achieved through ladder-climbing excitation of multi-color pulse fields, with the contributions from highly excited states being minimal. This work provides a valuable reference for designing experimentally feasible pulse fields using multi-constraint optimization algorithms, which helps to precisely control a limited number of rotational states to achieve maximum molecular orientation.
EDITOR'S SUGGESTION
2025, 74 (18): 183103.
doi: 10.7498/aps.74.20250812
Abstract +
COVER ARTICLE
COVER ARTICLE
2025, 74 (18): 183201.
doi: 10.7498/aps.74.20250659
Abstract +
With the advancement of synchrotron and free-electron laser, X-ray quantum optics has emerged as a novel frontier for exploring light-matter interactions at high photon energies. A significant challenge in this field is achieving well-defined two-level systems through atomic inner-shell transitions, which are often hindered by broad natural linewidths and local electronic structure effects. This study aims to explore the potential of tungsten disilicide (WSi2) as a two-level system for X-ray quantum optics applications. Utilizing high-resolution resonant inelastic X-ray scattering (RIXS) near the W-L3 edge, in this work, the white line of bulk WSi2 is experimentally distinguished, overcoming the spectral broadening caused by short core-hole lifetime. The measurements are conducted by using a von Hamos spectrometer at the GALAXIES beamline of the SOLEIL synchrotron. The results reveal a single resonant emission feature with a fixed energy transfer, confirming the presence of a discrete 2p-5d transition characteristic of a two-level system. Additional high-resolution XAS spectra, obtained via high energy resolution fluorescence detection method and reconstructed from off-resonant emission (free from self-absorption effect for bulk WSi2 sample) method, further support the identification of a sharp white line. These findings demonstrate the feasibility of using WSi2 as a model system in X-ray cavity quantum optics and establish RIXS as a powerful technique to resolve fine inner-shell structures.
ELECTROMAGNETISM, OPTICS, ACOUSTICS, HEAT TRANSFER, CLASSICAL MECHANICS, AND FLUID DYNAMICS
2025, 74 (18): 184101.
doi: 10.7498/aps.74.20250636
Abstract +
In this paper, a design method is presented for frequency-phase composite reconfigurable metasurfaces. N PIN diodes are introduced into the metasurface unit. The on-off states of these PIN diodes regulate the resonance characteristics of the unit, constructing 2N switchable reflection phase states. After optimizing structural parameters, these reflection phase curves show that there is a 180° phase difference between different frequency bands. By regulating frequency and phase regulation, the operational bandwidth of reconfigurable phase-shifting metasurface is effectively expanded. Based on this method, an ultra-wideband 1-bit phase-shifting metasurface unit is designed. Its 1-bit phase regulation band covers 5.4–13.0 GHz, with a relative bandwidth of 82.6%. Lumped capacitors are adopted and their positions are optimized to precisely adjust current distribution, enabling low-loss performance of the unit. The unit with a thickness of only 0.09 λ features low profile, low cost, and low loss. A 16×16 unit array is further constructed. Through coding regulation, the metasurface can generate scattering-controllable beams and orbital angular momentum vortex waves. Experimental results show that the metasurface can achieve a radar cross section reduction of over 10 dB in the ultra-wideband range, demonstrating dynamic beam steering capability and high-efficiency low-scattering performance. This design offers new insights into applying reconfigurable metasurfaces to broadband communication, radar stealth, and intelligent electromagnetic environment regulation.
2025, 74 (18): 184201.
doi: 10.7498/aps.74.20250660
Abstract +
All-solid-state passively Q-switched lasers can exhibit nonlinear behaviors such as period-doubling, injection locking, and chaos under specific conditions, offering new applications in fields like secure communication and random number generation. As a result, the nonlinear dynamics of laser systems are becoming increasingly important. Pump modulation is a typical method of controlling the nonlinear dynamical states of solid-state lasers. In this work, the nonlinear dynamical characteristics of an all-solid-state passively Q-switched Nd:YAG/Cr:YAG laser under pump modulation are investigated by solving a four-level rate equation system using the Runge-Kutta method. The results demonstrate that by adjusting key parameters including modulation frequency, modulation amplitude, and unmodulated pump rate, the laser system can exhibit rich dynamical states, including period-one, period-two, multi-period, and chaotic pulsation. By analyzing the bifurcation diagram, the evolution pattern of output laser pulse characteristics with parameter changes is revealed. The system mainly enters chaos through period-doubling and quasi-periodic routes, while exhibiting a unique phenomenon where the pulse peak and pulse frequency follow synchronized evolutionary paths but with opposite trends in intensity variation, indicating dynamic coupling effects between frequency and intensity domains. By constructing the nonlinear dynamical distributions within a three-dimensional pump modulation parameter space, the combined effects of modulation frequency, modulation amplitude, and unmodulated pump rate on the evolution of the laser’s nonlinear dynamics are systematically investigated in this work. The results show that at lower unmodulated pump rates, the system cannot be driven into nonlinear states even when the modulation amplitude and frequency are relatively large. In contrast, under higher unmodulated pump rates, the appropriate tuning of modulation amplitude and frequency enables the system to transition from periodic states to chaotic behavior. This work not only elucidates the modulation mechanisms of pump parameters on the nonlinear dynamics of lasers, but also provides theoretical guidance for optimizing laser output performance and designing high-performance chaotic lasers, which is of great significance in promoting the applications of Q-switched lasers in precision measurement and secure communication fields.
2025, 74 (18): 184202.
doi: 10.7498/aps.74.20250658
Abstract +
2025, 74 (18): 184203.
doi: 10.7498/aps.74.20250879
Abstract +
In general cases of strong field excitation, the Stark effect has a significant influence on transient two-photon transitions, and the analytic description of this process is quite challenging. By combining analytical solutions and numerical simulations, the transient two-photon transition processes excited by weak and strong chirped pulses are systematically investigated, showing the important influences of parameters such as light field intensity, chirp factor, and detuning on the time-domain evolution of two-photon transition probabilities. Firstly, an approximate analytical expression is derived for the amplitude of the time-domain two-photon transition probability by using the second-order perturbation theory. This analytical solution indicates that the transient two-photon transition process under weak field excitation is similar to the Fresnel rectangular edge diffraction effect. As the light field intensity increases, the influence of the Stark effect on two-photon transitions also intensifies. Secondly, through a series of approximations, the approximate analytical solutions of the Schrödinger equation under strong field interactions are obtained. The analytical solutions show that the strong field Stark effect induces energy level to split, which disrupts the symmetry of the time-domain two-photon transition probability distribution, and its frequency domain process is similar to the “double-slit interference” effect. The research results indicate that the efficiency of population transfer during strong field excitation is closely related to the light field intensity, while the chirp factor can not only regulate the efficiency and time position of population transfer but also change the oscillation frequency of the population probability in the time domain. This work offers new insights into describing the time-domain evolution of the population probability under strong field excitation and lays a scientific basis for research on two-photon microscopy imaging.
EDITOR'S SUGGESTION
2025, 74 (18): 184204.
doi: 10.7498/aps.74.20250757
Abstract +
Photon localization is of great significance in both basic research and technical applications. Bound states in the continuum (BICs) in photonic crystal provide a new mechanism for effective photon localization. However, the imperfections and defects are inevitable in the process of fabricating photonic crystals. Momentum-space characterization is used as a powerful tool to analyze how such processing variations affect the photonic band structure, providing information for designing and fabricating photonic crystal devices. In this work, a photonic crystal in the visible light band is designed and its band structure is analyzed through FDTD simulation. The high symmetry at the point in momentum space Γ leads to a symmetry mismatch between the internal mode of the photonic crystal and the external propagation mode (radiation continuum), so that bound states with infinite lifetime appear above the light, thereby achieving the localization of photons in the vertical direction. At the same time, the angle-resolved photoluminescence (PL) spectrum of the photonic crystal is measured through the self-built angle-resolved optical path. The weak photoluminescence of the Si3N4 substrate is coupled with the photonic crystal mode for measuring the photonic crystal band. It can be observed that the band structure is consistent with the simulation results. At the same time, the intensity of the TE1 band near the Γ point is significantly weakened compared with the intensity at the position away from the Γ point, but it is not completely eliminated. This shows that errors and defects caused in fabrication process will destroy the symmetry of the structure, causing the BIC to evolve into the quasi-BIC. The quasi-BIC mode achieves effective localization of photons in the vertical direction near the Γ point. Furthermore, a heterostructure of photonic crystals with different periods is designed to achieve lateral photon localization by utilizing the band nesting between the photonic ctystals with different periods. Through this approach, this study ultimately develops a high-quality microcavity with a ratio of impressive quality factor to mode volume of $ 6\times {10}^{14} $ cm–3, and achieves characteristic regulation of the momentum space of photonic crystals by adjusting the structural parameters. This research is of great significance for designing photonic crystals and studying the interaction between light and matter.
Ultrasonic imaging method based on coherent plane wave compounding with delay multiplication and sum
2025, 74 (18): 184301.
doi: 10.7498/aps.74.20250714
Abstract +
Plane wave imaging has widespread applications in non-destructive testing due to its fast data acquisition speed and simple system architecture. However, traditional plane wave imaging employs an unfocused transmission scheme. This results in dispersed acoustic energy distribution, low imaging resolution, and poor image quality. Although coherent plane wave compounding (CPWC) improves imaging performance through multi-angle coherent summation, it still has shortcomings in image resolution, contrast, and artifact suppression when detecting defects far from the acoustic axis center. To break through these limitations, this paper proposes a coherent plane wave compounding with delay multiplication and sum (CPWC-DMAS) method in which multi-angle plane wave is combined with DMAS beamforming technology to enhance imaging quality and resolution capability. First, coherent summation of multi-angle plane wave signals is performed to achieve comprehensive angular information fusion, ensuring effective coverage of the detection region. Subsequently, the DMAS method is used to perform cross-multiplication and summation of signals acquired from all angles by different array elements, utilizing the spatial coherence between received signals from different array elements to effectively enhance the target echo signals, while suppressing incoherent noise and reducing artifacts. Finally, to validate the correctness and effectiveness of the proposed method, experimental verification is conducted on defects embedded in steel rail and wheel components. The results indicate that compared with the total focusing method and CPWC algorithms, the proposed CPWC-DMAS algorithm achieves significant improvements of 51.18% and 50% in array performance index, 50.8% and 46.52% in contrast ratio, and 25.14% and 21.56% in signal-to-noise ratio, respectively. In summary, the proposed CPWC-DMAS algorithm demonstrates significant advantages over traditional methods in resolution enhancement, contrast improvement, and artifact suppression, achieving high-quality imaging for multi-angle coherent plane wave compounding. This method provides a novel approach for detecting defects both near and away from the center of acoustic axis, offering new insights into defect detection in complex structures with broad engineering applications.
Sandwich-type flexural vibration ultrasonic transducer based on the structure of acoustic black hole
2025, 74 (18): 184302.
doi: 10.7498/aps.74.20250767
Abstract +
Based on the advantages of the acoustic black hole (ABH) structure in energy focusing and displacement amplification during the regulation of flexural waves, a new type of ABH sandwich-shaped flexural vibration transducer is proposed in this work. This transducer consists of a sandwich-shaped flexural vibration transducer and an ABH probe. Based on the Timoshenko beam theory, the theoretical model of the overall flexural vibration of the transducer is established by the transfer matrix method, and the calculated results are consistent with the finite element simulation results. The impedance frequency response characteristics, vibration modes, radiation acoustic field and vibration displacement of this transducer are discussed by the finite element method, and a comparative analysis is conducted with the catenary-shaped transducer. The results show that the maximum sound pressure and vibration displacement of the ABH transducer under the same mode are greater than those of the catenary-shaped transducer, indicating that the ABH structure can efficiently enhance the displacement of flexural vibration and the radiation performance of the transducer, and is expected to be utilized as a small-scale acoustic chemical reactor. Finally, a prototype of this transducer is fabricated, then its impedance characteristics and vibration modes are experimentally measured. The experimental results are in agreement with the simulation results.
EDITOR'S SUGGESTION
2025, 74 (18): 184701.
doi: 10.7498/aps.74.20250413
Abstract +
Fingerprint recognition technology plays a critical role in modern security and information protection. Traditional 2D fingerprint recognition methods are still limited due to an imbalance between growing security demands and inefficiency of encoding detailed information. Although various 3D fingerprint technologies have been introduced recently, their practical applications are restricted by complex sampling procedures and bulky equipment. This paper proposes a new 3D fingerprint fragments reconstruction method based on the condensation of microdroplet clusters, resulting in efficiently extracting detailed structural information from fingerprint patterns. By identifying the unique topological features of fingerprint valleys, a micrometer-scale vapor transport model is developed. A differential approach is used to divide the microdroplet clusters formed when a finger is pressed on a cold surface into discrete units. In each unit, the diffusion distance and mass transfer in the condensation process are calculated. Nonlinear regression techniques are then utilized to reconstruct the 3D fingerprint fragments. Furthermore, the experimental validation shows excellent consistency with premeasured fingerprint data, with a reconstruction error of less than 9.3%. It has made a significant improvement in capturing high-density fingerprint data in a short period of time, completing the data acquisition in less than 1 second. Compared with ultrasound imaging techniques, this method significantly shortens the acquisition time, which typically involve complex procedures. Additionally, it offers a more efficient alternative to deep learning methods, which require extensive data training and computational processes. This 3D fingerprint reconstruction method provides an efficient, low-cost and easy-to-operate solution. It holds the potential to significantly enhance personal identification and information protection systems, contributing to the advancement of 3D fingerprint recognition technology in practical applications.
PHYSICS OF GASES, PLASMAS, AND ELECTRIC DISCHARGES
2025, 74 (18): 185201.
doi: 10.7498/aps.74.20250680
Abstract +
A liquid-electrode discharge system excited by an alternating-current sinusoidal voltage is employed to investigate the discharge modes with varying liquid conductivity (σ). The results indicate that with σ increasing, the discharge transitions from the uniform mode to the pattern mode, which undergoes various self-organized patterns such as gear, circular saw, discrete spots, single-arm spiral, and concentric rings on the liquid surface. The voltage and current waveforms reveal that the discharge occurs only in the negative half-cycle of applied voltage (when the liquid acts as the instantaneous anode). After gas breakdown, the discharge current rises rapidly to a peak, and then slowly decreases. For the uniform mode, the current decreases monotonically. However, during the current decreasing in the pattern mode, there appears a plateau in which the current keeps almost invariant with time. As σ increases, the values of the peak current and the plateau increase, and the breakdown moment advances. In addition, fast photography achieved through an intensified charge-coupled device (ICCD) shows that regardless of the discharge mode, a uniform disk is initially generated on the liquid surface, and various non-uniform patterns are formed during the plateau stage. Based on the reaction-diffusion model, numerical simulations are carried out through changing ion strength and current strength, which are related to the variables m and l. The simulated discharge modes are well in line with those obtained in the experiments. Moreover, spectral line intensity ratios related to electron temperature and electron density are determined through the spectra emitted from the discharge near the liquid surface. By fitting the spectra, gas temperature and molecular vibration temperature are obtained, which show an increasing trend with σ increasing.
2025, 74 (18): 185202.
doi: 10.7498/aps.74.20250737
Abstract +
Dielectric barrier discharge (DBD) can produce abundant discharge patterns. It is one of the most interesting nonlinear systems for studying pattern formation. In this work, circular boundaries with different radii are utilized and superimposed to form a narrow and wide combined discharge gap. The pressure is set to 25 kPa for the experiment, and the frequency is fixed at 58 kHz. By varying the applied voltage, concentric-roll pattern, loop dot-matrix concentric-roll pattern, target-wave pattern and honeycomb pattern are obtained. The electrical and optical properties of several types of patterns are analyzed. This study focuses on the spatiotemporal evolution of the loop dot-matrix concentric-roll patterns by using an intensified charge-coupled device (ICCD), and theoretically analyzes the formation mechanism of these patterns. The results show that the discharge pattern has a radial development with a gradual breakdown process from the outside to the inside. It is related to the pre-ionization effect of the narrow gap on the discharge. The emission spectra of different discharged filaments in the radial direction of loop dot-matrix concentric-roll pattern are measured and analyzed. A spatially resolved diagnosis of plasma parameters is performed. It is found that the molecular vibrational temperature, electron density, and electron temperature are much larger in narrow gap than those in wide gap. In the wide gap, the molecular vibration temperature, electron density, and electron temperature gradually increase along the radial direction from the inside to the outside, but the changes are relatively small. In the narrow gap, the parameters such as the molecular vibration temperature, electron density, and electron temperature far from the center of the circle are smaller than those near the center of the circle. This is related to the micro-change of the electric field.
EDITOR'S SUGGESTION
2025, 74 (18): 185203.
doi: 10.7498/aps.74.20250668
Abstract +
In this paper, the charge state evolution behavior of carbon ions interacting with hydrogen plasma is systematically investigated based on a cross-sectional model. First, the influence of introducing a “shifted” Maxwellian velocity distribution on the dielectronic recombination rate coefficients is investigated within the range of carbon ion incident energies from 1 keV/u to 100 MeV/u and hydrogen plasma electron temperatures of $k{T_{\text{e}}} = 1$–1000 eV. The rate coefficient data for this system are provided. On this basis, this research specifically solves the equilibrium rate equations by taking into account various ionization and recombination processes for projectile carbon ions with an energy of ${0}{\text{.5 MeV/u}}$, plasma electron temperatures of $k{T_{\text{e}}} = 3{\text{ eV}}$ and ${\text{8 eV}}$, and electron densities ranging from ${1}{{0}^{{18}}}{\text{ c}}{{\text{m}}^{{{ - 3}}}}$ to ${1}{{0}^{{20}}}{\text{ c}}{{\text{m}}^{{{ - 3}}}}$. The results show that the abundance of both non-equilibrium and equilibrium charge states of carbon ions passing through hydrogen plasma varies with plasma thickness, revealing how plasma conditions such as temperature and density, along with projectile ion energy and initial charge states, influence the evolution of the ion charge states. Furthermore, a comparison of the dynamic behaviors of carbon ions in hydrogen plasma and neutral gas (hydrogen) shows that the unique effects of the plasma environment on ion charge exchange are elucidated. The mean equilibrium charge state of projectile ions exhibits a positive correlation with electron temperature and a negative correlation with electron density. It is particularly important that the calculated equilibrium charge states in hydrogen gas targets are notably lower than those in plasma environments. As the initial charge state of projectile ions approaches its equilibrium value, the equilibrium thicknesses for all charge states demonstrate a decreasing trend, accompanied by a corresponding reduction in the mean equilibrium thickness. This phenomenon is consistently verified in both plasma and gas targets, with the mean equilibrium thickness values in gas targets being significantly smaller than those in plasma environments. Most importantly, when the initial charge state of projectile ions exceeds the equilibrium value, these ions display more pronounced energy loss characteristics in non-equilibrium regions. This study will provides important references for investigating the dynamic evolution and energy transport characteristics of ion-plasma interactions in the field of high-energy-density physics.
CONDENSED MATTER: STRUCTURAL, MECHANICAL, AND THERMAL PROPERTIES
Hydrogen passivation mechanism and reaction pathways of neutral oxygen vacancies in amorphous silica
2025, 74 (18): 186301.
doi: 10.7498/aps.74.20250831
Abstract +
Amorphous silica (a-SiO2) with excellent insulating properties, uniform disordered structure, and good thermal stability, is the preferred material for field oxide layers, gate insulation layers and passivation layers in many semiconductor devices. However, in space environments, the oxygen vacancies generated by high-energy particle radiation and their interaction with hydrogen atoms in a-SiO2 can lead to enhanced low-dose-rate sensitivity, potentially causing threshold voltage to shift and leakage current to increase in semiconductor devices. These seriously threaten the operation safety of spacecraft, and the exploration of related reaction mechanisms is crucial. A first-principles calculation is employed to investigate the neutral oxygen vacancies in amorphous silica and their reaction mechanisms with hydrogen atoms. Five types of neutral oxygen vacancies are identified, namely $ {\mathrm{V}}_{\mathrm{D}} $, $ {\mathrm{V}}_{\mathrm{B}} $, $ {\mathrm{V}}_{\mathrm{F}} $, $ {\mathrm{V}}_{\mathrm{B}\mathrm{P}4} $ and $ {\mathrm{V}}_{\mathrm{D}\mathrm{S}\mathrm{i}} $ configurations. A significant positive correlation is observed between the defect formation energy and the distance between two defective silicon atoms. Due to the lowest defect formation energy, the $ {\mathrm{V}}_{\mathrm{D}} $ configuration may become the main type of defect in irradiation or fabrication.$ {\mathrm{V}}_{\mathrm{F}} $ and $ {\mathrm{V}}_{\mathrm{B}} $ configurations display comparable Fermi contacts to those of $ {\mathrm{E}}_{\mathrm{\gamma }}' $ centers. The presence of electron pairs leads to zero fermi contacts in $ {\mathrm{V}}_{\mathrm{D}} $, $ {\mathrm{V}}_{\mathrm{B}\mathrm{P}4} $ and $ {\mathrm{V}}_{\mathrm{D}\mathrm{S}\mathrm{i}} $ configurations. Previous studies have often focused more on the reaction between oxygen vacancies and hydrogen atoms at the middle-sites of oxygen vacancies. And, a critical characteristic of the disordered a-SiO2 structure is neglected by this approach: the reactions may extend into the neighboring network and occur at side-sites of oxygen defects. For a full understanding of actual reactions, both the middle-sites and side-sites are considered for hydrogen atoms in present investigations. It’s revealed that hydrogen atoms passivate neutral oxygen vacancies through two distinct mechanisms: Si−H bond formation or silanol group generation. These processes yield two classes of neutral hydrogenated oxygen vacancies, $ {\mathrm{V}}^{\mathrm{H}} $ and $ {\mathrm{V}}^{\mathrm{O}\mathrm{H}} $ configurations, which can be further classified into seven distinct configurations based on the orientation of dangling bonds and Si−H bonds. By combining the analyses of ELF maps and EPR simulations, it is demonstrated that $ {\mathrm{V}}_{\mathrm{B}\mathrm{B}}^{\mathrm{H}} $ and $ {\mathrm{V}}_{\mathrm{B}\mathrm{M}}^{\mathrm{H}} $ configurations have EPR parameters comparable to those of $ {\mathrm{E}}_{\mathrm{\gamma }}' $ center, implying that hydrogen passivation processes may interfere with the identification of $ {\mathrm{E}}' $ center. The formation of silanol group in $ {\mathrm{V}}_{\mathrm{B}\mathrm{B}}^{\mathrm{O}\mathrm{H}} $ configuration provides theoretical bases for explaining water molecules formation within oxide layers and at interfaces. This study elucidates the hydrogen-induced cross-network migration and silanol group formation pathway, collectively revealing the dual role of hydrogen in passivating defects and inducing secondary defects. A microscopic explanation is derived from these findings for the enhanced low dose rate sensitivity in bipolar devices.
2025, 74 (18): 186302.
doi: 10.7498/aps.74.20250495
Abstract +
Based on first-principles calculations within the framework of density functional theory, the structural features, electronic and optical properties of sulfur-doped ZnO nanowires are systematically investigated in this work, revealing the regulation mechanism of doping on material performance. The results show that sulfur incorporation induces local lattice distortions in ZnO, resulting in a substitutional doping structure. These structural modifications significantly affect the electronic properties, causing the Fermi level to shift toward the bottom of the conduction band and a redshift in the band gap. Importantly, the orbital-projected band structures reveal that the 3p orbitals of sulfur generate impurity states near the top of the valence band, thereby enhancing both carrier concentration and mobility. Furthermore, sulfur doping leads to a notable change in the optical properties, including the emergence of new characteristic peaks in both the real and imaginary parts of the dielectric function, as well as considerable increases in optical parameters such as the absorption coefficient, extinction coefficient, and reflectivity. Moreover, as the doping concentration increases, the changes in optical properties become more pronounced. Overall, this investigation offers valuable theoretical insights into optimizing the performance of sulfur-doped ZnO nanowires in optoelectronic applications, such as photodetectors and light-emitting diodes, revealing the intrinsic correlation mechanism between the microscopic electronic structure and the macroscopic optical response.
2025, 74 (18): 186303.
doi: 10.7498/aps.74.20250650
Abstract +
2025, 74 (18): 186401.
doi: 10.7498/aps.74.20250621
Abstract +
Efficiently identifying multiple influential nodes is crucial for maximizing information diffusion and minimizing rumor spread in complex networks. Selecting multiple influential seed nodes requires to take into consider both their individual influence potential and their spatial dispersion within the network topology to avoid overlapping propagation ranges (“rich-club effect”). Traditional VoteRank method has two key limitations: 1) the voting contributions from a node is assumed to be consistent to all its neighbors, and the influence of topological similarity (structural homophily) on the voting preferences observed in real-world scenarios is neglected, and 2) a homogeneous voting attenuation strategy is used, which is insufficient to suppress propagation range overlap between selected seed nodes. To address these shortcomings, IMVoteRank, an improved VoteRank algorithm featuring dual innovations, is proposed in this work. First, a structural similarity-driven voting contribution mechanism is introduced. By recognizing that voters (nodes) are more likely to support candidates (neighbors) with stronger topological relationships with them, the voting contribution of neighbors is decomposed into two parts: direct connection contribution and a structural similarity contribution (quantified using common neighbors). A dynamic weight parameter θ, adjusted based on the candidate node’s degree, balances these components, significantly refining vote allocation accuracy. Second, we devise a dynamic group isolation trategy. In each iteration, after selecting the highest-scoring seed node vmax, a tightly-knit group (OG) centered around it is identified and isolated. This involves: 1) forming an initial group based on neighbor density shared with vmax, 2) expanding it by merging nodes with more connections inside the group than outside, and 3) isolating this group by setting the voting capacity (Va) of all its members to zero and virtually removing their connections from the adjacency matrix. Neighbors of vmax not in OG have their Va values reduced by half. This strategy actively forces spatial dispersion among seeds. Extensive simulations using the susceptible-infected-recovered (SIR) propagation model on nine different real-world networks (ECON-WM3, Facebook-SZ, USAir, Celegans, ASOIAF, Dnc-corecipient, ERIS1176, DNC-emails, Facebook-combined) demonstrate the superior performance of IMVoteRank. Compared with seven benchmark methods (Degree, k-shell, VoteRank, NCVoteRank, VoteRank++, AIGCrank, EWV), IMVoteRank consistently achieves significantly larger final propagation coverage (infected scale) for a given number of seed nodes and transmission probability (β = 0.1). Furthermore, seeds selected by IMVoteRank exhibit a consistently larger average shortest path length (Ls) in most networks, which proves their effective topological dispersion. This combination of high personal influence potential (optimized voting) and low redundancy (group isolation) directly translates to more effective global information dissemination, as evidenced by the SIR results. Tests on LFR benchmark networks further validate these advantages, particularly at transmission rates above the epidemic threshold. IMVoteRank effectively overcomes the limitations of traditional voting models by integrating structural similarity into the voting process and employing dynamic group isolation to ensure seed dispersion. It provides a highly effective and physically reliable method for identifying multiple influential nodes in complex networks and optimizing the trade-off between influence strength and spatial coverage. Future work will focus on improving the computational efficiency of large-scale networks and exploring the influence of meso-scale community structures.
2025, 74 (18): 186402.
doi: 10.7498/aps.74.20250797
Abstract +
The self-assembly of polymer grafted nanoparticles is more and more used in the field of functional materials. However, there is still a lack of analysis on the dynamic transformation paths of different self-assembly morphologies, which makes it impossible to achieve further precise regulation and targeted design in experiments and industrial production. In this work the effects of patchy property, grafted chain length, ratio and grafting density on the self-assembly behavior and structure of polymer grafted flexible patchy nanoparticles are investigated by dissipative particle dynamics simulation method through the construction of coarse-grained model of polymer grafted ternary nanoparticles. The influence and regulation mechanisms of these factors on the self-assembly structure transformation of flexible patchy nanoparticles are systematically studied, and a variety of structures such as dendritic structure, columnar structure, and bilayer membrane are obtained. The self-assembly structure of flexible patchy nanoparticles obtained in this work (such as bilayer membrane structure) provides a potential application basis for designing drug carriers. By precisely regulating the specific structural characteristics of the system, it is possible to achieve efficient loading of drugs and targeted delivery functions, thus significantly improving the bioavailability and effect of drugs.
EDITOR'S SUGGESTION
2025, 74 (18): 186403.
doi: 10.7498/aps.74.20250776
Abstract +
2025, 74 (18): 186801.
doi: 10.7498/aps.74.20250661
Abstract +
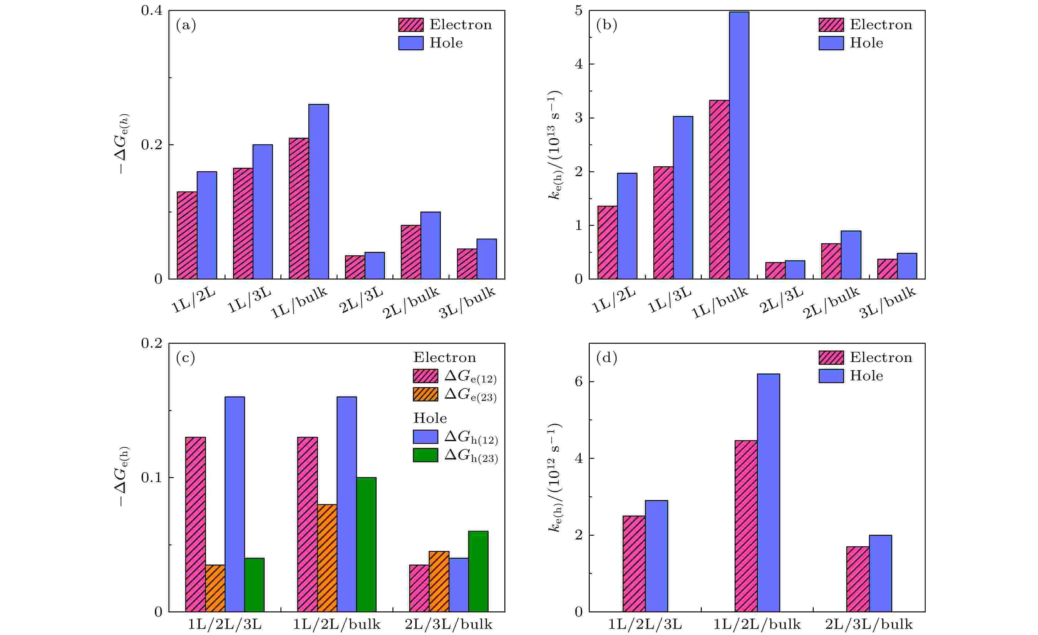
Energy funneling effect of two-dimensional materials provides an important method for modulating carrier transfer. However, the formation of energy funneling and its influences on the carrier transfer are still relatively uncharacterized. In this work, the energy funneling induced by the layer number gradient effect in MoS2 is investigated through atomic-bond-relaxation approach and first-principles calculations. It is found that the bandgap of MoS2 monotonically increases with the decrease of the layer number, leading the conduction band minimum (valence band maximum) of thin layer MoS2 to be higher than (lower than) that of thick layer MoS2. Therefore, both dual thickness gradient and triple thickness gradient MoS2 can achieve the energy funneling effect. As a result, the carriers will be directionally transferred from the thin layer region to the thick layer region. According to Marcus theory, the carrier transfer rate is dependent on drive force caused by the energy level difference with different thicknesses of MoS2. For the dual thickness gradient MoS2, when the thickness difference between adjacent layers is the largest, the driving force is the highest, which is 1L/bulk. In addition, owing to the driving force smaller than the reorganization energy in dual thickness gradient MoS2, a large driving force corresponds to a high carrier transfer rate, resulting in a higher carrier transfer rate of 1L/bulk than those in other dual thickness gradient systems. For the triple thickness gradient MoS2, there are two consecutive interface energy differences that induce driving forces. However, the carrier transfer rate is exponentially correlated with the driving force. Therefore, the carrier transfer rate of dual thickness gradient MoS2 will be higher than that of the corresponding triple thickness gradient MoS2. Our results demonstrate that the energy funneling effect induced by thickness gradient can realize carrier accumulation in the thick layer region without the need for p-n junctions, which is of great benefit in collecting photogenerated carriers. The atomic force microscopy lithography and chemical vapor deposition will be used to engineer thickness-gradient two-dimensional materials with enhanced optoelectronic properties in future.
CONDENSED MATTER: ELECTRONIC STRUCTURE, ELECTRICAL, MAGNETIC, AND OPTICAL PROPERTIES
2025, 74 (18): 187401.
doi: 10.7498/aps.74.20250723
Abstract +
Josephson junction, as the core nonlinear element underpinning superconducting electronics, is characterized by its current-phase relation (CPR), which fundamentally determines the dynamical properties and functional capabilities of superconducting quantum devices. Traditional Josephson junctions typically exhibit a traditional sinusoidal CPR; however, the junctions characterized by non-sinusoidal CPR have recently attracted considerable attention due to their distinctive physical properties and promising quantum device applications. In this work, a numerical model tailored specifically for junctions exhibiting non-sinusoidal CPR is developed by integrating experimentally measured current-voltage (I-V ) characteristics from Nb/Al-AlOx/Nb junctions into a resistively and capacitively shunted junction (RCSJ) framework. By leveraging this refined model, the influence of CPR skewness on Josephson junction dynamics is systematically investigated. Our results indicate that in underdamped junctions, the critical current significantly diminishes with the increase of CPR skewness, a behavior reminiscent of the adjustable critical currents typically observed in DC superconducting quantum interference devices (SQUIDs). Conversely, in overdamped junctions, the influence of CPR skewness on the I-V characteristics is found to be negligible. However, our numerical simulations under microwave irradiation indicate that nonsinusoidal CPRs readily promote the emergence of half-integer Shapiro steps in overdamped junctions, thereby establishing CPR skewness as a plausible microscopic origin for this phenomenon. In addition, the advanced design system (ADS) simulations is employed to model nonlinear resonators and DC SQUID circuits, offering a detailed investigation into how nonsinusoidal CPRs modulate the Josephson inductance and magnetic flux response. Our findings reveal that engineering the CPR of Josephson junctions provides substantial flexibility in the design of superconducting qubits, parametric amplifiers, and non-magnetic nonreciprocal devices. This tunability underscores significant opportunities for developing next-generation superconducting electronic components. The Josephson junctions with engineered CPR offer expanded functionality for superconducting quantum technologies. This study suggests that customized CPR can enhance control over the dynamical behavior of junctions, and promote the optimized designs of superconducting qubits, parametric amplifiers, and nonmagnetic nonreciprocal devices.
EDITOR'S SUGGESTION
2025, 74 (18): 187402.
doi: 10.7498/aps.74.20250795
Abstract +
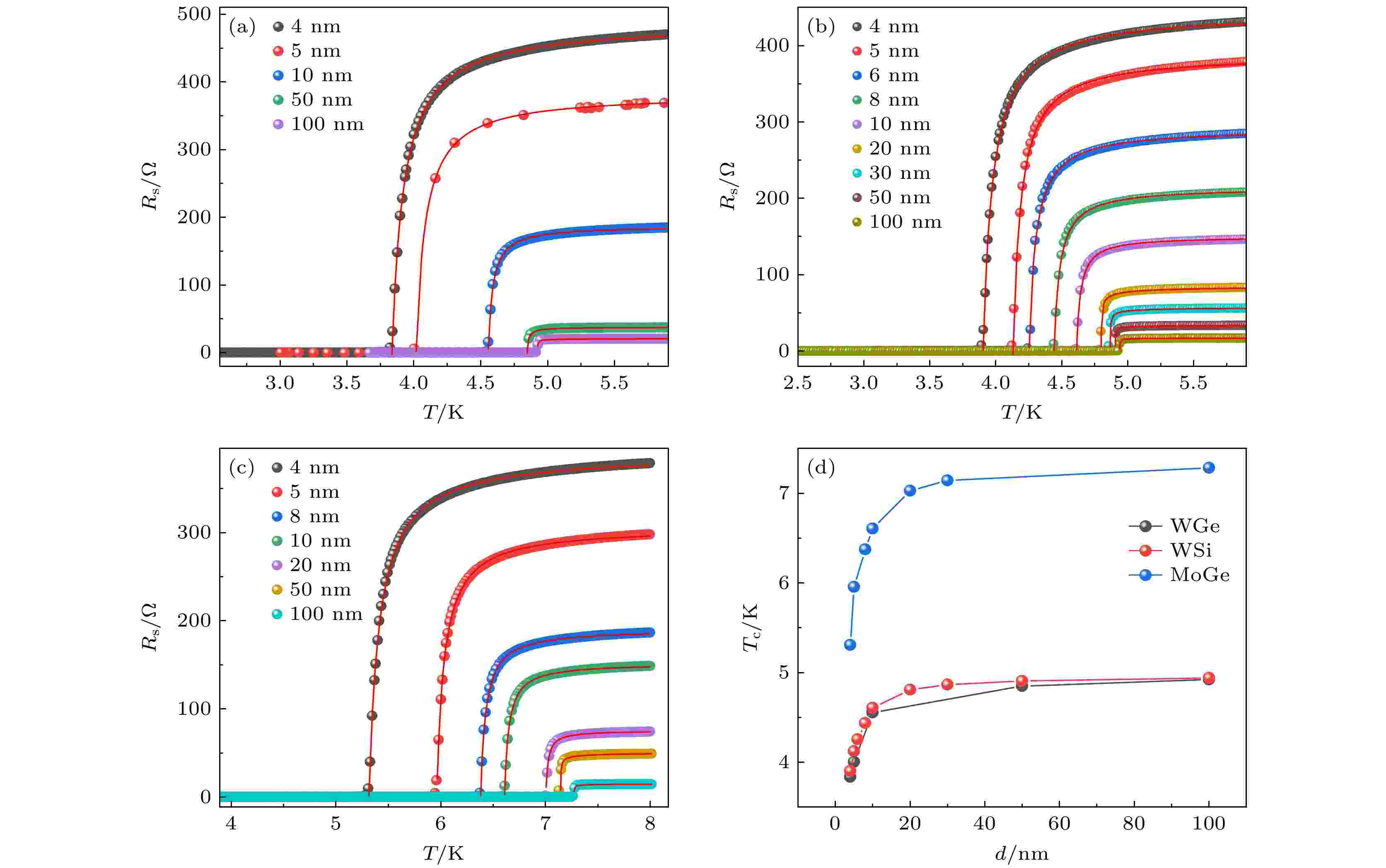
Amorphous superconducting thin film materials have the advantages of high superconducting uniformity and good optical response sensitivity, which make them ideal materials for fabricating large-area and mid-infrared superconducting nanowire single-photon detectors (SNSPD). In this paper, three series of different amorphous superconducting films are deposited on Si wafers by room-temperature magnetron co-sputtering. For these films, the dependence of their physical properties, i.e. critical temperature Tc, Ginzburg-Landau coherence length ξ(0), normal-state electron diffusion coefficient De, magnetic penetration depth λ(0), and superconducting energy gap Δ(0), on film thickness is systematically investigated. Compared with amorphous tungsten silicide (WSi) and molybdenum germanide (MoGe) superconducting thin films, WGe alloys and WSi have similar superconducting properties, including critical temperature and coherence length, slightly lower normal-state electron diffusion coefficient and higher magnetic penetration depth. Compared with MoGe, both WGe and WSi alloys exhibit larger normal-state electron diffusion coefficient and higher magnetic penetration depths. By studying the superconducting properties of three different amorphous thin films, this research provides new material choices and experimental evidence for developing and optimizing the performance of large-area, high-sensitivity superconducting nanowire single-photon detectors.
2025, 74 (18): 187501.
doi: 10.7498/aps.74.20250506
Abstract +
In recent years, polar magnets M2Mo3O8 (M: 3d transition metal) have emerged as a research focus in condensed matter physics and materials science due to their unique crystal structures, multiple continuous magnetoelectric-coupled state transitions, and potential applications. Notably, Co2Mo3O8 exhibits a significant second-order nonlinear magnetoelectric coupling effect in its ground state, corresponding to a unique microscopic magnetoelectric coupling mechanism and practical value. In this work, based on a molecular field phenomenological model, two distinct antiferromagnetic sublattices for the Co2Mo3O8 system constructed and the temperature-dependent variations of its spontaneous magnetic moment, spin-induced ferroelectric polarization, first-order linear magnetoelectric coupling coefficient, and second-order nonlinear magnetoelectric coupling coefficient are presented. Particularly, the parameters t = –1 and o = –0.96 indicate distinct exchange energies between the magnetic sublattices associated with tetrahedron (Cot) and octahedron (Coo). The Co2+ ions in these two sublattices, which are characterized by different molecular field coefficients, synergistically mediate a spin-induced spontaneous polarization of PS ~ 0.12 μC/cm2 through the exchange striction mechanism and p-d hybridization mechanism in Co2Mo3O8. In addition, the significant second-order magnetoelectric coupling effect with a coefficient peaking at 7 × 10–18 s/A near the TN in Co2Mo3O8, with this coefficient being significantly larger than those of isostructural Fe2Mo3O8 (1.81 × 10–28 s/A) and Mn2Mo3O8, implies that this enhancement primarily arises from the weaker inter-sublattice antiferromagnetic exchange between its two sublattices, leading to a stabilizes metastable spin configuration. This also indicates that the Co2Mo3O8 system possesses stronger irreversibility stability and exhibits a pronounced magnetoelectric diode effect, providing a solid theoretical and computational foundation for developing magnetoelectric diodes.
2025, 74 (18): 187701.
doi: 10.7498/aps.74.20250835
Abstract +
2025, 74 (18): 187801.
doi: 10.7498/aps.74.20250719
Abstract +
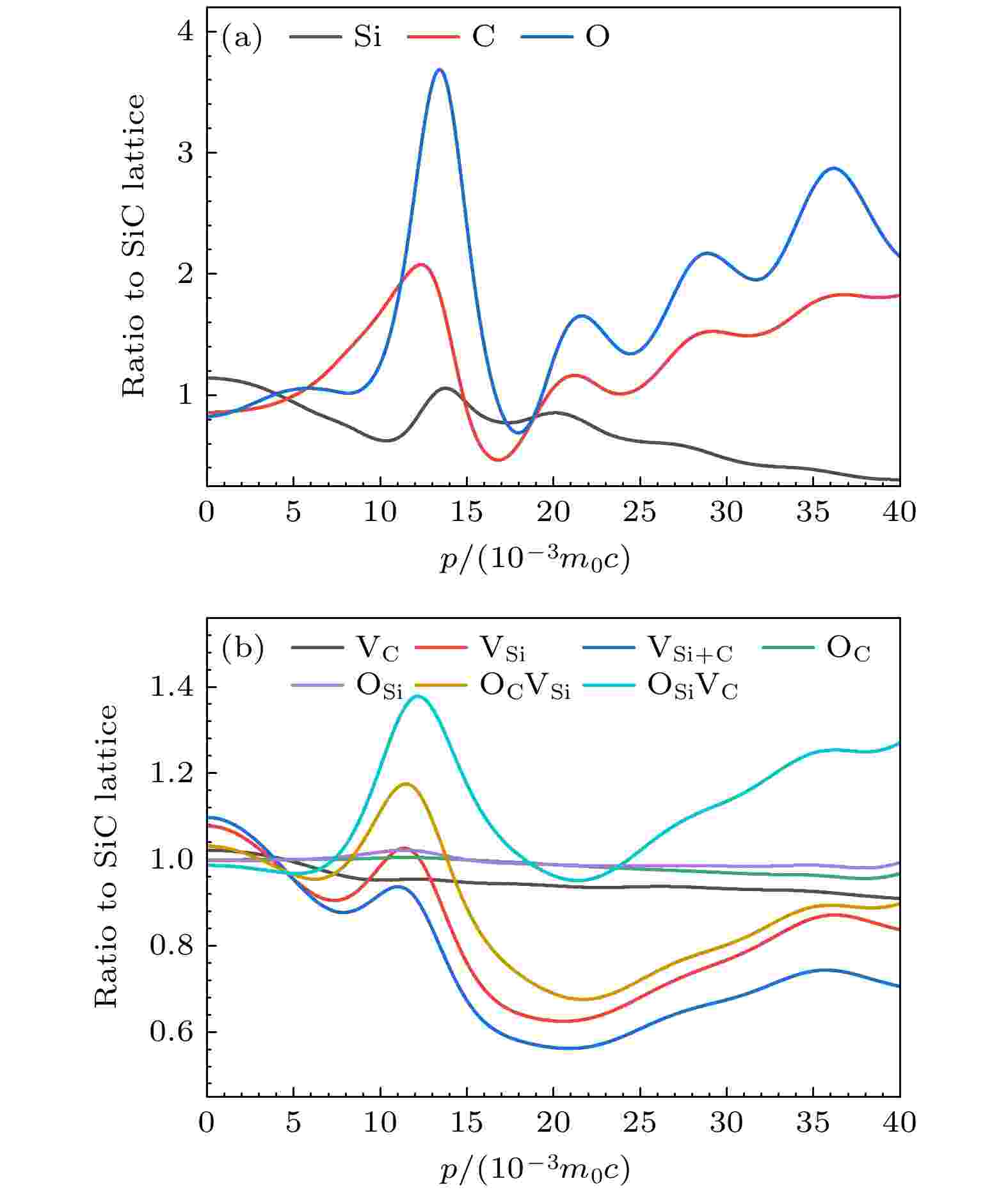
Based on density functional theory (DFT), the formation energies of intrinsic vacancy defects (VC, VSi, and VSi+C) and oxygen-related defects (OC, OSi, OCVSi, and OSiVC) in 3C-SiC are calculated. The results indicate that all defects considered, except for OC, possess neutral or negative charge states, thereby making them suitable for detection by positron annihilation spectroscopy (PAS). Furthermore, the electron and positron density distributions and positron annihilation lifetimes for the perfect 3C-SiC supercell and various defective configurations are computed. It is found that the OSi and OSiVC complexes act as effective positron trapping centers, leading to the formation of positron trapped states and a notable increase in annihilation lifetimes at the corresponding defect sites. In addition, coincidence Doppler broadening (CDB) spectra, along with the S and W parameters, are calculated for both intrinsic and oxygen-doped point defects (OC, OSi, OCVSi, and OSiVC). The analysis reveals that electron screening effects dominate the annihilation characteristics of the OSi defect, whereas positron localization induced by the vacancy is the predominant contributor in the case of OSiVC. This distinction results in clearly different momentum distributions of these two oxygen-related defects for different charge states. Overall, the PAS is demonstrated to be a powerful technique for distinguishing intrinsic vacancy-type defects and oxygen-doped composites in 3C-SiC. Combining the analysis of electron and positron density distributions, the electron localization and positron trapping behavior in defect systems with different charge states can be comprehensively understood. These first-principles results provide a solid theoretical foundation for identifying and characterizing the defects in oxygen-doped 3C-SiC by using positron annihilation spectroscopy.
INTERDISCIPLINARY PHYSICS AND RELATED AREAS OF SCIENCE AND TECHNOLOGY
2025, 74 (18): 188201.
doi: 10.7498/aps.74.20250848
Abstract +
Magnesium-ion batteries (MIBs) are regarded as a promising alternative to lithium-ion batteries (LIBs) due to their material abundance, cost-effectiveness, and improved safety. The development of high-performance anode materials is crucial for the advancement of MIBs. In this work, the feasibility of boron-doped graphene/blue phosphorene heterojunctions BiGr/BP (i = 0, 1, 2, 3, 4) as potential anode materials for MIBs is systematically investigated using the density functional theory. Our results show that the average binding energies of BiGr/BP (i = 0, 1, 2, 3, 4) are negative, suggesting their suitability for experimental synthesis. The analyses of band structure and density of states reveal that BiGr/BP (i = 0, 1, 2, 3, 4) exhibit high conductivity, as the 2p orbitals of carbon and boron dominantly contribute to the density of states at the Fermi level. Magnesium (Mg) adsorption capacity rises with the increase of boron doping concentrations, indicating stronger interactions between the heterojunctions and Mg. At the highest doping concentration (i = 4), the adsorption energy of Mg adsorbed in the interlayer is –3.38 eV, demonstrating substantial potential for Mg storage. The ab initio molecular dynamics (AIMD) simulations at 300 K show minor fluctuations in total energy, confirming the thermal stability of B4Gr/BP. Climbing image nudged elastic band (CI-NEB) method is used to determine two diffusion pathways of Mg in the B4Gr/BP interlayer. Along Path II, the maximum diffusion barrier is 0.47 eV, suggesting rapid Mg diffusion in the B4Gr/BP interlayer. The average open-circuit voltage is 0.37 V, ensuring the safety of the charge-discharge process. The theoretical capacity is 286.04 mAh/g, which is twice that of the B4Gr/MoS2 system. In summary, boron doping significantly enhances the Mg storage capacity. Specifically, B4Gr/BP appears to be a promising candidate for high-performance anodes in MIBs, owing to its excellent stability, conductivity, Mg storage capacity, and electrochemical properties.
2025, 74 (18): 188401.
doi: 10.7498/aps.74.20250765
Abstract +
In order to improve the stability and reliability of the traveling wave tube (TWT), the optimization and design of the electron beam have become a key part in vacuum electronic devices. Laminar properties are a key parameter for evaluating the quality of the electron beam. The transverse displacement of the particles in the laminar electron beam is proportional to the transverse velocity. In the phase space distribution image of non-laminar properties electrons at a certain position, there is no linear relationship between the transverse displacement and the transverse velocity. The energies of particles in the electron beam are different, so the particles have different initial velocities. The particle source at the electron beam waist in the electron gun is used as a particle source for the beam wave interaction simulation. The output characteristics of the TWT more closely resemble the actual ones. A method of simplifying the particles at the electron gun beam waist into macroparticles using the K-means clustering algorithm is proposed. The macroparticle is used as a particle source in the TWT interaction zone for simulating the beam wave interaction, which reduces the simulation time from 5.53 to 0.65 h and improves the simulation efficiency. Compared with the original particle, both the simplified particle generated by the K-means clustering algorithm and the simplified particle generated by the mesh model greatly reduce the computational load of the interaction zone simulation. Compared with the results from the grid model, the simulation results of the beam-wave interaction of macroparticles, obtained by using the K-means clustering algorithm, are closer to those of the beam-wave interaction, obtained by using the original particles. By adjusting the cathode divergence angle and the distance between the anode and cathode of the electron gun of a certain type of TWT, the simulation results show that when the divergence angle is adjusted within a range of 0°–1°, the larger the divergence angle, the larger the radial root mean square emittance value, the worse the laminar properties of the electron beam, and the power of the output signal of the TWT decreases. When the distance between the anode and cathode is adjusted within a range of 0.8–1.6 mm, the radial root mean square emittance decreases from 2.51 to 2.22 mm·mrad, the laminar properties of the electron beam are improved. The output power of the TWT increases from 328.34 to 414.10 W, and the operating frequency bandwidth with an output power greater than 300 W is expanded from 3 to 5 GHz. Therefore, the particle simplification model using the K-means clustering algorithm improves the simulation efficiency of the beam wave interaction. Based on the influence of the laminar properties of the electron beam on the performance of the TWT, the structural parameters of the electron gun can be optimized.
2025, 74 (18): 188701.
doi: 10.7498/aps.74.20250707
Abstract +
Physics-informed neural networks (PINNs) have recently garnered significant attention as a meshless solution framework for solving partial differential equations (PDEs) in the context of AI-assisted scientific research (AI for Science). However, traditional PINNs exhibit certain limitations. On one hand, their network architecture, typically multilayer perceptrons (MLPs) with unidirectional information transfer, struggles to effectively capture key features embedded in sequential data, resulting in weak information characterization. On the other hand, the loss function of PINNs, a quadratic penalty function embedded with physical constraints, has an unconstrained and infinitely inflated penalty factor that affects the efficiency of the model’s training optimization search. To address these challenges, this paper proposes an improved PINN based on information representation and loss optimization, termed allaPINNs, which aims to enhance the model’s key feature extraction capability and training optimization search ability, thereby improving its accuracy and generalization for solving numerical solutions of PDEs. In terms of information characterization, allaPINNs introduces efficient linear attention (LA) to enhance the model’s ability to identify key features while reducing the computational complexity of dynamic weighting. In terms of loss optimization, allaPINNs reconstructs the objective loss function by introducing the augmented Lagrangian (AL) function, utilizing learnable Lagrangian multipliers and penalty factors to efficiently regulate the interaction of each loss residual term. The feasibility of allaPINNs is validated through four benchmark equations: Helmholtz, Black-Scholes, Burgers, and nonlinear Schrödinger. The results demonstrate that allaPINNs can effectively solve various PDEs of different complexities and exhibit excellent numerical solution prediction accuracy and generalization ability. Compared to the current state-of-the-art PINNs, the predictive accuracy is improved by one to two orders of magnitude.
GEOPHYSICS, ASTRONOMY, AND ASTROPHYSICS
2025, 74 (18): 189501.
doi: 10.7498/aps.74.20250640
Abstract +
Balanced detector is a fundamental component for the accurately measuring quantum state fluctuations, especially quantum noise, which is crucial for future quantum-enhanced interferometric gravitational wave detectors utilizing squeezed light. By using a transimpedance amplifier (TIA) model core for balanced detection, a detailed theoretical and practical analysis is conducted on the electronic factors that affect the performance of the detector in the target ultra-low-frequency range. The TIA stage is meticulously designed using a high-performance integrated operational amplifier characterized by low offset voltage drift. In order to ensure the critical gain stability for ultra-low-frequency operation, this design adopts low temperature-drift metal foil resistors. Subsequent voltage amplification is achieved using a noninverting amplifier configuration to attain the necessary high electrical gain, while strictly managing overall electronic noise. By recognizing the criticality of common-mode noise rejection for quantum noise measurements, the photodiode (PD) nonlinear response compensation mechanism is analyzed and optimized. This is achieved through the innovative implementation of a differential fine-tuning circuit (DFTC) coupled with an adjustable bias voltage (ABV) compensation scheme. Experimental validation confirms the effectiveness of the optimized design. The compensation scheme utilizing DFTC and ABV successfully achieves a high common mode rejection ratio (CMRR) exceeding 75 dB@500 Hz. Crucially, the detector achieves an electronic noise spectral density of 3.5 × 10–5 V/Hz1/2 within the 1 mHz–1 Hz band, exceeding the requirements for laser intensity noise (1 × 10–4 V/Hz1/2) in space-based gravitational wave detection. Furthermore, the detector demonstrates high gain capability and bandwidth: with an incident detection light power of 4 mW, the balanced detector achieves a gain of 20 dB maintained in a wide frequency range from 1 mHz to 1 MHz. This work presents the design, detailed analysis, and experimental realization of optimized balanced detectors specifically tailored for high-sensitivity measurements in the millihertz gravitational wave frequency band. The achieved low electronic noise base below 1 Hz and high CMRR meet the key requirements for future space-based gravitational wave detectors to detect squeezed states of light. This optimized balanced detector provides important components and technical support for the next-generation space-based gravitational wave detection and millihertz squeezed light characterization.


