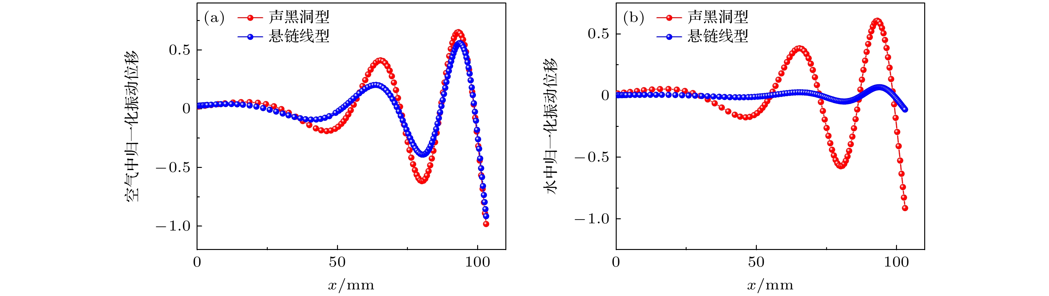
Based on the advantages of the acoustic black hole (ABH) structure in energy focusing and displacement amplification during the regulation of flexural waves, a new type of ABH sandwich-shaped flexural vibration transducer is proposed in this work. This transducer consists of a sandwich-shaped flexural vibration transducer and an ABH probe. Based on the Timoshenko beam theory, the theoretical model of the overall flexural vibration of the transducer is established by the transfer matrix method, and the calculated results are consistent with the finite element simulation results. The impedance frequency response characteristics, vibration modes, radiation acoustic field and vibration displacement of this transducer are discussed by the finite element method, and a comparative analysis is conducted with the catenary-shaped transducer. The results show that the maximum sound pressure and vibration displacement of the ABH transducer under the same mode are greater than those of the catenary-shaped transducer, indicating that the ABH structure can efficiently enhance the displacement of flexural vibration and the radiation performance of the transducer, and is expected to be utilized as a small-scale acoustic chemical reactor. Finally, a prototype of this transducer is fabricated, then its impedance characteristics and vibration modes are experimentally measured. The experimental results are in agreement with the simulation results.