-
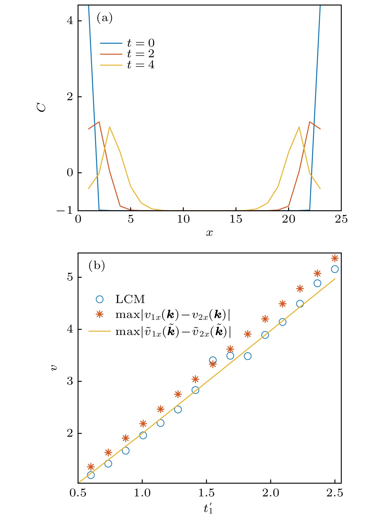
非厄米拓扑系统的拓扑不变量可以由定义在双正交基下的局域拓扑指标刻画. 不同于厄米体系, 非厄米局域拓扑指标在动力学过程中的传播和演化目前还未见文献讨论. 本文研究非厄米拓扑体系局域拓扑指标的动力学特性, 重点关注淬火过程中, 局域拓扑指标由边界向体内的传播. 结果表明, 当淬火前后的体系拓扑性质不同时, 系统中存在局域拓扑指标的流动, 其流速与体系群速度相关, 但具体形式与相应厄米体系不同. 以3个具体模型为例, 通过数值计算说明了这一结论. 其中, 对于特定具有非厄米趋肤效应的模型, 可以发现局域拓扑指标的流速上限与广义布里渊区中的群速度直接相关. 但这一关系在其他非厄米模型中则需要修正, 其更普适的形式有待进一步研究. 本文的结果揭示了非厄米体系中局域拓扑指标传播的复杂性, 是进一步理解非厄米局域拓扑指标动力学行为的基础.
Topological invariants of non-Hermitian topological systems can be captured by local topological markers defined on the biorthogonal basis. However, unlike the scenario of Hermitian systems, the dynamics of non-Hermitian local topological marker has not yet received much attention so far. Here in this work, we study the dynamic features of local topological markers in non-Hermitian topological systems. In particular, we focus on the propagation of non-Hermitian topological markers in quench dynamics. We find that for the dynamics with topologically distinct pre- and post-quench Hamiltonians, a flow of local topological markers emerges in the bulk, with its propagation speed related to the maximum group velocity. Taking three different non-Hermitian topological models for example, we numerically calculate the propagation speed, and demonstrate that a simple universal relation between the propagation speed and group velocity does not exist, which is unlike the scenarios in previously studied Hermitian systems. Our results reveal the complexity of the local-topological-marker dynamics in non-Hermitian settings, and would stimulate further study on the matter. -
Keywords:
- non-Hermitian topology/
- quench dynamics/
- open systems
[1] [2] [3] [4] [5] [6] [7] [8] [9] [10] [11] [12] [13] [14] [15] [16] [17] [18] [19] [20] [21] [22] [23] [24] [25] [26] [27] [28] [29] [30] [31] [32] [33] [34] [35] [36] [37] [38] -
[1] [2] [3] [4] [5] [6] [7] [8] [9] [10] [11] [12] [13] [14] [15] [16] [17] [18] [19] [20] [21] [22] [23] [24] [25] [26] [27] [28] [29] [30] [31] [32] [33] [34] [35] [36] [37] [38]
计量
- 文章访问数:6066
- PDF下载量:415
- 被引次数:0












下载:


