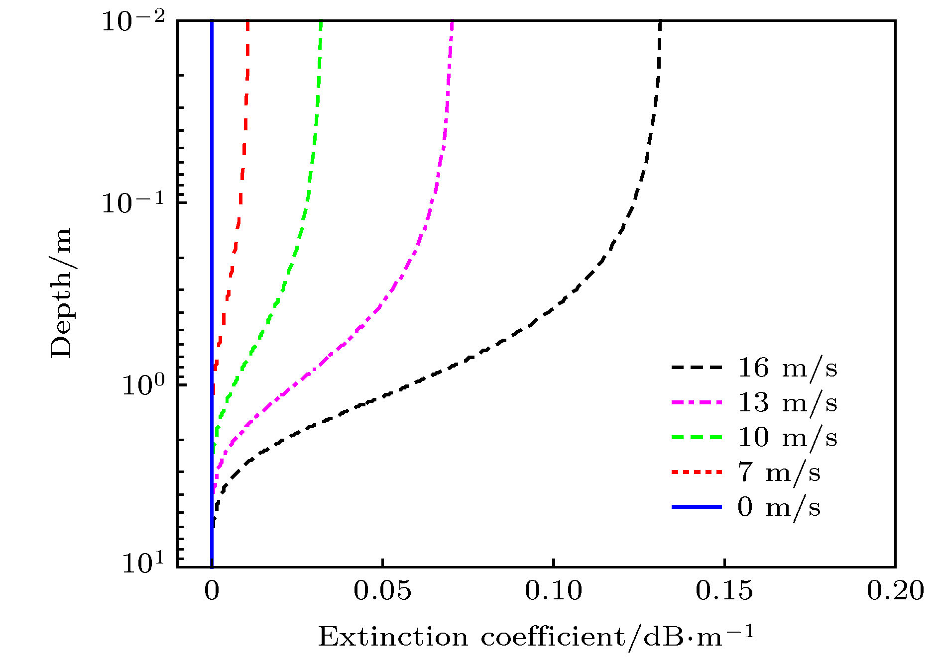
The reflection coefficient of the flat sea surface in the ideal condition to the incident sound wave is –1. The perfect reflection effect does not introduce reflection loss. However, the sea surface is usually rough due to the wind. The wind-generated rough sea surface has not only reflection effect, but also scattering effect on the sound wave. At the same time, the wind-generated bubbles layer also has significant effect on the sound propagation. On the one hand, the bubbles layer can change the sound speed profile and result in the refraction of the incident sound wave. On the other hand, the bubbles layer has scattering effect and absorption effect on the incident sound wave and leads to the sound wave to attenuate. In fact, the rough sea surface and the bubbles layer are two main factors affecting the sound propagation in the windy weather at sea. Many researchers have paid much attention to the effect of the wind-generated rough sea surface on the sound propagation, but few of them have considered the effect of the wind-generated bubbles layer on the sound propagation. Based on the Ramsurf sound propagation model under the rough sea surface, the effects of wind-generated bubbles layer underneath rough sea surface on reflection loss and sound propagation with different wind speeds are analyzed. Based on the Hall-Novarini bubbles population model, the sound speed profile in the bubbles layer is modified and the attenuation coefficient due to scattering and absorption of the bubbles layer is calculated. The simulation results shows that when the wind speed is 10 m/s, the effect of the bubbles layer is significant on reflection loss with the frequencies higher than 2 kHz. In the given underwater acoustic environment, for a frequency of 3 kHz, when the source depth and the receiver depth are both 7 m, the enhancement of the transmission loss due to the bubbles layer is 2.6 dB for a wind speed of 13 m/s, and the enhancement is 8.1 dB for a wind speed of 16 m/s. And when the source depth and the receiver depth are both 18 m, the enhancement of the transmission loss due to the bubbles layer is 2.5 dB for a wind speed of 13 m/s and the enhancement is 4 dB for a wind speed of 16 m/s.