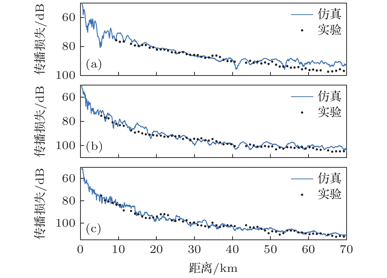
Surface duct is a common duct due to strong sea winds and sea-atmosphere interactions in winter and it is an excellent waveguide in which energy may propagate a long distance. However, the rough interface formed by sea surface waves will seriously damage this excellent performance. In this study, the experimental data of sound propagation over the continental slope in the South China Sea are used to analyze the characteristics of sound propagation in a surface duct. Modeling analyses based on the parabolic equation model RAM and ray trace theory BELLHOP are used to examine these characteristics. The parameters of sea bottom, source depth, wind-driven sea surface, and swell-containing sea surface are taken into consideration in the model. The results show that when the source is located in the surface duct, the parameters of the sea bottom have little influence on sound propagation, while the change of source depth exerts some effects on the sound propagation. By combining the Pierson Moscowitz (PM) spectrum with Monte Carlo method, the rough sea surface is investigated. Since the PM spectrum is related only to wind speed, the wind-driven sea surface is generated by using the actual wind speed measured by the shipborne anemometer. The swell-containing sea surface is defined as a superposition of a sinusoidal pressure-release surface and the wind-driven sea surface. By comparing the effects of two sea surfaces on sound propagation, it is found that when the wind speed is small, swells play an important role in the surface-duct propagation. Experimental data show that for the acoustic signal with a center frequency of
$1000\;{\rm{Hz}}$
, the swell-containing sea surface brings around
$10 \;{\rm{dB}}$
loss to a distance of
$70 \;{\rm{km}}$
. For the two kinds of rough sea surfaces, rays at launch angles of
$\pm 1^{\circ}, 0^{\circ}$
are plotted to examine their effects on sound propagation. The results indicate that the swell-containing sea surface which has greater roughness makes rays go toward the sea bottom, thus resulting in larger loss. Therefore, in order to investigate the characteristics of the sound field in the northern South China Sea in winter, especially with high frequency sound signals, the influences of not only winds and waves, but also the swells from the surrounding sea should be taken into consideration. It is important to study the characteristics of sound propagation with swells for improving the performance of sonar equipment in poor sea conditions.