2024 Vol. 73, No. 16
column
- The 90th Anniversary ofActa Physica Sinica·COVER ARTICLE
- GENERAL
- ATOMIC AND MOLECULAR PHYSICS
- ELECTROMAGNETISM, OPTICS, ACOUSTICS, HEAT TRANSFER, CLASSICAL MECHANICS, AND FLUID DYNAMICS
- PHYSICS OF GASES, PLASMAS, AND ELECTRIC DISCHARGES
- CONDENSED MATTER: ELECTRONIC STRUCTURE, ELECTRICAL, MAGNETIC, AND OPTICAL PROPERTIES
- INTERDISCIPLINARY PHYSICS AND RELATED AREAS OF SCIENCE AND TECHNOLOGY
- GEOPHYSICS, ASTRONOMY, AND ASTROPHYSICS
Display Method:
2024, 73(16): 164204.
doi:10.7498/aps.73.20240791
Abstract:
Quantum light sources are one of key devices for quantum information processing, and they are also the important foundation for applications such as in quantum computing, quantum communication, and quantum simulation. Improving the capacity of quantum information coding by using the quantum light source is a major challenge in the development of quantum information technology. Photons with a helical phase front can carry a discrete, unlimited but quantized amount of orbital angular momentum (OAM). The infinite number of states with different OAMs can greatly increase the capacity of optical communication and information processing in quantum regimes. To date photons carrying OAM have mainly been generated by using bulk crystals, which limits the efficiency and the scalability of the source. With the advancement of quantum photonic technology, many significant quantum photonic devices can now be realized on integrated chips. However, creating high-dimensional OAM quantum states at a micro-nano scale is still a challenge. And the research of harnessing high-dimensional OAM mode by using integrated quantum photonic technologies is still in its infancy. Here, the authors review the recent progress and discuss the integrated quantum light sources with OAM. The authors introduce the research progress of using OAM for both single photons and entangled photons and emphasize the exciting work on pushing boundaries in high-dimensional quantum states. This may pave the way for the research and practical applications of high-dimensional quantum light sources.
Quantum light sources are one of key devices for quantum information processing, and they are also the important foundation for applications such as in quantum computing, quantum communication, and quantum simulation. Improving the capacity of quantum information coding by using the quantum light source is a major challenge in the development of quantum information technology. Photons with a helical phase front can carry a discrete, unlimited but quantized amount of orbital angular momentum (OAM). The infinite number of states with different OAMs can greatly increase the capacity of optical communication and information processing in quantum regimes. To date photons carrying OAM have mainly been generated by using bulk crystals, which limits the efficiency and the scalability of the source. With the advancement of quantum photonic technology, many significant quantum photonic devices can now be realized on integrated chips. However, creating high-dimensional OAM quantum states at a micro-nano scale is still a challenge. And the research of harnessing high-dimensional OAM mode by using integrated quantum photonic technologies is still in its infancy. Here, the authors review the recent progress and discuss the integrated quantum light sources with OAM. The authors introduce the research progress of using OAM for both single photons and entangled photons and emphasize the exciting work on pushing boundaries in high-dimensional quantum states. This may pave the way for the research and practical applications of high-dimensional quantum light sources.
2024, 73(16): 160301.
doi:10.7498/aps.73.20240450
Abstract:
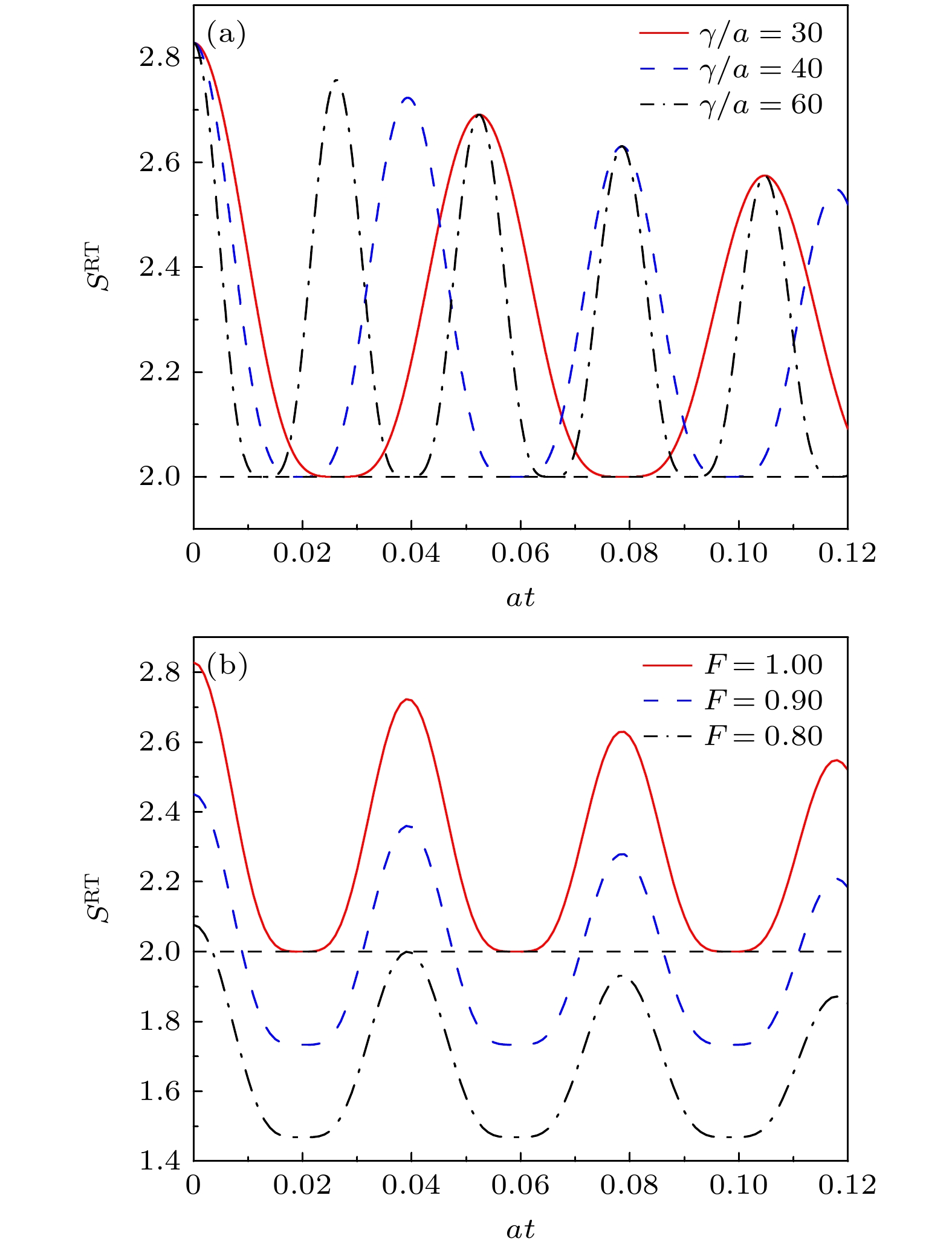
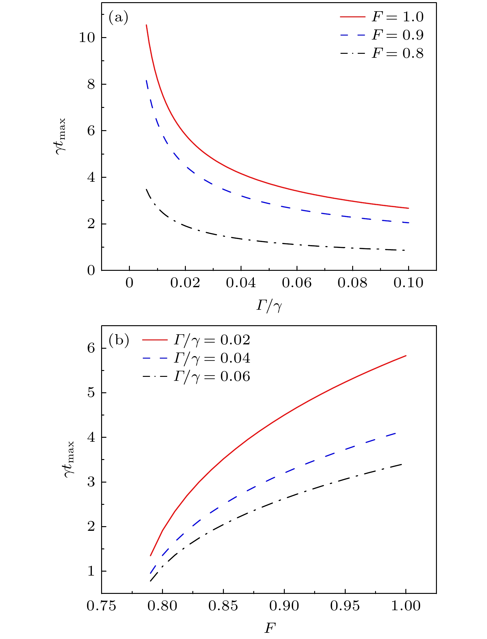
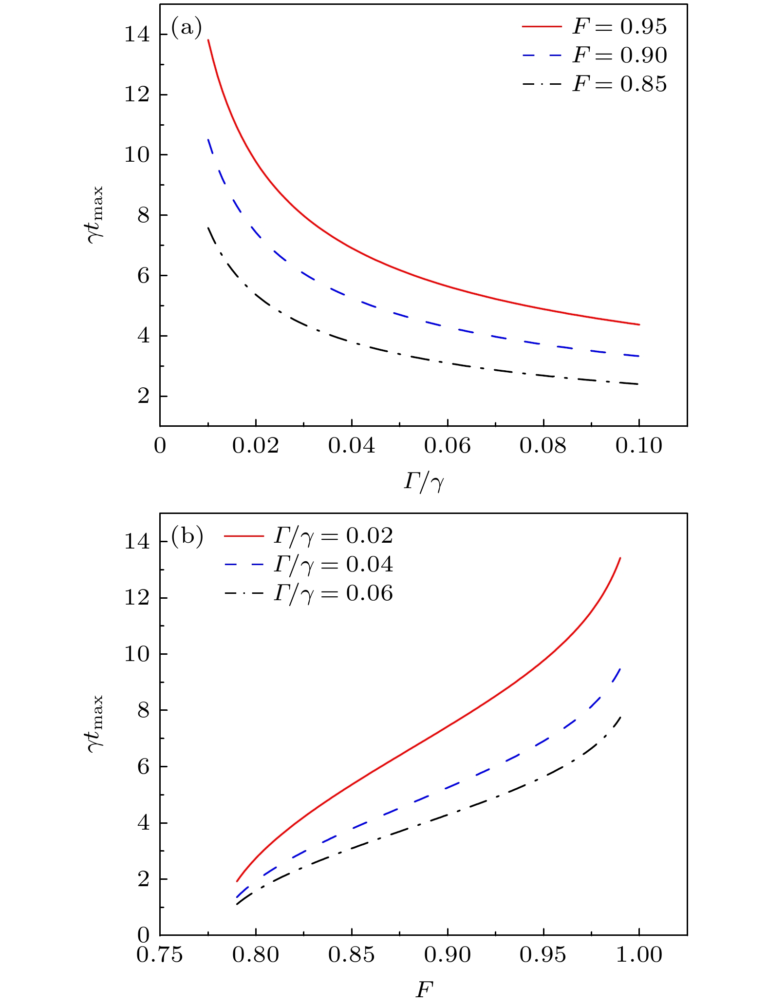
Research on whether quantum states retain quantum non-local correlation properties after evolving in non-Markovian environments has significant applications in the field of quantum information. In this work, we investigate the density matrix of quantum states evolving with time in various non-Markovian environments. Specifically, we examine two types of non-Markovian phase damping environments, namely random telegraph (RT) noise environment and Ornstein-Uhlenbeck (OU) noise environment, and non-Markovian amplitude damping (AD) environment. By utilizing the Clauser-Horne-Shimony-Holt (CHSH) inequality, a quantum non-local correlation testing of the Werner state after its evolution in these non-Markovian environments is conducted. The results show significant differences in the quantum non-local correlation testing results of the Werner state after evolving in different non-Markovian environments. Notably, the Werner state displays information backflow in the RT noise environment and the AD environment, resulting in periodic oscillations in its quantum non-local correlation testing. This suggests that under certain conditions, the quantum state can transition from a state without quantum non-local correlation back to a state with such a correlation as evolution time progresses. The results also show that the Werner state exhibits the information about backflow phenomena in RT noise environment and AD environment, leading to periodic oscillations in its quantum non-local correlation testing. Furthermore, these periods are inversely proportional to certain parameters, such as
\begin{document}$\sqrt {{{\left( {{{2\gamma } \mathord{\left/ {\vphantom {{2\gamma } a}} \right. } a}} \right)}^2} - 1} $\end{document}
and
\begin{document}$ \sqrt {2{\varGamma \mathord{\left/ {\vphantom {\varGamma \gamma }} \right. } \gamma } - {{\left( {{\varGamma \mathord{\left/ {\vphantom {\varGamma \gamma }} \right. } \gamma }} \right)}^2}} $\end{document}
. On the contrary, in the OU noise environment, no information about backflow is obtained, thereby leading the value of the quantum non-local correlation test to increase with evolution time increasing. In most of AD and OU noise environments, there exists a specific maximum evolution time
\begin{document}$\gamma {t_{\max }}$\end{document}
in which successful quantum non-local correlation testing can be conducted. This maximum evolution time
\begin{document}$\gamma {t_{\max }}$\end{document}
shows a nonlinear variation with fidelity increasing and an inverse variation with
\begin{document}$\varGamma /\gamma $\end{document}
parameter increasing. In comparison, the maximum evolution time for successful quantum non-local correlation testing in the OU noise environment exceeds that in the AD environment under the same conditions, indicating that the AD environment exerts a more pronounced weakening effect on the quantum non-local correlation properties of the Werner state.
Research on whether quantum states retain quantum non-local correlation properties after evolving in non-Markovian environments has significant applications in the field of quantum information. In this work, we investigate the density matrix of quantum states evolving with time in various non-Markovian environments. Specifically, we examine two types of non-Markovian phase damping environments, namely random telegraph (RT) noise environment and Ornstein-Uhlenbeck (OU) noise environment, and non-Markovian amplitude damping (AD) environment. By utilizing the Clauser-Horne-Shimony-Holt (CHSH) inequality, a quantum non-local correlation testing of the Werner state after its evolution in these non-Markovian environments is conducted. The results show significant differences in the quantum non-local correlation testing results of the Werner state after evolving in different non-Markovian environments. Notably, the Werner state displays information backflow in the RT noise environment and the AD environment, resulting in periodic oscillations in its quantum non-local correlation testing. This suggests that under certain conditions, the quantum state can transition from a state without quantum non-local correlation back to a state with such a correlation as evolution time progresses. The results also show that the Werner state exhibits the information about backflow phenomena in RT noise environment and AD environment, leading to periodic oscillations in its quantum non-local correlation testing. Furthermore, these periods are inversely proportional to certain parameters, such as
2024, 73(16): 160302.
doi:10.7498/aps.73.20240665
Abstract:
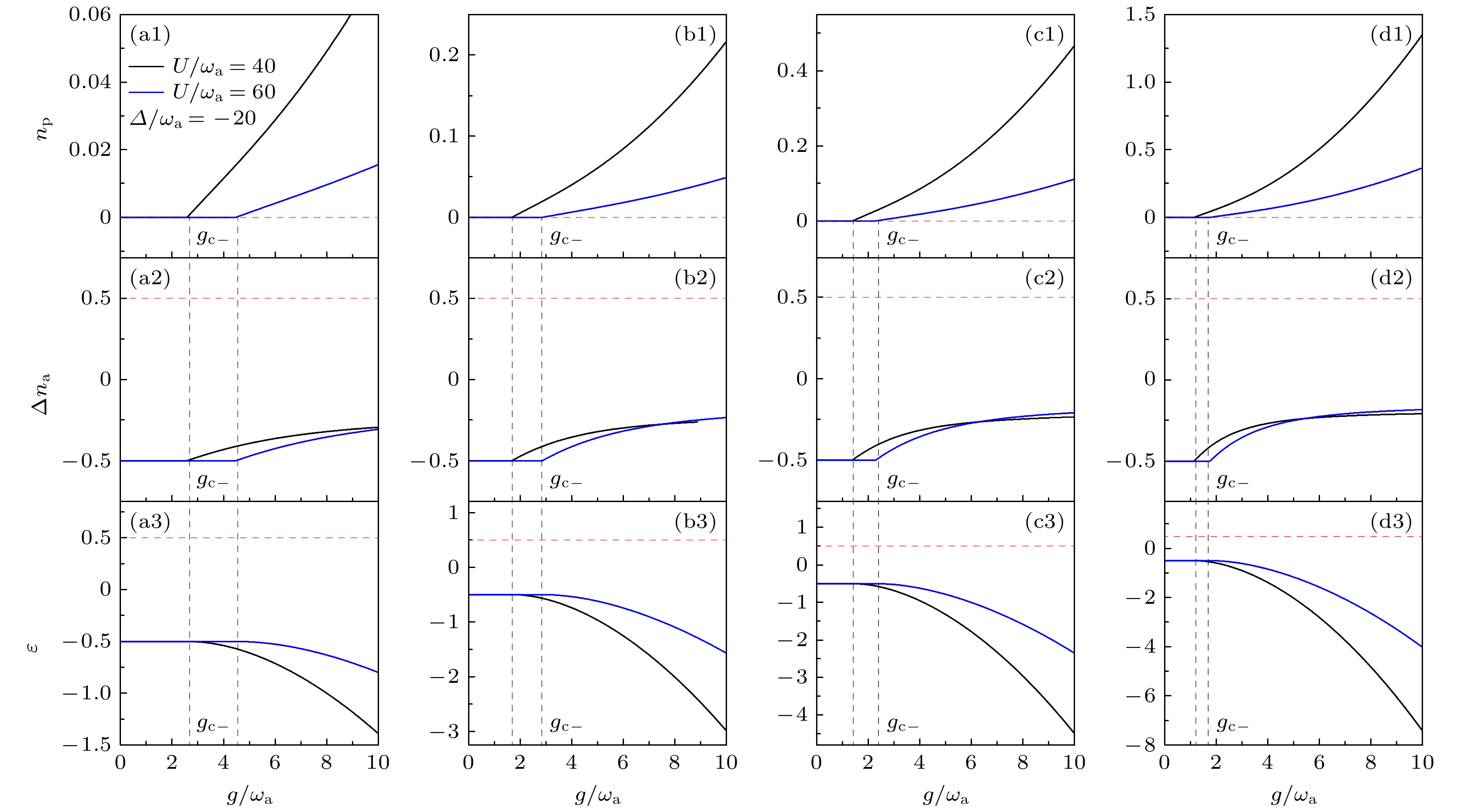
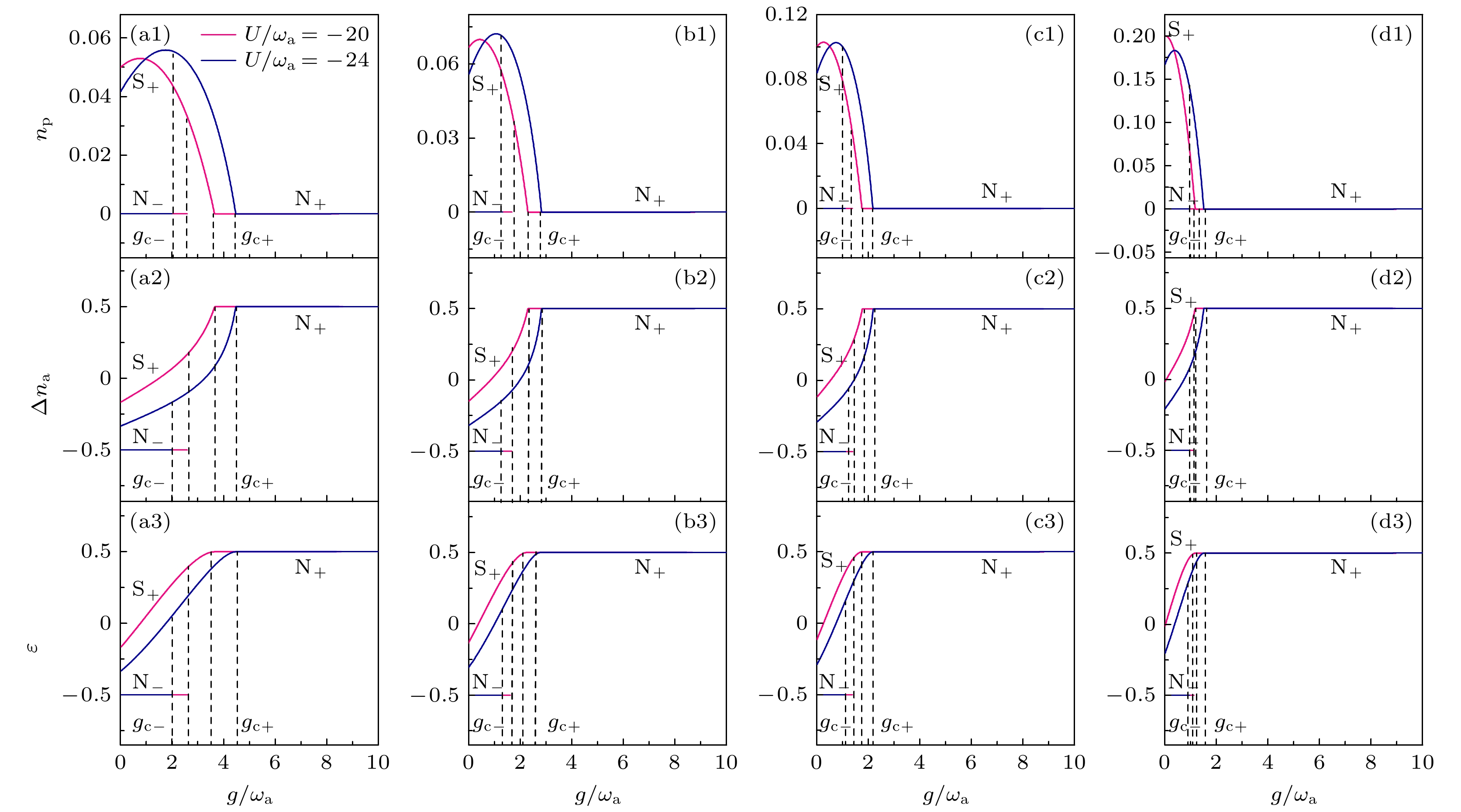
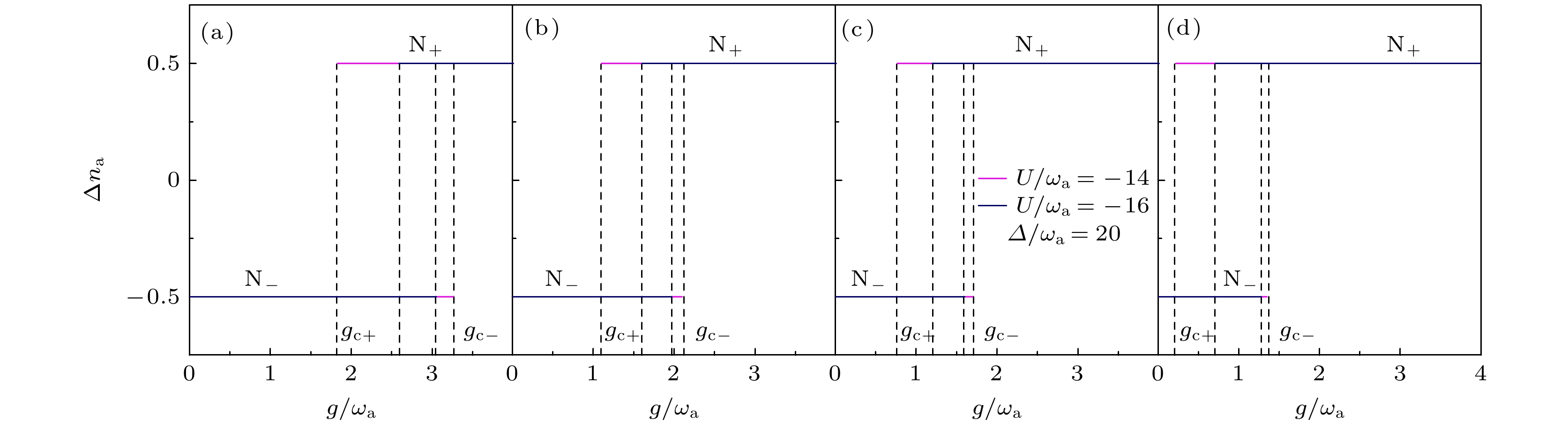
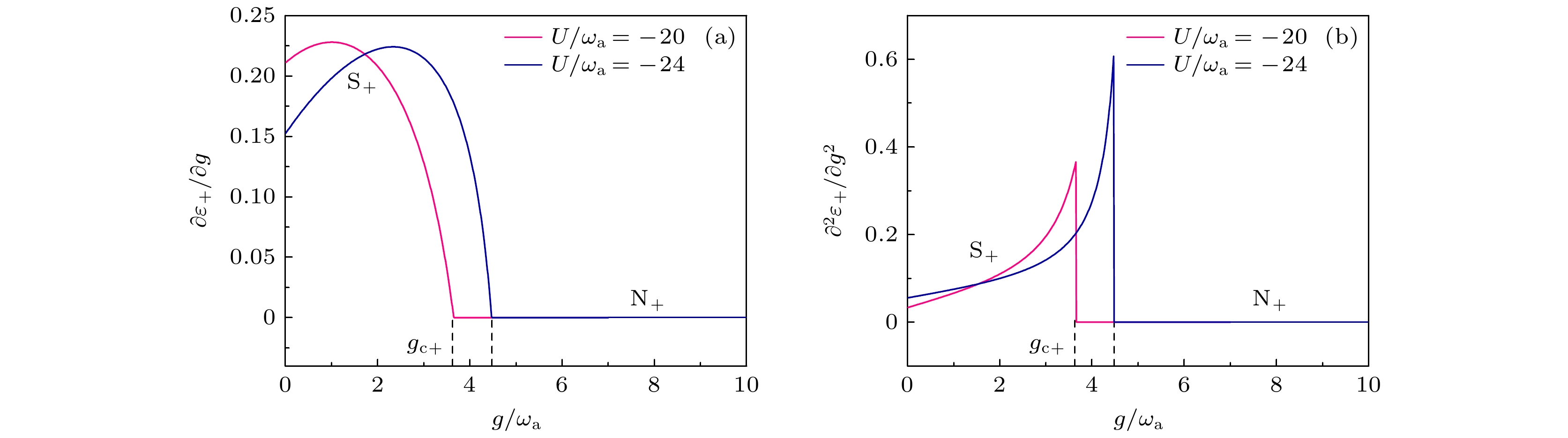
Quantum phase transition is an important subject in the field of quantum optics and condensed matter physics. In this work, we study the quantum phase transition of the two-mode Dicke model by using the nonlinear atom-light interaction introduced into the interaction between one mode light field and atom. The spin coherent variational method is used to study macroscopic multi-particle quantum systems. Firstly, the pseudo spin operator is diagonalized to obtain the variational fundamental state energy functional by means of spin coherent state transformation under the condition of coherent state light field. The energy functional is used to find the extreme value of the classical field variable, and the second derivative is determined to find the minimum value, and finally the exact solution of the ground state energy is given. Four different proportional relationships are used to study the two-mode optical field, and the rich structure of macroscopic multi-particle quantum states is given by adjusting atom-optical nonlinear interaction parameters under the experimental parameters. The abundant ground state properties such as bistable normal phase, coexisting normal-superradiation and atomic population inversion under blue and red detuning are presented. The nonlinear atom-light interaction causes blue detuning, and there is also a second-order quantum phase transition from the normal phase to the superradiation phase in the standard two-mode Dicke model. In the case of red detuning, a novel and stable reversed superradiation phase also appears. With the increase of the coupling coefficient, the reversed superradiation phase is transformed into the reversed normal phase. The nonlinear interaction between atoms and light and the different ratio of two modes of light field have great influence on the phase boundary of quantum phase transition, and the region of quantum state, as shown in Fig. (a)–(d).
When the nonlinear interaction takes two definite values, the curve of the ground state physical parameters changing with the coupling parameters of atoms and light also reflects the novel second-order inverse quantum phase transition from the reversed superradiation phase to the reversed normal phase in red detuning, as shown in Fig. (a1)–(d3).
2024, 73(16): 160501.
doi:10.7498/aps.73.20240852
Abstract:
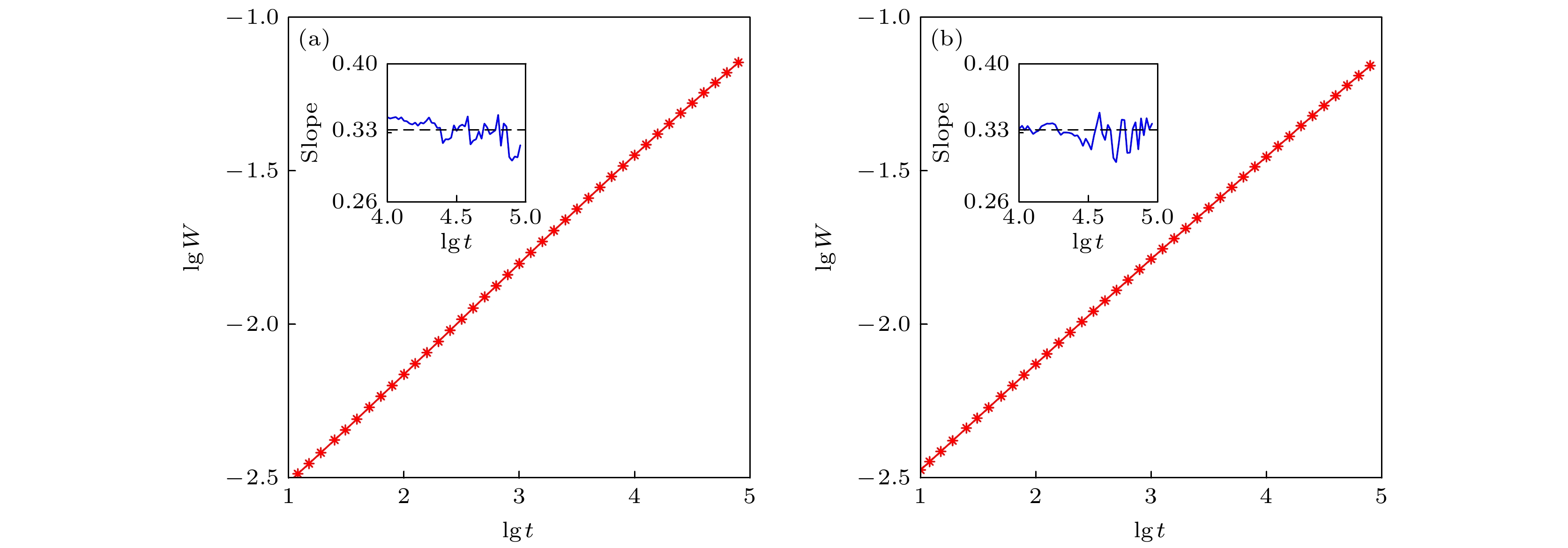
The Villain-Lai-Das Sarma (VLDS) equation has received much attention in surface growth dynamics due to its effective description of molecular beam epitaxy (MBE) growth process. However, the scaling exponent of the VLDS equation driven by long-range correlated noise is still unclear, because different analytical approximation methods yield inconsistent results. The nonlinear term in the VLDS equation challenges the numerical simulation methods, which often leads to the problem of numerical divergence. In the existing numerical approaches, the exponential decay techniques are mainly used to replace nonlinear terms to alleviate the numerical divergence. However, recent studies have shown that these methods may change the scaling exponent and universality class of the growth system. Therefore, we propose a novel deep neural network-based method to address this problem in this work. First, we construct a fully convolutional neural network to characterize the deterministic terms in the VLDS equation. To train the neural network, we generate training data by using the traditional finite-difference method before numerical divergence occurs. Then, we train the neural network to represent the deterministic terms, and perform simulations of VLDS driven by long-range temporally and spatially correlated noises based on the neural networks. The simulation results demonstrate that the deep neural networks constructed here possess good numerical stability. It can obtain reliable scaling exponents of the VLDS equation driven by different uncorrelated noise and correlated noise. Furthermore, in this work, it is also found that the VLDS system driven by long-range correlated noise exhibits a mound-like morphology when the temporal correlation exponent is large enough, while the growing surface morphology driven by spatially correlated noise still presents a self-affine fractal structure, independent of the spatial correlation exponent.
The Villain-Lai-Das Sarma (VLDS) equation has received much attention in surface growth dynamics due to its effective description of molecular beam epitaxy (MBE) growth process. However, the scaling exponent of the VLDS equation driven by long-range correlated noise is still unclear, because different analytical approximation methods yield inconsistent results. The nonlinear term in the VLDS equation challenges the numerical simulation methods, which often leads to the problem of numerical divergence. In the existing numerical approaches, the exponential decay techniques are mainly used to replace nonlinear terms to alleviate the numerical divergence. However, recent studies have shown that these methods may change the scaling exponent and universality class of the growth system. Therefore, we propose a novel deep neural network-based method to address this problem in this work. First, we construct a fully convolutional neural network to characterize the deterministic terms in the VLDS equation. To train the neural network, we generate training data by using the traditional finite-difference method before numerical divergence occurs. Then, we train the neural network to represent the deterministic terms, and perform simulations of VLDS driven by long-range temporally and spatially correlated noises based on the neural networks. The simulation results demonstrate that the deep neural networks constructed here possess good numerical stability. It can obtain reliable scaling exponents of the VLDS equation driven by different uncorrelated noise and correlated noise. Furthermore, in this work, it is also found that the VLDS system driven by long-range correlated noise exhibits a mound-like morphology when the temporal correlation exponent is large enough, while the growing surface morphology driven by spatially correlated noise still presents a self-affine fractal structure, independent of the spatial correlation exponent.
2024, 73(16): 160502.
doi:10.7498/aps.73.20240784
Abstract:
Many active substances in nature are in complex environments, such as animal populations passing through the jungles, microorganisms migrating in the soil, and bacteria designed to sense the porous environment of tumors. The behavior of active substances in complex environments is a subject worth exploring, because they have great application significance in biophysics, medical engineering, and industrial fields. In this work, we use active dumbbells to represent bacteria and other active substances with shape anisotropy, and use Langevin dynamics simulation to study their permeation behaviors in finite porous media. We find that under low temperature and appropriate activity, active dumbbells can aggregate inside and outside the medium and form four stable aggregation structures, they being hollow giant aggregation, hollow aggregation in medium, dense giant aggregation, and dense aggregation in medium. The aggregation is caused by the small space of the medium region, and the geometric trap is easily formed when the active dumbbells meet in the medium. Unlike motility-induced phase separation, the formation of such an aggregation relies on the assistance of obstacles. The persistence of directional motion determines the degree of aggregation of active dumbbells. There are significant differences among the four aggregation structures in density distribution, polar order parameter, and thermodynamic temperature inside and outside the medium. Under certain conditions, the disorder of medium arrangement can promote the aggregation behavior of active dumbbells, and the increase of lattice constant makes it easier for active dumbbells to form dense aggregation. Our research findings contribute to a more in-depth understanding of the life activities of active substances in complex environments, thus providing new ideas for designing microfluidic devices, drug delivery and other medical operations.
Many active substances in nature are in complex environments, such as animal populations passing through the jungles, microorganisms migrating in the soil, and bacteria designed to sense the porous environment of tumors. The behavior of active substances in complex environments is a subject worth exploring, because they have great application significance in biophysics, medical engineering, and industrial fields. In this work, we use active dumbbells to represent bacteria and other active substances with shape anisotropy, and use Langevin dynamics simulation to study their permeation behaviors in finite porous media. We find that under low temperature and appropriate activity, active dumbbells can aggregate inside and outside the medium and form four stable aggregation structures, they being hollow giant aggregation, hollow aggregation in medium, dense giant aggregation, and dense aggregation in medium. The aggregation is caused by the small space of the medium region, and the geometric trap is easily formed when the active dumbbells meet in the medium. Unlike motility-induced phase separation, the formation of such an aggregation relies on the assistance of obstacles. The persistence of directional motion determines the degree of aggregation of active dumbbells. There are significant differences among the four aggregation structures in density distribution, polar order parameter, and thermodynamic temperature inside and outside the medium. Under certain conditions, the disorder of medium arrangement can promote the aggregation behavior of active dumbbells, and the increase of lattice constant makes it easier for active dumbbells to form dense aggregation. Our research findings contribute to a more in-depth understanding of the life activities of active substances in complex environments, thus providing new ideas for designing microfluidic devices, drug delivery and other medical operations.
Manipulating nonsequential double ionization of atoms by parallel polarized three-color laser fields
2024, 73(16): 163201.
doi:10.7498/aps.73.20240737
Abstract:
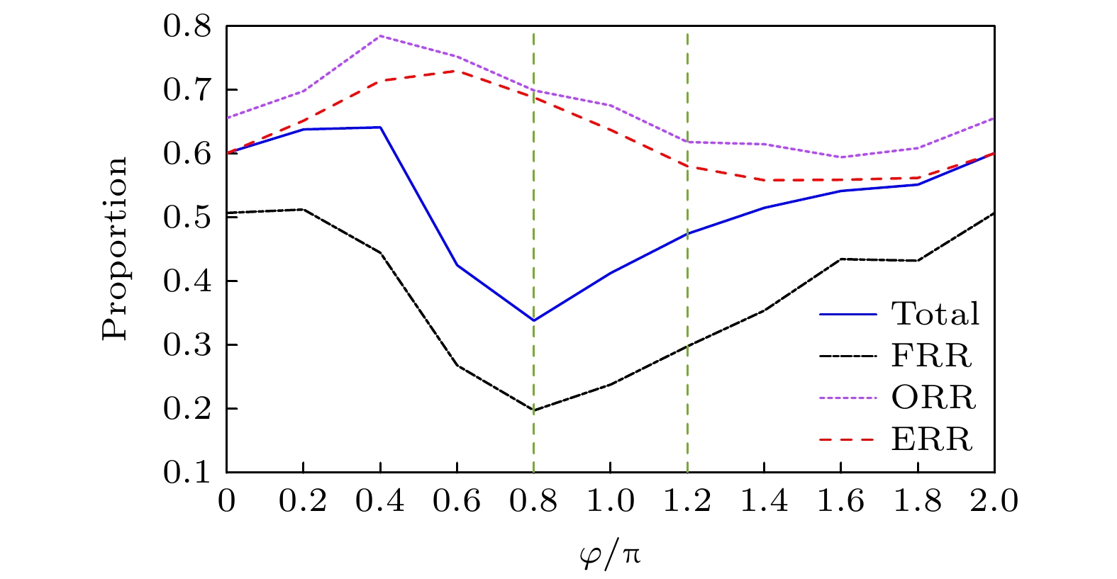
Nonsequential double ionization (NSDI) of He atoms in a parallel polarized three-color field is investigated by using a three-dimensional classical ensemble model. The driving field is composed of 1600-nm and 800-nm laser pulses with equal intensity. A weak 400-nm laser pulse is used as a controlling field. The results indicate that in the correlated electron momentum distribution and ion momentum distribution, the electron pairs and ions of the first returning recollision (FRR) trajectory, the odd-returning recollision (ORR) trajectory (excluding FRR), and the even-returning recollision (ERR) trajectory are located in different regions separated well from each other. The electron pairs from FRR trajectories mainly distribute around the origin, and those electron pairs from ORR and ERR trajectories respectively cluster in the first quadrant and the third quadrant. With the increase of the phase of the controlling field, the proportion of FRR trajectories in NSDI first increases and then decreases, and the proportions of those trajectories with the returning number more than one first decrease and then increase, which leads to the fact that with the increase of the phase of the controlling field, the anticorrelated emissions first increase and then decrease and correspondingly the ion momentum distribution evolves from a double-hump to a triple-hump and then to a double-hump structure. Moreover, NSDI from multiple-returning recollision trajectories mainly occur through recollision-induced direct ionization (RDI) mechanism, while NSDI from the FRR trajectories mainly occurs through recollision-induced excitation with subsequent ionization (RESI) mechanism. Thus the dominant NSDI ionization mechanism can also be controlled by changing the phase of the controlling field.
Nonsequential double ionization (NSDI) of He atoms in a parallel polarized three-color field is investigated by using a three-dimensional classical ensemble model. The driving field is composed of 1600-nm and 800-nm laser pulses with equal intensity. A weak 400-nm laser pulse is used as a controlling field. The results indicate that in the correlated electron momentum distribution and ion momentum distribution, the electron pairs and ions of the first returning recollision (FRR) trajectory, the odd-returning recollision (ORR) trajectory (excluding FRR), and the even-returning recollision (ERR) trajectory are located in different regions separated well from each other. The electron pairs from FRR trajectories mainly distribute around the origin, and those electron pairs from ORR and ERR trajectories respectively cluster in the first quadrant and the third quadrant. With the increase of the phase of the controlling field, the proportion of FRR trajectories in NSDI first increases and then decreases, and the proportions of those trajectories with the returning number more than one first decrease and then increase, which leads to the fact that with the increase of the phase of the controlling field, the anticorrelated emissions first increase and then decrease and correspondingly the ion momentum distribution evolves from a double-hump to a triple-hump and then to a double-hump structure. Moreover, NSDI from multiple-returning recollision trajectories mainly occur through recollision-induced direct ionization (RDI) mechanism, while NSDI from the FRR trajectories mainly occurs through recollision-induced excitation with subsequent ionization (RESI) mechanism. Thus the dominant NSDI ionization mechanism can also be controlled by changing the phase of the controlling field.
2024, 73(16): 164201.
doi:10.7498/aps.73.20240690
Abstract:
The control of parity-time (PT) symmetry in cosmic-time PT symmetry system is of great significance, but the experimental realization of such an optical configuration using current technology faces enormous challenges. On the contrary, the periodic modulation method is a more feasible alternative. It is worth noting that periodic modulation in optical system is mainly performed through the cyclic change of complex refractive index materials. Unlike the traditional method of aligning periodically modulated waveguides in parallel to gain-dissipative waveguides to satisfy PT symmetry, an innovative physical model introduced in this work, features the cross-placement of these waveguides, marking it the first instance to use this configuration to manipulate PT symmetry. In this work, the influence of periodic modulation on the energy spectrum of the system in the high-frequency approximation is studied, and the dynamical evolution of light in a non-Hermitian four-channel optical waveguide is elucidated through a synergistic method of combining analytical method and numerical method. Adjusting the modulation parameterA/ωreveals a dual capability: it modulates the range of the real energy spectrum and precisely controls the PT symmetry of the system. Notably, atA/ω= 0, this structure exhibits a completely real energy spectrum, which is different from the traditional parallel four-channel waveguide configuration. Furthermore, asA/ωvaries from 0 to 2.4, the relative intensity and optical periodicity in each waveguide exhibit enhanced stability compared with their traditionally arranged counterparts. Furthermore, our examination of PT symmetry’s effect on light tunneling dynamics in individual waveguide reveals that in the unbroken PT symmetry phase, light oscillates periodically between waveguides, whereas in the broken PT symmetry phase, light propagation in each waveguide becomes stable. In the presence of waveguide coupling, it is observed that each waveguide in the system can obtain steady-state light regardless of the initial light injection point. Furthermore, under weak coupling between the gain-dissipative two-channel waveguide and the neutral waveguide, light, regardless of its entry point, will localize in the gain waveguide with propagation distance, disappear from other waveguides, and ultimately reach a steady-state configuration. The findings reveal that unlike the scenario of traditional four-channel optical waveguide system, the periodic modulation not only narrows the range of existence for the fully real energy spectrum but also enables its earlier observation. Furthermore, the relative light intensity and optical periodicity in the four-channel waveguide exhibit greater stability against variations of modulation parameters. Hence, this theoretical exploration not only profoundly summarizes the universal principle of PT-symmetric tetramers, but also elucidates that spontaneous PT symmetry breaking greatly changes the optical transmission characteristics, transforming periodic light propagation into steady-state illumination, and providing an enhanced and more robust configuration for the manipulation of PT symmetry.
The control of parity-time (PT) symmetry in cosmic-time PT symmetry system is of great significance, but the experimental realization of such an optical configuration using current technology faces enormous challenges. On the contrary, the periodic modulation method is a more feasible alternative. It is worth noting that periodic modulation in optical system is mainly performed through the cyclic change of complex refractive index materials. Unlike the traditional method of aligning periodically modulated waveguides in parallel to gain-dissipative waveguides to satisfy PT symmetry, an innovative physical model introduced in this work, features the cross-placement of these waveguides, marking it the first instance to use this configuration to manipulate PT symmetry. In this work, the influence of periodic modulation on the energy spectrum of the system in the high-frequency approximation is studied, and the dynamical evolution of light in a non-Hermitian four-channel optical waveguide is elucidated through a synergistic method of combining analytical method and numerical method. Adjusting the modulation parameterA/ωreveals a dual capability: it modulates the range of the real energy spectrum and precisely controls the PT symmetry of the system. Notably, atA/ω= 0, this structure exhibits a completely real energy spectrum, which is different from the traditional parallel four-channel waveguide configuration. Furthermore, asA/ωvaries from 0 to 2.4, the relative intensity and optical periodicity in each waveguide exhibit enhanced stability compared with their traditionally arranged counterparts. Furthermore, our examination of PT symmetry’s effect on light tunneling dynamics in individual waveguide reveals that in the unbroken PT symmetry phase, light oscillates periodically between waveguides, whereas in the broken PT symmetry phase, light propagation in each waveguide becomes stable. In the presence of waveguide coupling, it is observed that each waveguide in the system can obtain steady-state light regardless of the initial light injection point. Furthermore, under weak coupling between the gain-dissipative two-channel waveguide and the neutral waveguide, light, regardless of its entry point, will localize in the gain waveguide with propagation distance, disappear from other waveguides, and ultimately reach a steady-state configuration. The findings reveal that unlike the scenario of traditional four-channel optical waveguide system, the periodic modulation not only narrows the range of existence for the fully real energy spectrum but also enables its earlier observation. Furthermore, the relative light intensity and optical periodicity in the four-channel waveguide exhibit greater stability against variations of modulation parameters. Hence, this theoretical exploration not only profoundly summarizes the universal principle of PT-symmetric tetramers, but also elucidates that spontaneous PT symmetry breaking greatly changes the optical transmission characteristics, transforming periodic light propagation into steady-state illumination, and providing an enhanced and more robust configuration for the manipulation of PT symmetry.
2024, 73(16): 164202.
doi:10.7498/aps.73.20240184
Abstract:
The best carrier for quantum information transmission is light signal, which has a fast propagation speed and can carry a large amount of information. However, during the propagation of light, dispersion effect and diffraction effect can cause quantum information to be distorted to a certain extent. On the contrary, optical solitons are formed due to the balance between the system’s dispersion (diffraction) effect and nonlinear effect, and they exhibit very high stability and fidelity. Therefore, they have received widespread attention in electromagnetically induced transparency (EIT) media with ultracold atoms. However, cold atomic gas media require extremely low operating temperatures, and the performances of the materials are difficult to control precisely. These factors are unfavorable for the miniaturization and integration of future information devices, thus significantly limiting their practical applications. Semiconductor quantum dot media, on the other hand, possess advantages such as discrete energy level structures and spectral properties similar to those of cold atomic gases, longer decoherence times, larger electric dipole moments, more significant nonlinear optical effects, and easy integration, making them an ideal alternative to cold atomic media. In this work, semiconductor quantum dots are coupled with optical fibers, the most common carrier in optical communication, to explore the formation, storage, and retrieval of temporal optical solitons in the coupled system. The results show that due to the tunneling-induced transparency effect between dots in semiconductor quantum dot molecules, light absorption in the system is greatly suppressed. At the same time, the transverse confinement of the nanofiber can enhance the interaction between light and the system, and the enhanced nonlinear response of the system can balance the dispersion effect, resulting in stable temporal optical solitons. Further research indicates that by turning on and off the inter-dot tunneling coupling, the high-efficiency and high-fidelity storage and retrieval of optical solitons can be realized in the system. These findings have certain guiding significance and potential application value for the processing all-optical information in solid quantum materials.
The best carrier for quantum information transmission is light signal, which has a fast propagation speed and can carry a large amount of information. However, during the propagation of light, dispersion effect and diffraction effect can cause quantum information to be distorted to a certain extent. On the contrary, optical solitons are formed due to the balance between the system’s dispersion (diffraction) effect and nonlinear effect, and they exhibit very high stability and fidelity. Therefore, they have received widespread attention in electromagnetically induced transparency (EIT) media with ultracold atoms. However, cold atomic gas media require extremely low operating temperatures, and the performances of the materials are difficult to control precisely. These factors are unfavorable for the miniaturization and integration of future information devices, thus significantly limiting their practical applications. Semiconductor quantum dot media, on the other hand, possess advantages such as discrete energy level structures and spectral properties similar to those of cold atomic gases, longer decoherence times, larger electric dipole moments, more significant nonlinear optical effects, and easy integration, making them an ideal alternative to cold atomic media. In this work, semiconductor quantum dots are coupled with optical fibers, the most common carrier in optical communication, to explore the formation, storage, and retrieval of temporal optical solitons in the coupled system. The results show that due to the tunneling-induced transparency effect between dots in semiconductor quantum dot molecules, light absorption in the system is greatly suppressed. At the same time, the transverse confinement of the nanofiber can enhance the interaction between light and the system, and the enhanced nonlinear response of the system can balance the dispersion effect, resulting in stable temporal optical solitons. Further research indicates that by turning on and off the inter-dot tunneling coupling, the high-efficiency and high-fidelity storage and retrieval of optical solitons can be realized in the system. These findings have certain guiding significance and potential application value for the processing all-optical information in solid quantum materials.
2024, 73(16): 164203.
doi:10.7498/aps.73.20240223
Abstract:
According to the absorption spectra of Dy3+, Na+: PbGa2S4crystal elements, as well as the theoretical calculations obtained from Judd-Ofelt analysis, we derive partial fluorescence absorption and emission cross sections. For energy levels that cannot be directly measured, we employ the reciprocal method to calculate their respective absorption cross-section and emission cross-section. Combing the experimental measurements and the calculation results, the experimental setup, which can generate a 4.3-μm mid-infrared laser through directly pumping dysprosium and Dy3+, Na+: PbGa2S4crystals by 1.3 μm and 1.7 μm diode lasers, is investigated through numerical simulation. The spatial distributions of laser power, gain coefficient, and absorption coefficient within the crystal are obtained through numerical calculation. Furthermore, the effects of pumping power, crystal length, and output mirror reflectance on laser performance are analyzed. In this model, a 2.9-μm laser oscillation is introduced in the optical path and the changes of output power before and after introduction are observed. Our results demonstrate that the introduction of 2.9-μm laser oscillation effectively facilitates the particle number transfer from the6H13/2level to the ground state6H15/2, thereby reducing the self-terminating phenomenon during the transition between the6H11/2and6H13/2levels, and enhancing both output power and slope efficiency of the laser system. Numerical results indicate that maximum power output for the 1.3μm diode laser pumping is achieved at 103 mW with a pumping threshold of 12 mW and a slope efficiency of 2.8%, while for the 1.7-μm diode laser pumping, the power output reaches up to 315 mW with a pumping threshold of 46 mW and a slope efficiency of 8%. Additionally, the calculation results show that the optimal crystal length is 17 mm for the 1.3 μm diode laser pumping, and 32 mm for the 1.7 μm diode laser pumping. Finally, the best reflectance value for the output mirror is 0.92. These numerical results are of great significance for guiding the crystal processing and the selection of optical path structure parameters.
According to the absorption spectra of Dy3+, Na+: PbGa2S4crystal elements, as well as the theoretical calculations obtained from Judd-Ofelt analysis, we derive partial fluorescence absorption and emission cross sections. For energy levels that cannot be directly measured, we employ the reciprocal method to calculate their respective absorption cross-section and emission cross-section. Combing the experimental measurements and the calculation results, the experimental setup, which can generate a 4.3-μm mid-infrared laser through directly pumping dysprosium and Dy3+, Na+: PbGa2S4crystals by 1.3 μm and 1.7 μm diode lasers, is investigated through numerical simulation. The spatial distributions of laser power, gain coefficient, and absorption coefficient within the crystal are obtained through numerical calculation. Furthermore, the effects of pumping power, crystal length, and output mirror reflectance on laser performance are analyzed. In this model, a 2.9-μm laser oscillation is introduced in the optical path and the changes of output power before and after introduction are observed. Our results demonstrate that the introduction of 2.9-μm laser oscillation effectively facilitates the particle number transfer from the6H13/2level to the ground state6H15/2, thereby reducing the self-terminating phenomenon during the transition between the6H11/2and6H13/2levels, and enhancing both output power and slope efficiency of the laser system. Numerical results indicate that maximum power output for the 1.3μm diode laser pumping is achieved at 103 mW with a pumping threshold of 12 mW and a slope efficiency of 2.8%, while for the 1.7-μm diode laser pumping, the power output reaches up to 315 mW with a pumping threshold of 46 mW and a slope efficiency of 8%. Additionally, the calculation results show that the optimal crystal length is 17 mm for the 1.3 μm diode laser pumping, and 32 mm for the 1.7 μm diode laser pumping. Finally, the best reflectance value for the output mirror is 0.92. These numerical results are of great significance for guiding the crystal processing and the selection of optical path structure parameters.
2024, 73(16): 164205.
doi:10.7498/aps.73.20240747
Abstract:
Laser is widely used in various fields such as laser processing, optical imaging, and optical trapping due to its high monochromaticity, directionality, and high energy density. However, the beam generated by the laser is a Gaussian beam with non-uniform distribution of optical energy, and this non-uniform distribution affects the interaction between the laser and the matter. Therefore, it is necessary to reshape the Gaussian beam into homogenized light spots with uniform distribution of optical energy. Laser beam homogenization method aims to change the spatial distribution of the Gaussian beam, precisely controlling the shape and intensity of the laser beam to achieve homogenized light spots. However, the existing laser beam homogenization methods encounter some problems such as complicated component preparation and poor flexibility. They also fail to address experimental errors caused by stray light and zero-order light interference, leading to discrepancies between the experimental results and the expected results. These limitations seriously restrict the widespread application of laser technology in various fields.
A laser homogenization method based on machine learning is proposed for spatial light modulator (SLM) laser homogenization in this work. The preliminary approach to laser homogenization is to generate a phase hologram by using the Gerchberg-Saxton (G-S) algorithm and modulate the incident light beam into homogenized light spots by using an SLM. However, the inherent homogenization error of the SLM prevents laser homogenization from improving uniformity. The machine learning method is proposed as a means of compensating for homogenization errors, thereby improving the uniformity of the light spot. The corresponding supervised learning regression task on the experimental dataset establishes mapping relationships between the homogenization target images and the experimental detection images. The results of homogenization error compensation are validated through experiments. Compared with the traditional SLM laser homogenization methods, the proposed method reduces the non-uniformity of the light spot by 13%. The laser homogenization method based on machine learning is an efficient way to achieve laser beam homogenization. The proposed laser beam homogenization method can serve as a reference for machine learning-based method. This method possesses significant technical value for laser applications such as laser processing, optical imaging, and optical manipulation. Furthermore, it can provide guidance and reference for utilizing artificial intelligence in addressing optical problems.
2024, 73(16): 164206.
doi:10.7498/aps.73.20240757
Abstract:
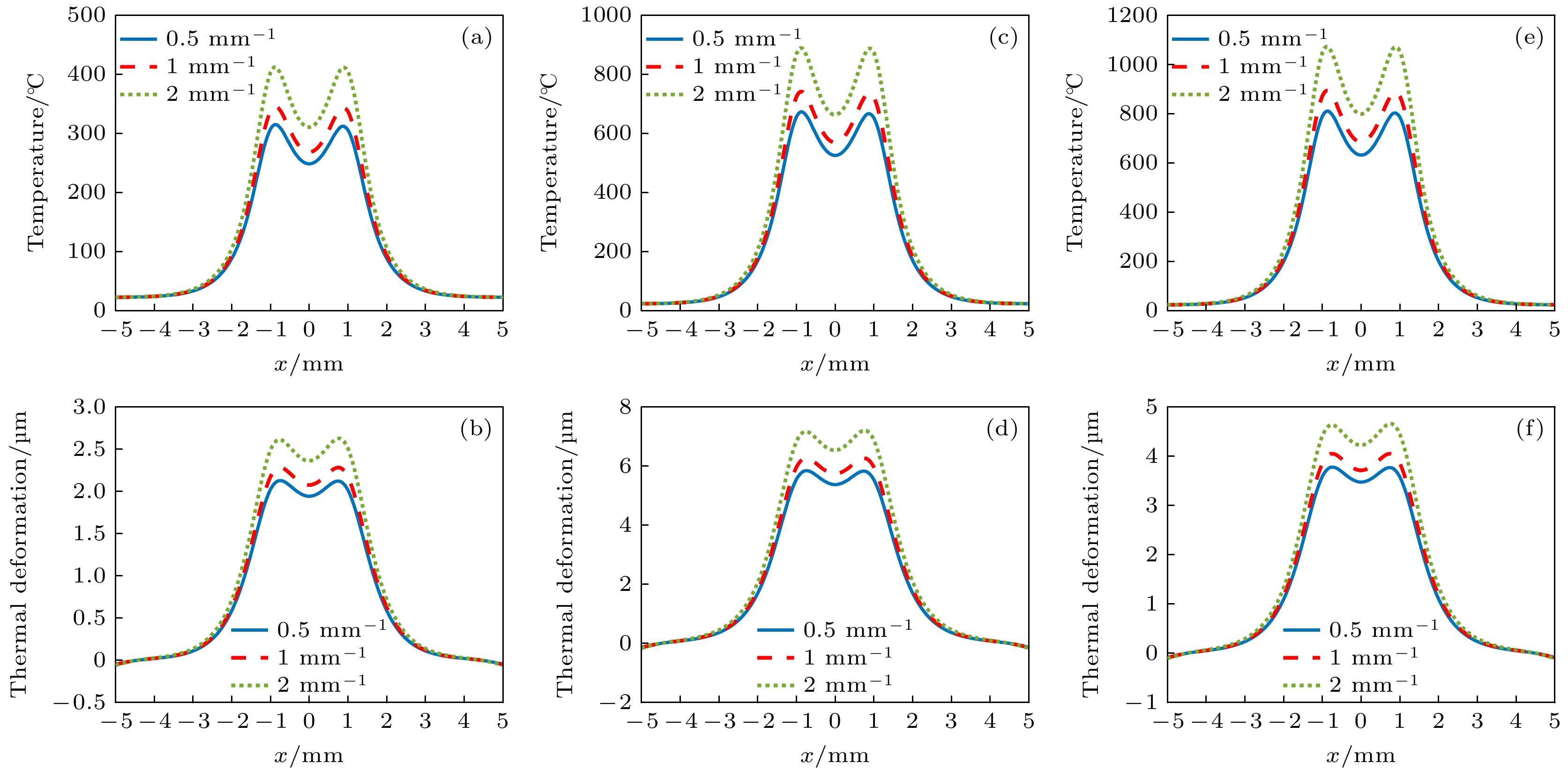
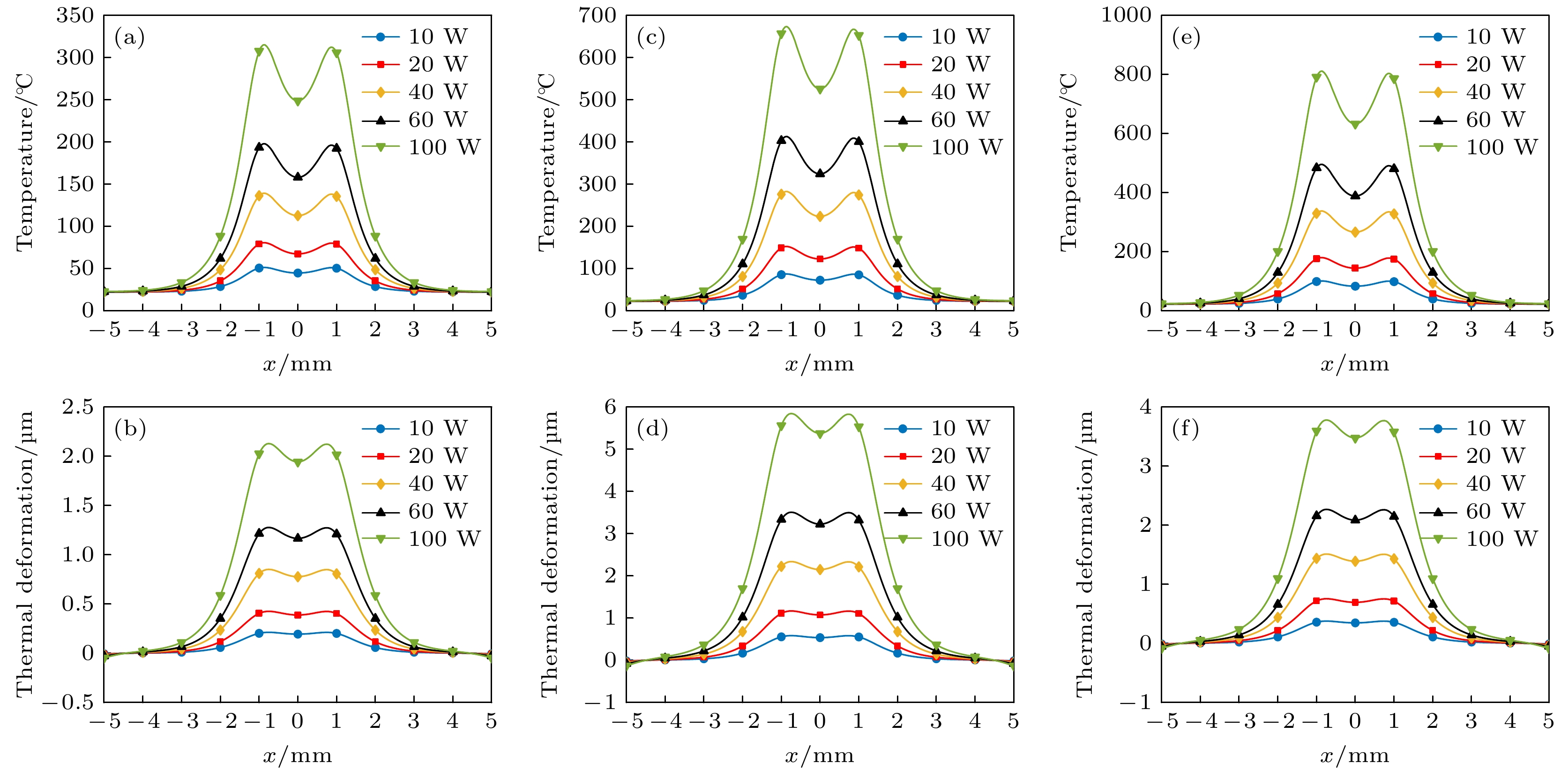
Optical vortex beam has wide applications in areas of optical communication, lidar detection and optical trapping. To increase the operating distance, a high-power vortex laser source is necessary in these applications. However, the purity of the output vortex beam decreases with the pump power increasing due to the thermal effect of the laser medium. Therefore, modal field degeneration induced by thermal effect of laser medium has become a key problem in high-power vortex solid-state laser. To investigate this modal field degeneration, the heat transfer and thermal deformation model of an annular beam end pumped thin-disk vortex laser (Fig. (a)) is established. The phase difference of the thermal effect is calculated based on this model. Then, the quadratic term is separated from the phase difference. The non-quadratic term, as a small perturbation, is substituted into the diffraction integral equation of the laser cavity. The modal field structure is obtained by using the perturbation method. The variations of the modal structure with pump power, absorption coefficient and crystal thickness are investigated for three kinds of laser crystals, i.e. Nd:YAG, Nd:YLF and Nd:YVO4. The results show that the modal field under thermal effect presents obvious deviation from the ideal mode at high power, and the modal structure shows that it contains many higher-order radial modes, with the angular mode order unchanged. Hence, the radial modal spectrum is broadened by the thermal effect. For an ideal vortex laser without thermal effect operating on the radial mode order 0 and angular mode order 1, Fig. (b) shows the modal structures with thermal effect under different pump power values with a laser crystal thickness of 1 mm. The ratio of the higher-order modes increases and the modal structure becomes more and more complex with the pump power increasing. The ratios of the ideal mode are 0.99, 0.97, 0.90, 0.79 and 0.61, under the pump power of 10 W, 20 W, 40 W, 60 W and 100 W, respectively. Moreover, the Nd:YVO4laser has the largest and the Nd:YAG laser has the smallest modal spectrum broadening under the same pump power. Figure (c) shows the variation of the modal purity with the pump power. The modal purity of the Nd:YVO4and the Nd:YLF laser decrease to 0.35 and 0.44 at the pump power of 100 W, respectively. We also investigate the modal structures under different absorption coefficients and crystal thickness values. A larger absorption coefficient or a smaller crystal thickness leads to a larger radial modal spectrum broadening and a smaller modal purity. These results indicate that in the design of high-power thin-disk vortex laser, it is necessary to comprehensively optimize the disk thickness and the absorption coefficient, and consider modal spectrum broadening as well.
Optical vortex beam has wide applications in areas of optical communication, lidar detection and optical trapping. To increase the operating distance, a high-power vortex laser source is necessary in these applications. However, the purity of the output vortex beam decreases with the pump power increasing due to the thermal effect of the laser medium. Therefore, modal field degeneration induced by thermal effect of laser medium has become a key problem in high-power vortex solid-state laser. To investigate this modal field degeneration, the heat transfer and thermal deformation model of an annular beam end pumped thin-disk vortex laser (Fig. (a)) is established. The phase difference of the thermal effect is calculated based on this model. Then, the quadratic term is separated from the phase difference. The non-quadratic term, as a small perturbation, is substituted into the diffraction integral equation of the laser cavity. The modal field structure is obtained by using the perturbation method. The variations of the modal structure with pump power, absorption coefficient and crystal thickness are investigated for three kinds of laser crystals, i.e. Nd:YAG, Nd:YLF and Nd:YVO4. The results show that the modal field under thermal effect presents obvious deviation from the ideal mode at high power, and the modal structure shows that it contains many higher-order radial modes, with the angular mode order unchanged. Hence, the radial modal spectrum is broadened by the thermal effect. For an ideal vortex laser without thermal effect operating on the radial mode order 0 and angular mode order 1, Fig. (b) shows the modal structures with thermal effect under different pump power values with a laser crystal thickness of 1 mm. The ratio of the higher-order modes increases and the modal structure becomes more and more complex with the pump power increasing. The ratios of the ideal mode are 0.99, 0.97, 0.90, 0.79 and 0.61, under the pump power of 10 W, 20 W, 40 W, 60 W and 100 W, respectively. Moreover, the Nd:YVO4laser has the largest and the Nd:YAG laser has the smallest modal spectrum broadening under the same pump power. Figure (c) shows the variation of the modal purity with the pump power. The modal purity of the Nd:YVO4and the Nd:YLF laser decrease to 0.35 and 0.44 at the pump power of 100 W, respectively. We also investigate the modal structures under different absorption coefficients and crystal thickness values. A larger absorption coefficient or a smaller crystal thickness leads to a larger radial modal spectrum broadening and a smaller modal purity. These results indicate that in the design of high-power thin-disk vortex laser, it is necessary to comprehensively optimize the disk thickness and the absorption coefficient, and consider modal spectrum broadening as well.
2024, 73(16): 164207.
doi:10.7498/aps.73.20240753
Abstract:
The second harmonic generation (SHG), as a nonlinear optical effect, has a wide range of applications in obtaining information such as material composition, structure, and properties due to its good polarization sensitivity. Although SHG spectroscopy or SHG microscopy has been used to explore the precise positioning or tracking of nanowires, there are few reports on the combination of SHG spectroscopy and SHG microscopy to study the structure of nanomaterials and the spatial orientation of crystal axes. In this work, we investigate the spatial orientation and crystal axis orientation of cadmium sulfide (CdS) nanowires by combining SHG spectroscopy and microscopic imaging. Firstly, we experimentally and theoretically study the spectral intensity of the SHG of CdS nanowires with the polarization direction of the incident light based on the all-optical analysis method proposed by the predecessors. We also analyze the influence of the azimuth angle of the crystal axisγ,ωandφon the pattern of the SHG of CdS nanowires in detail. Secondly, through the mutual verification of theoretical calculations and experimental measurement results, we successfully determine the three axial orientations of a single CdS nanowire. Finally, we also investigate the spatial orientation of a single CdS nanowire by using the polarization-dependent SHG microscopic imaging method. It is shown that different parts of the CdS nanowire have different SHG responses when the polarization is changed. These results provide a new idea and an important reference for studying the application of SHG spectroscopy and microscopic imaging in the research of high-precision spatial positioning of nanomaterials. This study provides important enlightenment for realizing the potential applications of nanomaterials in biomedicine.
The second harmonic generation (SHG), as a nonlinear optical effect, has a wide range of applications in obtaining information such as material composition, structure, and properties due to its good polarization sensitivity. Although SHG spectroscopy or SHG microscopy has been used to explore the precise positioning or tracking of nanowires, there are few reports on the combination of SHG spectroscopy and SHG microscopy to study the structure of nanomaterials and the spatial orientation of crystal axes. In this work, we investigate the spatial orientation and crystal axis orientation of cadmium sulfide (CdS) nanowires by combining SHG spectroscopy and microscopic imaging. Firstly, we experimentally and theoretically study the spectral intensity of the SHG of CdS nanowires with the polarization direction of the incident light based on the all-optical analysis method proposed by the predecessors. We also analyze the influence of the azimuth angle of the crystal axisγ,ωandφon the pattern of the SHG of CdS nanowires in detail. Secondly, through the mutual verification of theoretical calculations and experimental measurement results, we successfully determine the three axial orientations of a single CdS nanowire. Finally, we also investigate the spatial orientation of a single CdS nanowire by using the polarization-dependent SHG microscopic imaging method. It is shown that different parts of the CdS nanowire have different SHG responses when the polarization is changed. These results provide a new idea and an important reference for studying the application of SHG spectroscopy and microscopic imaging in the research of high-precision spatial positioning of nanomaterials. This study provides important enlightenment for realizing the potential applications of nanomaterials in biomedicine.
2024, 73(16): 164208.
doi:10.7498/aps.73.20240569
Abstract:
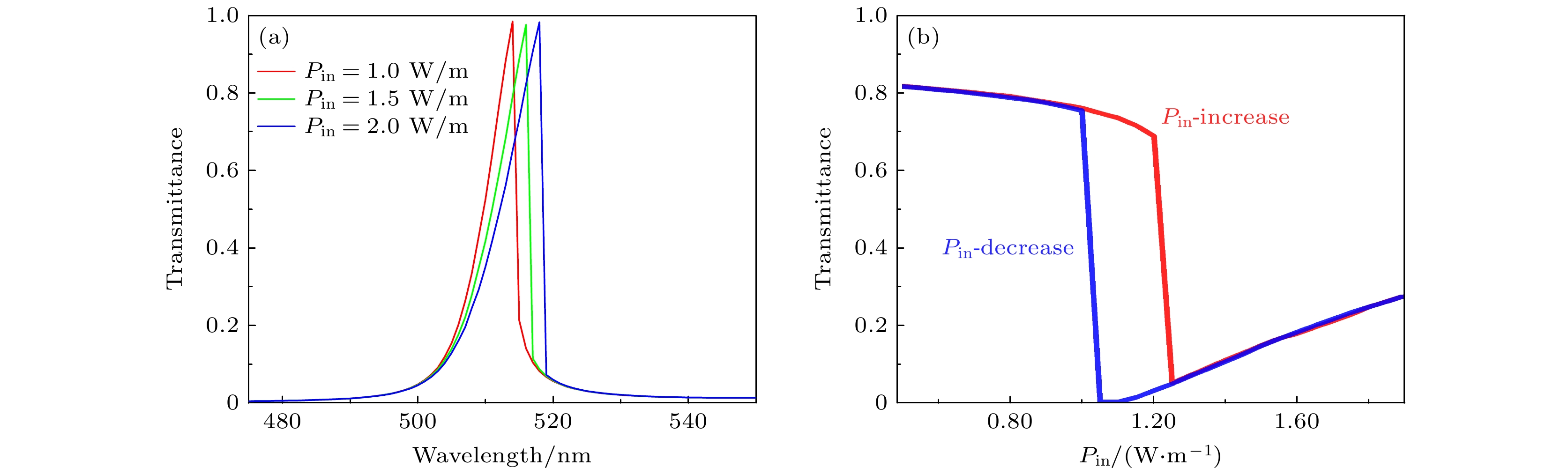
Optical bistable state exhibits its great potential applications in photonic integrated circuit and photonic neural network. However, the traditional optical bistable state will be influenced by the system disorders, which are not suitable for application. In this work, we investigate the topological bistable states in a layered structure with center inversion symmetry consisting of alternating layers of high index material TiO2and low index material SiO2. In the topological mode, the electric field is highly localized in the inversion center of the layered structure (also known as the interface) and exponentially decays into the bulk. Thus, when the nonlinear permittivity is strategically introduced into those layers, nonlinear phenomena such as the bistable state appears. The finite element numerical simulations reveal that the optimal bistable state appears when the layer period is 5 with a threshold power around 1.2 W/m. Benefiting from the topological characteristics, such a bistable state persists when random perturbations are introduced into the layer thickness and refractive index. Finally, we apply the bistable states to a photonic neural network. The bistable function shows prediction accuracy similar to the classic activation function ReLu and sigmoid in various learning tasks. These results provide a novel method for inserting highly robust optical bistable states from topological layered structure into photonic neural network.
Optical bistable state exhibits its great potential applications in photonic integrated circuit and photonic neural network. However, the traditional optical bistable state will be influenced by the system disorders, which are not suitable for application. In this work, we investigate the topological bistable states in a layered structure with center inversion symmetry consisting of alternating layers of high index material TiO2and low index material SiO2. In the topological mode, the electric field is highly localized in the inversion center of the layered structure (also known as the interface) and exponentially decays into the bulk. Thus, when the nonlinear permittivity is strategically introduced into those layers, nonlinear phenomena such as the bistable state appears. The finite element numerical simulations reveal that the optimal bistable state appears when the layer period is 5 with a threshold power around 1.2 W/m. Benefiting from the topological characteristics, such a bistable state persists when random perturbations are introduced into the layer thickness and refractive index. Finally, we apply the bistable states to a photonic neural network. The bistable function shows prediction accuracy similar to the classic activation function ReLu and sigmoid in various learning tasks. These results provide a novel method for inserting highly robust optical bistable states from topological layered structure into photonic neural network.
2024, 73(16): 164601.
doi:10.7498/aps.73.20240244
Abstract:
In order to reveal the influence of impact velocity (Up) on the spalling and fracture behavior of single crystal nickel, a non-equilibrium molecular dynamics approach is adopted to investigate the free surface velocity curve, radial distribution function, atomic crystal structures, dislocations, and void evolution process. The results show that the critical impact velocityUpfor spalling behavior in single crystal nickel is 1.5 km/s, and whenUp≤ 1.5 km/s the spallation mechanism is classical spallation damage and whenUp>1.5 km/s it behaves as micro-spallation damage. The pore number and distribution area, and stress distribution area under micro-spallation damage are much higher than those under classical spallation damage. The influence of impact velocity on the classical spalling damage behavior (Up≤ 1.5 km/s) is analyzed and the corresponding spalling strength is obtained, indicating that an accident of spalling strength occurs whenUpis 1.3 km/s. The spalling strength of single crystal nickel is influenced by the combined effects of stacking faults, phase transformation, and dislocation. As the nucleation and emission of dislocations increase, the spalling strength decreases. WhenUp< 1.3 km/s, the spalling damage is mainly due to stacking faults. WhenUp= 1.3 km/s, the spalling strength is mainly affected by the competition between stacking faults and phase transformation. WhenUp> 1.3 km/s, spalling strength is predominantly influenced by the body-centered cubic (BCC) phase transformation mechanism (transformation path: FCC → BCT → BCC). This study reveals the impact velocity-dependent patterns, mechanisms, and effects on spalling damage and fracture, providing a theoretical basis for realizing the protective application of nickel-based materials under extreme impact conditions.
In order to reveal the influence of impact velocity (Up) on the spalling and fracture behavior of single crystal nickel, a non-equilibrium molecular dynamics approach is adopted to investigate the free surface velocity curve, radial distribution function, atomic crystal structures, dislocations, and void evolution process. The results show that the critical impact velocityUpfor spalling behavior in single crystal nickel is 1.5 km/s, and whenUp≤ 1.5 km/s the spallation mechanism is classical spallation damage and whenUp>1.5 km/s it behaves as micro-spallation damage. The pore number and distribution area, and stress distribution area under micro-spallation damage are much higher than those under classical spallation damage. The influence of impact velocity on the classical spalling damage behavior (Up≤ 1.5 km/s) is analyzed and the corresponding spalling strength is obtained, indicating that an accident of spalling strength occurs whenUpis 1.3 km/s. The spalling strength of single crystal nickel is influenced by the combined effects of stacking faults, phase transformation, and dislocation. As the nucleation and emission of dislocations increase, the spalling strength decreases. WhenUp< 1.3 km/s, the spalling damage is mainly due to stacking faults. WhenUp= 1.3 km/s, the spalling strength is mainly affected by the competition between stacking faults and phase transformation. WhenUp> 1.3 km/s, spalling strength is predominantly influenced by the body-centered cubic (BCC) phase transformation mechanism (transformation path: FCC → BCT → BCC). This study reveals the impact velocity-dependent patterns, mechanisms, and effects on spalling damage and fracture, providing a theoretical basis for realizing the protective application of nickel-based materials under extreme impact conditions.
2024, 73(16): 164701.
doi:10.7498/aps.73.20240591
Abstract:
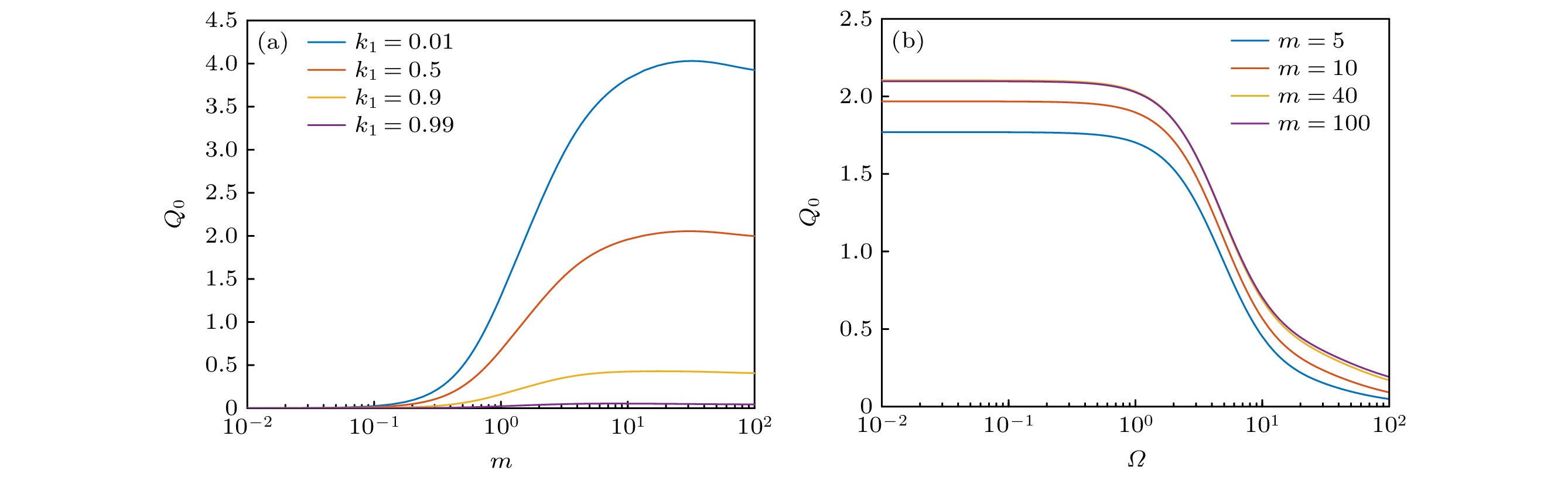
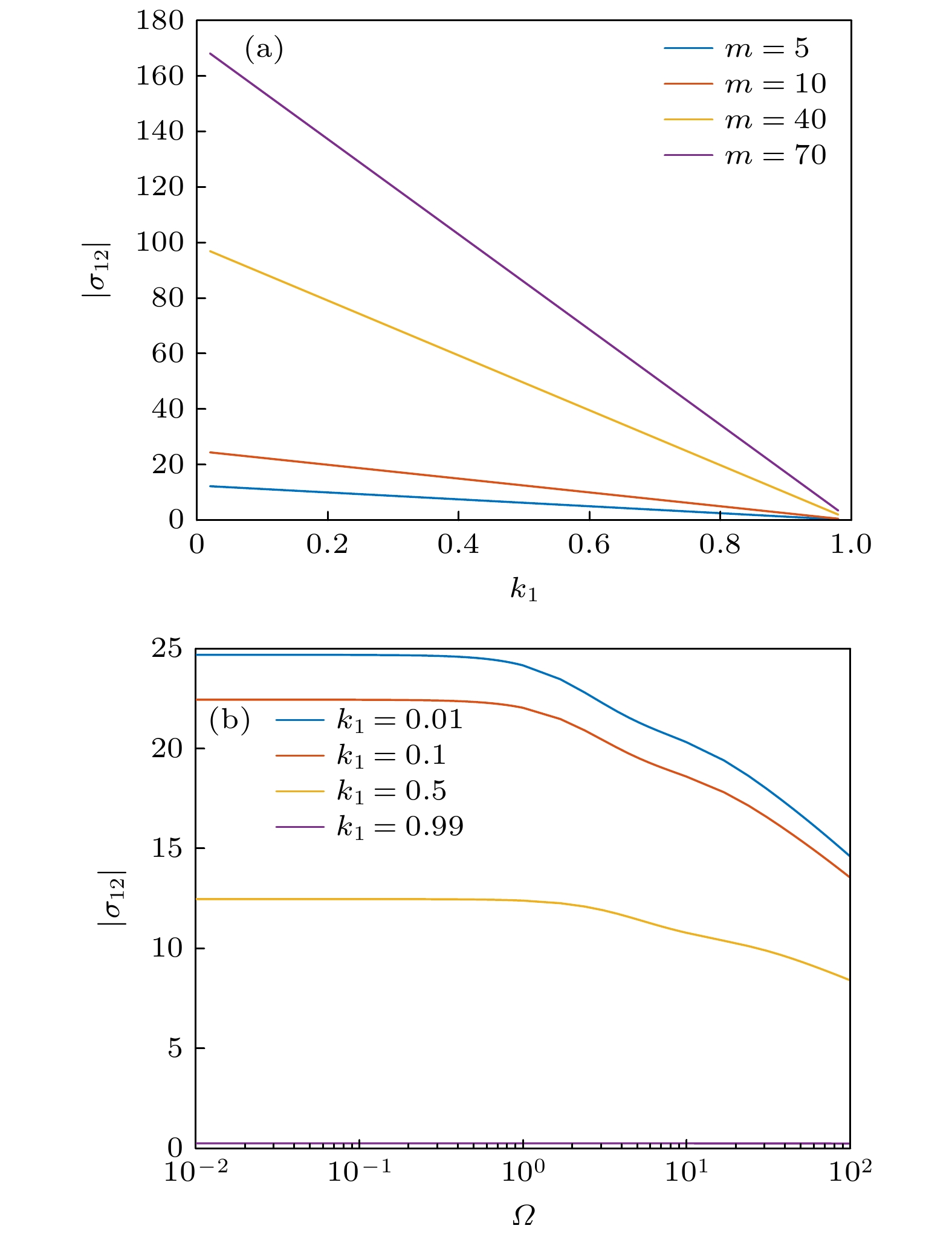
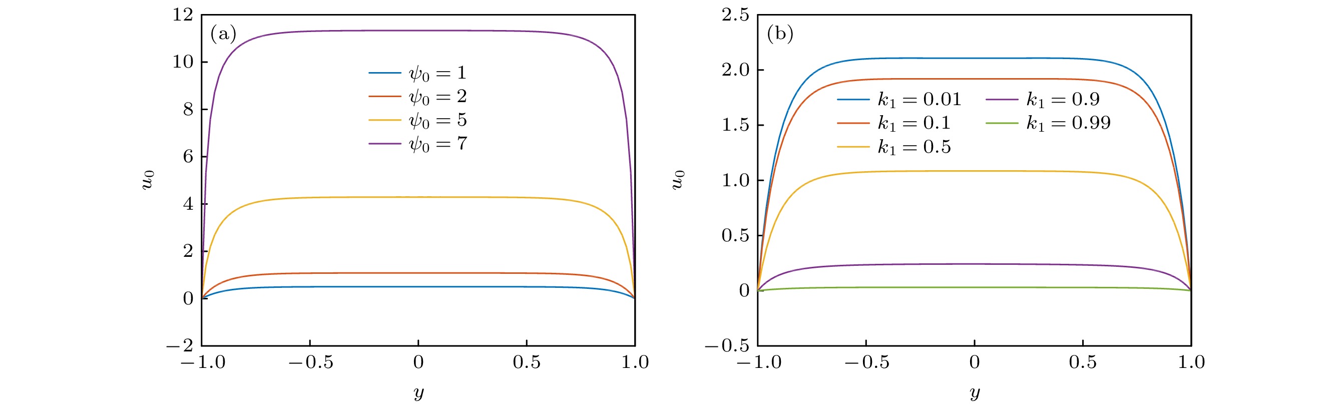
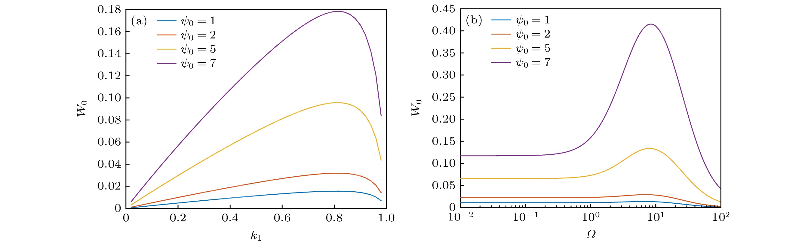
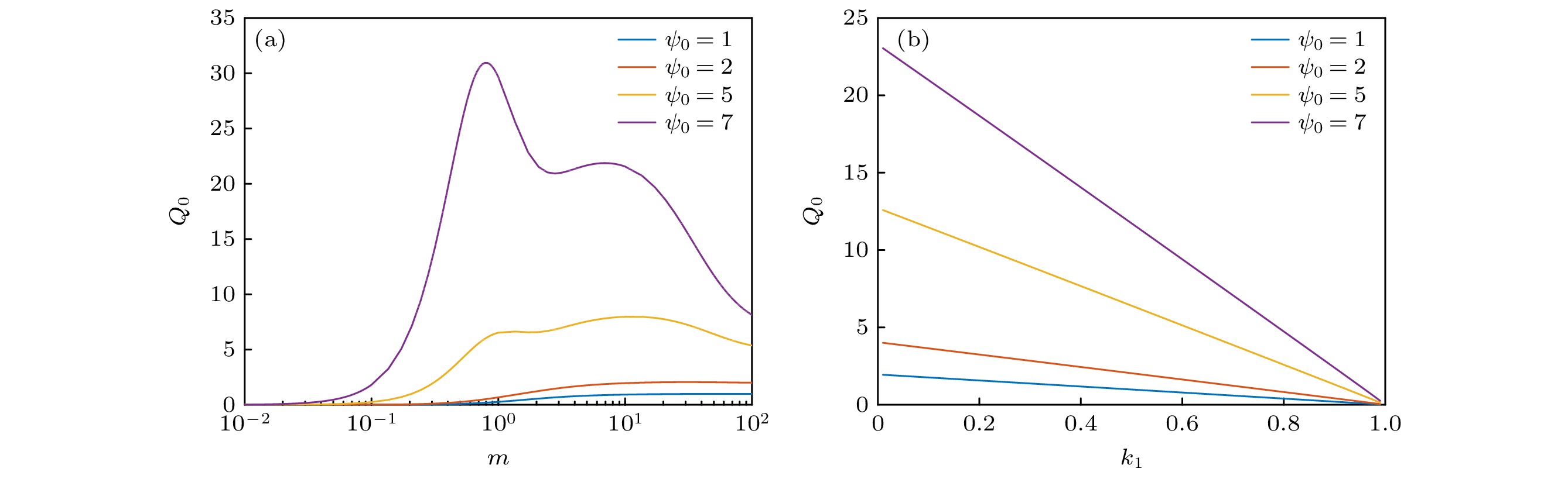
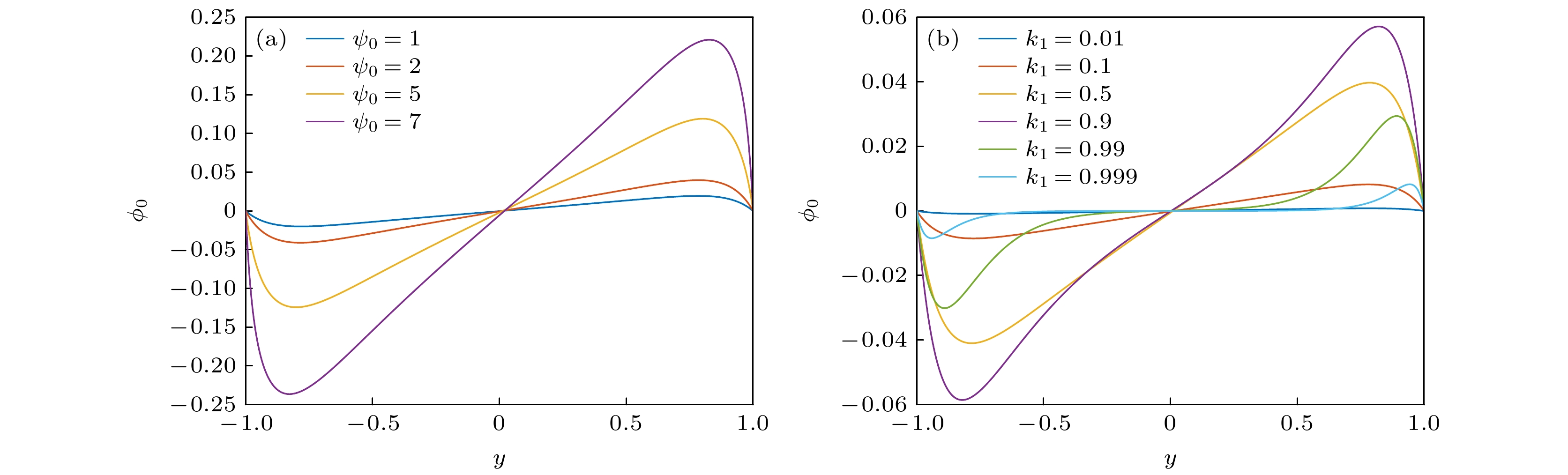
The time-periodic electroosmotic flow of a class of incompressible micropolar fluid in a parallel plate microchannel under high wall Zeta potential is studied in this work. Without using the Debye-Hückel linear approximation, the finite difference method is used to numerically solve the nonlinear Poisson-Boltzmann equation, the continuity equation, momentum equation, angular momentum equation, and constitutive equation of incompressible micropolar fluid. In the case of low Zeta potential, the results are compared with the analytical solution obtained in the Debye-Hückel linear approximation, and the feasibility of the numerical method is also proved. The influences of dimensionless parameters, such as electric width
\begin{document}$ m $\end{document}
, electric oscillation frequency
\begin{document}$ \varOmega $\end{document}
, and micro-polarity parameter
\begin{document}$ {k_1} $\end{document}
on the velocity and microrotation effect of incompressible micro-polarity fluid under high Zeta potential are discussed. The results are shown below. 1) With the increase of Zeta potential, the velocity, micro-rotation, volume flow, micro-rotation strength and shear stress of the micropolar fluid all increase, indicating that compared with the low Zeta potential, the high Zeta potential has a significant promotion effect on the electroosmotic flow of the micropolar fluid. 2) Under high Zeta potential, with the increase of the micro-polarity parameter, the velocity of the micropolar fluid decreases, and the micro-rotation effect shows a first-increasing-and-then-decreasing trend. 3) Under high Zeta potential, when the electric oscillation frequency is lower (less than 1), the increase of the electric width promotes the flow of the micropolar fluid, but impedes its micro-rotation; when the electric oscillation frequency is higher (greater than 1), the increase of the electric width impedes the flow and micro-rotation of the micropolar fluid, but expedites rapid increase of the volume flow rate and tends to be constant. 4) Under high Zeta potential, when the electric oscillation frequency is lower (less than 1), the electroosmotic flow velocity and micro-rotation of the micropolar fluid show an obvious oscillation trend with the change of the electric oscillation frequency, but the peak value of the velocity and micro-rotation, the volume flow rate and the micro-rotation intensity remain unchanged; when the electric oscillation frequency is higher (greater than 1), with the increase of the electric oscillation frequency, the amplitude of micropolar fluid electroosmotic flow velocity and the amplitude of microrotation decrease, and also the volume flow and microrotation intensity decrease until they reach zero. 5) Under high Zeta potential, the amplitude of wall shear stress
\begin{document}$ {\sigma _{21}} $\end{document}
and
\begin{document}$ {\sigma _{12}} $\end{document}
increase with the electric width increasing; when the electric oscillation frequency is lower (less than 1), the wall shear stress
\begin{document}$ {\sigma _{21}} $\end{document}
and
\begin{document}$ {\sigma _{12}} $\end{document}
do not change with the increase of the electric oscillation frequency, and the amplitude of the wall shear stress
\begin{document}$ {\sigma _{21}} $\end{document}
is not affected by the value of the micro-polarity parameter; when the electric oscillation frequency is higher (greater than 1), the amplitude of wall shear stress
\begin{document}$ {\sigma _{21}} $\end{document}
and
\begin{document}$ {\sigma _{12}} $\end{document}
decrease with the increase of the electric oscillation frequency, and the amplitude of wall shear stress
\begin{document}$ {\sigma _{21}} $\end{document}
decreases with the increase of the micro-polarity parameter, while the amplitude of wall shear stress
\begin{document}$ {\sigma _{12}} $\end{document}
decreases linearly with the increase of the micro-polarity parameter.
The time-periodic electroosmotic flow of a class of incompressible micropolar fluid in a parallel plate microchannel under high wall Zeta potential is studied in this work. Without using the Debye-Hückel linear approximation, the finite difference method is used to numerically solve the nonlinear Poisson-Boltzmann equation, the continuity equation, momentum equation, angular momentum equation, and constitutive equation of incompressible micropolar fluid. In the case of low Zeta potential, the results are compared with the analytical solution obtained in the Debye-Hückel linear approximation, and the feasibility of the numerical method is also proved. The influences of dimensionless parameters, such as electric width
2024, 73(16): 164702.
doi:10.7498/aps.73.20240713
Abstract:
The high-frequency pulsation noise generated by the turbulent boundary layer on the wall of a Laval nozzle can significantly affect the quality of the flow field at the nozzle outlet. In this study, a supersonic wind tunnel with visible internal flow is designed and fabricated to observe the development and evolution of the boundary layer on the contraction and expansion surfaces of a Laval nozzle, as well as to study the flow field inside the supersonic nozzle. The subsonic, transonic and supersonic profiles of the nozzle are designed by bicubic curve, Hall method and classical characteristic line method respectively. The results of numerical calculation and total pressure measurement show that the flow field at the nozzle outlet of the wind tunnel is uniform and stable, and the deviation of Mach-number-root mean square is better than the qualified level of China’s national military standard. Nanoparticle-tracer based planar laser scattering (NPLS) technology is used to carry out the flow display test of the internal flow visual supersonic nozzle, and the fine structure image of the whole flow field in the nozzle is obtained. The image clearly shows the development and evolution of the boundary layer in the nozzle. The interface between boundary layer and main stream and the wall curve of nozzle transition region are extracted by image processing technology. The fractal dimension of the extracted boundary layer contour is calculated, thereby establishing the corresponding relationship between the fractal dimension and the boundary layer state, and determining the transition position of the boundary layer. The results show that the transition position of the nozzle profile is closer to downstream than that of the nozzle straight wall. The fractal dimension can qualitatively judge the flow state of the boundary layer; however, it is necessary to distinguish between laminar boundary layers and hairpin vortices in the initial transition stage by considering the thickness of boundary layer.
The high-frequency pulsation noise generated by the turbulent boundary layer on the wall of a Laval nozzle can significantly affect the quality of the flow field at the nozzle outlet. In this study, a supersonic wind tunnel with visible internal flow is designed and fabricated to observe the development and evolution of the boundary layer on the contraction and expansion surfaces of a Laval nozzle, as well as to study the flow field inside the supersonic nozzle. The subsonic, transonic and supersonic profiles of the nozzle are designed by bicubic curve, Hall method and classical characteristic line method respectively. The results of numerical calculation and total pressure measurement show that the flow field at the nozzle outlet of the wind tunnel is uniform and stable, and the deviation of Mach-number-root mean square is better than the qualified level of China’s national military standard. Nanoparticle-tracer based planar laser scattering (NPLS) technology is used to carry out the flow display test of the internal flow visual supersonic nozzle, and the fine structure image of the whole flow field in the nozzle is obtained. The image clearly shows the development and evolution of the boundary layer in the nozzle. The interface between boundary layer and main stream and the wall curve of nozzle transition region are extracted by image processing technology. The fractal dimension of the extracted boundary layer contour is calculated, thereby establishing the corresponding relationship between the fractal dimension and the boundary layer state, and determining the transition position of the boundary layer. The results show that the transition position of the nozzle profile is closer to downstream than that of the nozzle straight wall. The fractal dimension can qualitatively judge the flow state of the boundary layer; however, it is necessary to distinguish between laminar boundary layers and hairpin vortices in the initial transition stage by considering the thickness of boundary layer.
2024, 73(16): 165101.
doi:10.7498/aps.73.20240482
Abstract:
Magnetorheological elastomers (MREs) are smart materials with a wide range of applications, particularly in reducing vibrations and noise. Traditional methods of testing their magnetically-induced properties, although thorough, are labor-intensive and time-consuming. In this work, we introduce an innovative method that harnesses machine learning to rapidly characterize MREs by using a smallest dataset, thus simplifying the characterization process. Initially, 12 types of MREs are prepared and tested on a shear rheometer with a controllable magnetic field. From these data, we strategically select five representative data points from each sample to form a training dataset. Using this dataset, we develop a support vector regression (SVR) model to characterize the magnetically-induced storage modulus of the MRE. The SVR model exhibits remarkable accuracy, with a correlation coefficient (R2) of 0.998 or higher, exceeding the precision of traditional models. The training time of this model is very brief, only 0.02 seconds, thus greatly accelerating the characterization speed of MRE. Moreover, the SVR model demonstrates strong generalization ability, maintaining a high correlation coefficient of 0.998 or greater even when silicone oil is added to the MREs or tested under various loading frequencies. In a word, the machine learning model not only accelerates the evaluation process but also provides a valuable reference for developing innovative MREs, marking a significant advancement in the field of smart materials research.
Magnetorheological elastomers (MREs) are smart materials with a wide range of applications, particularly in reducing vibrations and noise. Traditional methods of testing their magnetically-induced properties, although thorough, are labor-intensive and time-consuming. In this work, we introduce an innovative method that harnesses machine learning to rapidly characterize MREs by using a smallest dataset, thus simplifying the characterization process. Initially, 12 types of MREs are prepared and tested on a shear rheometer with a controllable magnetic field. From these data, we strategically select five representative data points from each sample to form a training dataset. Using this dataset, we develop a support vector regression (SVR) model to characterize the magnetically-induced storage modulus of the MRE. The SVR model exhibits remarkable accuracy, with a correlation coefficient (R2) of 0.998 or higher, exceeding the precision of traditional models. The training time of this model is very brief, only 0.02 seconds, thus greatly accelerating the characterization speed of MRE. Moreover, the SVR model demonstrates strong generalization ability, maintaining a high correlation coefficient of 0.998 or greater even when silicone oil is added to the MREs or tested under various loading frequencies. In a word, the machine learning model not only accelerates the evaluation process but also provides a valuable reference for developing innovative MREs, marking a significant advancement in the field of smart materials research.
2024, 73(16): 165201.
doi:10.7498/aps.73.20240364
Abstract:
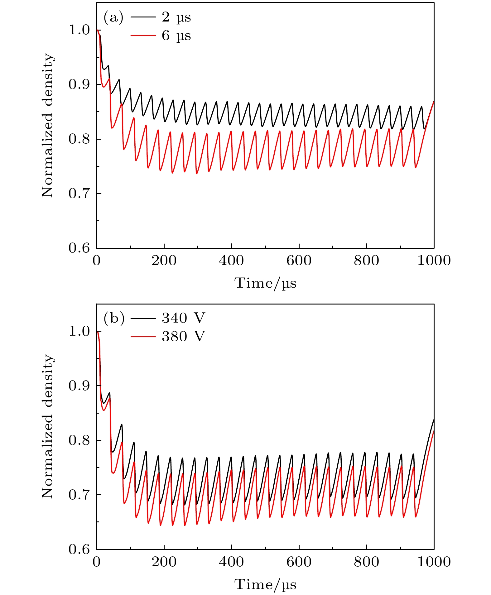
A global model for deep oscillation magnetron sputtering (DOMS) discharge is established to investigate the plasma characteristics in the ionization region. Target voltage and current waveforms with micropulse on-timeτonof 2–6 μs and charging voltage of 300–380 V are acquired and used as an input of the proposed model. The effects of micropulse on-time and charging voltage on the plasma are investigated. Atτon= 2 μs, the DOMS plasma density oscillates with the discharge current waveform. The plasma is mainly composed of Ar+ions though the ionization fraction of Ar is only 2%. The proportion of Cr+ions is lower but has a relatively high ionization fraction of 12%, and Cr2+ions are negligible. The peak plasma density increases from 1.34×1018m–3atτon= 2 μs to 2.64×1018m–3atτon= 3 μs and the metal ionization fraction increases to 20%. Further increasing the on-time leads the peak density and ionization fraction to slightly change. When the charging voltage increases from 300 V to 380 V atτon= 6 μs, the peak plasma density increases linearly from 2.67×1018m–3to 3.90×1018m–3, and the metal ionization fraction increases from 21% to 28%. The gas rarefaction occurs in the ionization region for DOMS discharge. The gas density oscillates in the initial stage of macropulse, and 5–6 micropulses later it reaches dynamic equilibrium. The Ar density dynamics shows that the Ar consumption is mainly caused by electron impact ionization, followed by electron impact excitation, and the consumption rate caused by sputter wind is about 10% of the electron impact ionization. The typical metal self-sputtering phenomenon of high power impulse magnetron sputtering (HiPIMS) also appears in the DOMS discharge. The peak value of self-sputtering parameter increases linearly with the peak power density rising. This suggests that the peak power density is one of the important parameters to manipulate the metal self-sputtering process in the DOMS discharge. The peak value of self-sputtering parameter reaches up to 0.20, indicating that a certain degree of metal self-sputtering occurs. The plasma density and the ionization fraction of the depositing flux are improved, which relieves the shadowing effect during conventional magnetron sputtering as a result of low ionization degree of sputtered metal.
A global model for deep oscillation magnetron sputtering (DOMS) discharge is established to investigate the plasma characteristics in the ionization region. Target voltage and current waveforms with micropulse on-timeτonof 2–6 μs and charging voltage of 300–380 V are acquired and used as an input of the proposed model. The effects of micropulse on-time and charging voltage on the plasma are investigated. Atτon= 2 μs, the DOMS plasma density oscillates with the discharge current waveform. The plasma is mainly composed of Ar+ions though the ionization fraction of Ar is only 2%. The proportion of Cr+ions is lower but has a relatively high ionization fraction of 12%, and Cr2+ions are negligible. The peak plasma density increases from 1.34×1018m–3atτon= 2 μs to 2.64×1018m–3atτon= 3 μs and the metal ionization fraction increases to 20%. Further increasing the on-time leads the peak density and ionization fraction to slightly change. When the charging voltage increases from 300 V to 380 V atτon= 6 μs, the peak plasma density increases linearly from 2.67×1018m–3to 3.90×1018m–3, and the metal ionization fraction increases from 21% to 28%. The gas rarefaction occurs in the ionization region for DOMS discharge. The gas density oscillates in the initial stage of macropulse, and 5–6 micropulses later it reaches dynamic equilibrium. The Ar density dynamics shows that the Ar consumption is mainly caused by electron impact ionization, followed by electron impact excitation, and the consumption rate caused by sputter wind is about 10% of the electron impact ionization. The typical metal self-sputtering phenomenon of high power impulse magnetron sputtering (HiPIMS) also appears in the DOMS discharge. The peak value of self-sputtering parameter increases linearly with the peak power density rising. This suggests that the peak power density is one of the important parameters to manipulate the metal self-sputtering process in the DOMS discharge. The peak value of self-sputtering parameter reaches up to 0.20, indicating that a certain degree of metal self-sputtering occurs. The plasma density and the ionization fraction of the depositing flux are improved, which relieves the shadowing effect during conventional magnetron sputtering as a result of low ionization degree of sputtered metal.
2024, 73(16): 165202.
doi:10.7498/aps.73.20240696
Abstract:
In this work, the effects of conical plasma channels on the laser pulses shaping and the heavy ion acceleration under the extreme light field conditions of hundreds-petawatt are investigated by using a particle simulation method. The law of influence of the conical plasma channel on the spatio-temporal waveform and intensity of the incident laser is analyzed, when the quantum electrodynamics (QED) effect is taken into account. The reason for the shaping laser-enhanced heavy ion acceleration is given, and the role of the QED effect in the acceleration process is explained.
It is found that due to the non-linear interference and focusing effects, the conical plasma channel can shape the spatio-temporal waveform of the laser pulse and enhance the laser intensity. A tightly focused (beam waist radius < 1 μm) and ultra-high intensity (enhanced 6 times) shaping laser is obtained for a linearly polarized laser with an intensity of 5.46×10
22W/cm
2and a waist radius of 10 μm at an incident angle of
θ= 10°. In the simulation, the conical plasma channel is filled by fully ionized high-
Zgold plasma with an electron density up to
n
e= 2626.5
n
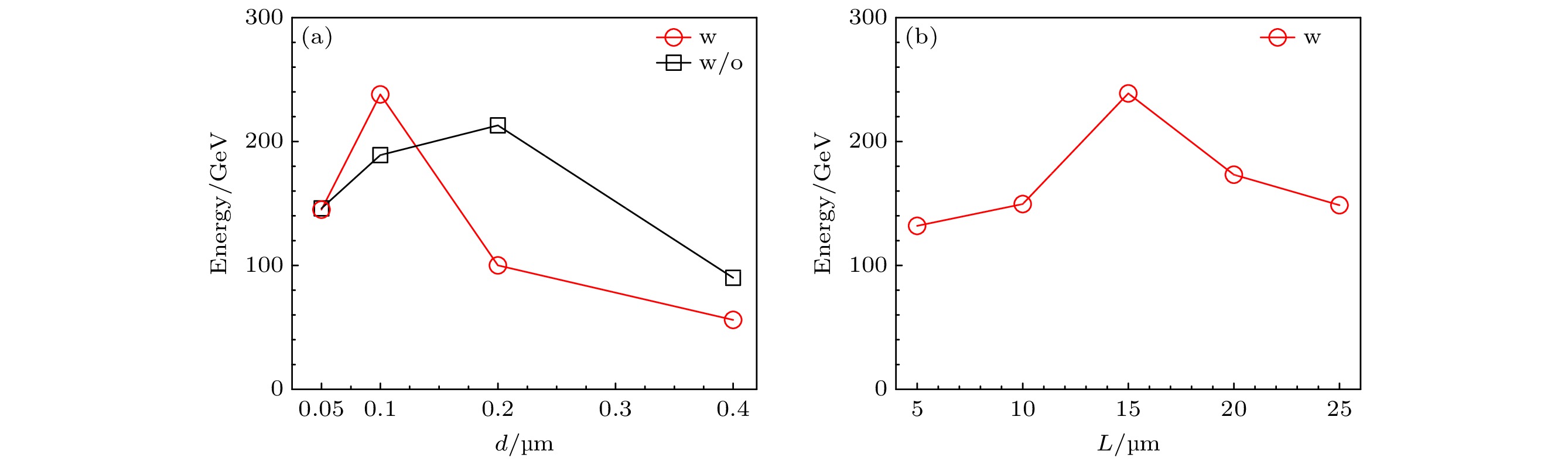
c. Therefore most of the laser energy in the channel is reflected by the channel wall, and the QED effect has less influence on laser focusing and shaping. This laser is used to accelerate an ultra-thin flat target placed at the end of the channel. It is found that the radiation reaction force can effectively suppress the transverse expansion of the ultra-thin flat target, caused by the electron heating and the transverse non-uniform of the laser intensity. The transparency time of the ultra-thin flat target is prolonged, which will allow the gold ions to be fully accelerated. Ultimately, the gold ions can reach up to about 240 GeV in cutoff energy. These results are expected to provide theoretical reference and technical support for designing the future experiments on hundreds-petawatt laser heavy ion acceleration and their applications in high-quality ion source, such as nucleus-nucleus collisions.
2024, 73(16): 165203.
doi:10.7498/aps.73.20240612
Abstract:
Electron cyclotron resonance (ECR) neutralizer is a key component of electron cyclotron resonance ion thruster (ECRIT) with a diameter of 10 cm, which plays an important role in maintaining the spacecraft potential balance and neutralizing the ions in the plume region. Optimizing magnetic field distribution is an important way to improve the performance of neutralizer. At the same time, the uniformity of the magnetic field and the position of the magnetic trap can affect the magnetic field characteristics, plasma performance, electron extraction process, and beam current. Previous experimental researches showed that the beam current extraction performances of the two ECR neutralizers with different magnetic field uniformity and different magnetic trap locations are significantly different. However, it is difficult to reveal the physical phenomena and causes only through experiments, so numerical simulation is needed. Therefore PIC/MCC codes for the ECR neutralizers with different uniformity of magnetic field and different positions of magnetic trap are established. Under the given electron extraction potential, numerical simulations are accomplished to study electron extraction procedure and analyze its influence on the performance of the neutralizer. The simulation results show that when the magnetic field uniformity is low and the magnetic trap is located upstream of extraction orifice, the migration of electrons from the magnetic trap to the outlet is limited by the magnetic field and the electric field, thus a higher potential energy is needed to extract the electrons. Otherwise, when the magnetic field uniformity is high and the magnetic trap is located at the downstream of extraction orifice, electrons will be more likely to migrate towards the magnet trap. After the electrons reach the magnetic trap, under the action of the anode potential, the external potential is higher, and the external weak magnetic field almost fails to hold these electrons. Therefore a large number of electrons can be extracted at low extraction potential. This research will lay an important foundation for the development of high-performance ECR neutralizer.
Electron cyclotron resonance (ECR) neutralizer is a key component of electron cyclotron resonance ion thruster (ECRIT) with a diameter of 10 cm, which plays an important role in maintaining the spacecraft potential balance and neutralizing the ions in the plume region. Optimizing magnetic field distribution is an important way to improve the performance of neutralizer. At the same time, the uniformity of the magnetic field and the position of the magnetic trap can affect the magnetic field characteristics, plasma performance, electron extraction process, and beam current. Previous experimental researches showed that the beam current extraction performances of the two ECR neutralizers with different magnetic field uniformity and different magnetic trap locations are significantly different. However, it is difficult to reveal the physical phenomena and causes only through experiments, so numerical simulation is needed. Therefore PIC/MCC codes for the ECR neutralizers with different uniformity of magnetic field and different positions of magnetic trap are established. Under the given electron extraction potential, numerical simulations are accomplished to study electron extraction procedure and analyze its influence on the performance of the neutralizer. The simulation results show that when the magnetic field uniformity is low and the magnetic trap is located upstream of extraction orifice, the migration of electrons from the magnetic trap to the outlet is limited by the magnetic field and the electric field, thus a higher potential energy is needed to extract the electrons. Otherwise, when the magnetic field uniformity is high and the magnetic trap is located at the downstream of extraction orifice, electrons will be more likely to migrate towards the magnet trap. After the electrons reach the magnetic trap, under the action of the anode potential, the external potential is higher, and the external weak magnetic field almost fails to hold these electrons. Therefore a large number of electrons can be extracted at low extraction potential. This research will lay an important foundation for the development of high-performance ECR neutralizer.
2024, 73(16): 167801.
doi:10.7498/aps.73.20240703
Abstract:
Terahertz spectroscopy and imaging have many applications, so the generation of broadband terahertz radiation is very important, but now it faces some challenges. Opto-spintronic terahertz emitters, composed of nanometer-thin magnetic multilayer, can produce high-quality broad-band terahertz pulses. Integration of opto-spintronic terahertz emitters onto the silicon wafers is the first step towards their usage in modern photonic devices. In this work, Ta/CoFeB/Ir heterostructures are deposited on thermally oxidized silicon wafers by dc magnetron sputtering. Under the illumination of a femtosecond laser pulse on the Ta/CoFeB/Ir trilayer heterostructure grown on silicon substrate, a spin current can be generated in the ferromagnetic layer due to the ultrafast demagnetization. The spin current is transported and injected into the neighboring non-magnetic metal layers of Ta and Ir. Consequently, the spin current can be converted into the charge current due to the strong spin-orbit coupling. The sub-picosecond transient charge current gives rise to the terahertz radiation that enters into the free space. The terahertz electric field is fully inverted when the magnetization is reversed, which indicates a strong connection between THz radiation and spin order of the heterostructure. The THz radiation from Ta/CoFeB/Ir heterostructure covers the 0.1–2.5 THz frequency range with a maximum value of about 0.64 THz. We also investigate the dependence of THz peak-to-peak value on the pump fluence. The THz emission is found to be saturated at a pump fluence of ~0.73 mJ/cm2. Our results demonstrate the existence of the strong spin-orbit coupling in the heavy metal Ir. Furthermore, we optimize the THz emission from the Ta/CoFeB/Ir heterostructure by changing the thickness of Ir layer. According to the thickness dependence of THz emission from the heterostructure, the propagation length of the spin current at THz frequencies is extracted to be about (0.59±0.12) nm, which is shorter than the GHz experimental measurement (~1.34 nm). Our experimental observation is consistent with that in the antiferromagnet IrMn layer, which may be attributed to different transport regimes. Theoretically, the optimized thickness values for CoFeB and Ir layers are 2.4 nm and 1.1 nm, respectively.
Terahertz spectroscopy and imaging have many applications, so the generation of broadband terahertz radiation is very important, but now it faces some challenges. Opto-spintronic terahertz emitters, composed of nanometer-thin magnetic multilayer, can produce high-quality broad-band terahertz pulses. Integration of opto-spintronic terahertz emitters onto the silicon wafers is the first step towards their usage in modern photonic devices. In this work, Ta/CoFeB/Ir heterostructures are deposited on thermally oxidized silicon wafers by dc magnetron sputtering. Under the illumination of a femtosecond laser pulse on the Ta/CoFeB/Ir trilayer heterostructure grown on silicon substrate, a spin current can be generated in the ferromagnetic layer due to the ultrafast demagnetization. The spin current is transported and injected into the neighboring non-magnetic metal layers of Ta and Ir. Consequently, the spin current can be converted into the charge current due to the strong spin-orbit coupling. The sub-picosecond transient charge current gives rise to the terahertz radiation that enters into the free space. The terahertz electric field is fully inverted when the magnetization is reversed, which indicates a strong connection between THz radiation and spin order of the heterostructure. The THz radiation from Ta/CoFeB/Ir heterostructure covers the 0.1–2.5 THz frequency range with a maximum value of about 0.64 THz. We also investigate the dependence of THz peak-to-peak value on the pump fluence. The THz emission is found to be saturated at a pump fluence of ~0.73 mJ/cm2. Our results demonstrate the existence of the strong spin-orbit coupling in the heavy metal Ir. Furthermore, we optimize the THz emission from the Ta/CoFeB/Ir heterostructure by changing the thickness of Ir layer. According to the thickness dependence of THz emission from the heterostructure, the propagation length of the spin current at THz frequencies is extracted to be about (0.59±0.12) nm, which is shorter than the GHz experimental measurement (~1.34 nm). Our experimental observation is consistent with that in the antiferromagnet IrMn layer, which may be attributed to different transport regimes. Theoretically, the optimized thickness values for CoFeB and Ir layers are 2.4 nm and 1.1 nm, respectively.
2024, 73(16): 168701.
doi:10.7498/aps.73.20240655
Abstract:
Vortex beam (VB) is a structured light beam with a helical wavefront and carrying orbital angular momentum (OAM). Compared with Gaussian beam, the VB possesses the rotational Doppler effect (RDE), which is anticipated to compensate for the shortcoming of traditional detection methods in the spin motion of the target object. However, in practical applications, the rotational speed measurement technology based on the VB is facing some challenges, such as weak echo signal intensity due to low vortex beam light power and OAM spectrum expansion caused by off-axis incidence of the vortex beam. These above-mentioned problems directly limit the accuracy and application range of rotational speed measurement. To expand the application range of detection scheme based on the VB, we study the measurement scheme of the target rotational speed based on the combined vortex beam (CVB), which is on the basis of the experimental device for rotational speed measurement with CVB generated by fibre laser arrays. Firstly, the OAM spectra of the off-axis incidence situation are simulated. According to the simulation results, we derive a general model of the peak distribution of echo signals under the off-axis incidence, and propose a rotational speed measurement scheme based on the frequency interval between adjacent spectral peaks. Secondly, we carry out the target rotational speed measurement experiment in off-axis incidence case, and the difference in frequency between two adjacent spectral peaks is obtained from the spectrum map of the echo signal to measure the rotational speed of the target object. The results show that the target rotational speed can be accurately measured regardless of the lateral displacement and angular deflection in the case of off-axis incidence, which confirms the validity of the universal model for rotational speed measurement. The rotational speed measurement scheme proposed in this study takes into consideration the off-axis incidence prevalent in practical application, thereby improving the applicability in the target object rotational speed measurement, and providing technical reference for remote sensing detection application based on the VB.
Vortex beam (VB) is a structured light beam with a helical wavefront and carrying orbital angular momentum (OAM). Compared with Gaussian beam, the VB possesses the rotational Doppler effect (RDE), which is anticipated to compensate for the shortcoming of traditional detection methods in the spin motion of the target object. However, in practical applications, the rotational speed measurement technology based on the VB is facing some challenges, such as weak echo signal intensity due to low vortex beam light power and OAM spectrum expansion caused by off-axis incidence of the vortex beam. These above-mentioned problems directly limit the accuracy and application range of rotational speed measurement. To expand the application range of detection scheme based on the VB, we study the measurement scheme of the target rotational speed based on the combined vortex beam (CVB), which is on the basis of the experimental device for rotational speed measurement with CVB generated by fibre laser arrays. Firstly, the OAM spectra of the off-axis incidence situation are simulated. According to the simulation results, we derive a general model of the peak distribution of echo signals under the off-axis incidence, and propose a rotational speed measurement scheme based on the frequency interval between adjacent spectral peaks. Secondly, we carry out the target rotational speed measurement experiment in off-axis incidence case, and the difference in frequency between two adjacent spectral peaks is obtained from the spectrum map of the echo signal to measure the rotational speed of the target object. The results show that the target rotational speed can be accurately measured regardless of the lateral displacement and angular deflection in the case of off-axis incidence, which confirms the validity of the universal model for rotational speed measurement. The rotational speed measurement scheme proposed in this study takes into consideration the off-axis incidence prevalent in practical application, thereby improving the applicability in the target object rotational speed measurement, and providing technical reference for remote sensing detection application based on the VB.
2024, 73(16): 168801.
doi:10.7498/aps.73.20240607
Abstract:
The integration of metallic nanoparticles (MNPs) with plasmonic effects is an alternative approach to managing photons and charge carriers, and is considered as a promising method of advancing solar cell technologies. Plasmonic-enhanced solar energy harvesting involves three mechanisms: hot-electron injection, light trapping, and modulation of energy flow direction through dipole-dipole coupling. It has been observed that these phenomena significantly improve the performance of silicon, gallium arsenide, dye-sensitized, and organic solar cells. However, for emerging perovskite solar cells, the light trapping effect, specifically, through the far-field scattering of MNPs, has been seldom reported. The anomalous phenomenon is primarily attributed to the size constraints imposed on MNP by the thickness of the functional layers in cell devices. According to the theory of localized surface plasmon resonance (SPR), the characteristic size of the MNP needs to be larger than 90 nm to achieve optimal photon scattering. Conversely, the charge transport layers such as NiO
xand SnO
2in perovskite solar cells are usually very thin, with thickness ranging from a few nanometers to several tens of nanometers. Therefore, the community of perovskite solar cells still faces a great challenge in harvesting light through plasmonic scattering.
Comparing with MNPs, none of the shape, size, periodicity, and other characteristic parameters of two-dimensional metal patterns within the horizontal plane are not limited by the thickness of the device’s functional layer, thus making it more flexible to regulate the SPR response band, vibration intensity, and becoming a method of dissipating plasmonic energy. In this work, based on the finite-difference time-domain (FDTD) method and rigorous coupled-wave analysis (RCWA), we systematically investigate the SPR spectra of different metal patterns. The results demonstrate that by optimizing characteristic parameters such as pattern shape, thickness, and periodicity, a significant SPR phenomenon can be observed in the near-infrared region, with scattering dominating extinction. For the optimal metal ring pattern, the SPR peak corresponds to a wavelength of 772 nm, with the cross-section of relative absorption, scattering, and extinction being 0.54, 1.39, and 1.93, respectively. The weighted average absorption of the perovskite response layer in a range of 700–850 nm increases from 53.61% to 65.36%. Correspondingly, the photocurrent density of the device increases from 20.39 to 22.72 mA/cm
2, and the photoelectric conversion efficiency is relatively improved by 11.45%. This research provides a novel path for designing light trapping in perovskite solar cells in the near-infrared region, and serves as a “spectrum-based” reference for SPR regulation in other similar devices.
2024, 73(16): 168901.
doi:10.7498/aps.73.20240454
Abstract:
Existing research on interdependent networks defines network functionality as being entirely on nodes or on edges, which means interdependence between nodes and nodes, or interdependence between edges and edges. However, the reality is not characterized solely by interdependence between functionalities of individual elements, which means that it is not entirely a single-element coupled network. In some cases, nodes and edges are interdependent. Considering this reality, a binary interdependent network model with node and edge coupling (BINNEC), where both nodes and edges are interdependent, is proposed in this work. In this model, nodes in network A randomly depend on multiple edges in network B, forming edge-dependent clusters. Additionally, a failure tolerance parameter, denoted as
\begin{document}$\mu $\end{document}
, is set for these edge-dependent clusters. When the failure rate of an edge-dependent cluster exceeds
\begin{document}$\mu $\end{document}
, the failure of the nodes in network A that depends on it, will happen. Based on the self-balancing probability method, a theoretical analysis framework is established. Through computer simulation verification of BINNEC under three classical network structures, the model's phase transition behavior and critical thresholds in the face of random attacks are analyzed. The results reveal that BINNEC under three network structures is as fragile as a single-element coupled network, exhibiting a first-order phase transition behavior. As the size of edge-dependent cluster
\begin{document}$m$\end{document}
increases, network robustness is enhanced. Moreover, with a constant size of edge-dependent cluster, a larger tolerance for node failure
\begin{document}$\mu $\end{document}
leads to stronger network robustness. Finally, this research reveals that under the same conditions of
\begin{document}$m$\end{document}
and
\begin{document}$\mu $\end{document}
, when the tolerance for node failure
\begin{document}$\mu $\end{document}
is insufficient to withstand the failure of a single edge, the degree distribution widens, and network robustness weakens. However, when the tolerance for node failure is sufficient to withstand the failure of at least one edge, the network robustness actually strengthens as the degree distribution increases. These findings provide a theoretical basis for studying such binary coupled models and also for guiding the secure design of real-world networks.
Existing research on interdependent networks defines network functionality as being entirely on nodes or on edges, which means interdependence between nodes and nodes, or interdependence between edges and edges. However, the reality is not characterized solely by interdependence between functionalities of individual elements, which means that it is not entirely a single-element coupled network. In some cases, nodes and edges are interdependent. Considering this reality, a binary interdependent network model with node and edge coupling (BINNEC), where both nodes and edges are interdependent, is proposed in this work. In this model, nodes in network A randomly depend on multiple edges in network B, forming edge-dependent clusters. Additionally, a failure tolerance parameter, denoted as
2024, 73(16): 169201.
doi:10.7498/aps.73.20240679
Abstract:
High altitude cosmic ray observatory (LHAASO) is located at Haizi Mountain in Daocheng county, Sichuan province, China. Its wide field of view Cherenkov telescope array (WFCTA) is primarily used to study cosmic rays through observing the Cherenkov light signals produced during extensive air showers. Calibration, simulation, and reconstruction of WFCTA are all related to atmospheric depth. The atmospheric depth model currently used is the US standard atmosphere depth profile model. In this study, the US standard atmosphere depth profile model is compared with the atmospheric depth profile recorded by the infrared radiometer SABER carried by the satellite TIMED at LHAASO from 14 km to 50 km, and also with the atmospheric depth recorded by the ground meteorological station at LHAASO. The atmospheric depth obtained from the US standard atmosphere model is consistently smaller. The MSISE-90 atmospheric model describes the neutral temperature and density from the Earth's surface to the thermosphere. Further research shows good consistency between the MSISE-90 atmospheric model and the atmospheric depth recorded by TIMED/SABER and the ground standard meteorological station at LHAASO. According to the MSISE-90 atmospheric model, the average atmospheric depth profile at LHAASO is lowest in January, followed sequentially by February, March, April, November, and December, which are also the optimal observation months for WFCTA operation. The atmospheric boundary layer is highest in April, with the diurnal variation of atmospheric depth being about 2%. Using the functional form of the US standard atmosphere odel, the monthly atmospheric depth profile of the LHAASO site is obtained by fitting an atmospheric depth profile of 4.4 to 100 km per month. And the comparison between the lateral distribution of the Cherenkov photons produced by 100 TeV cosmic-ray protons incident at a zenith angle of 30° in the MSISE-90 atmospheric model and that in the US standard atmosphere model shows that their maximum difference reaches about 20%.
High altitude cosmic ray observatory (LHAASO) is located at Haizi Mountain in Daocheng county, Sichuan province, China. Its wide field of view Cherenkov telescope array (WFCTA) is primarily used to study cosmic rays through observing the Cherenkov light signals produced during extensive air showers. Calibration, simulation, and reconstruction of WFCTA are all related to atmospheric depth. The atmospheric depth model currently used is the US standard atmosphere depth profile model. In this study, the US standard atmosphere depth profile model is compared with the atmospheric depth profile recorded by the infrared radiometer SABER carried by the satellite TIMED at LHAASO from 14 km to 50 km, and also with the atmospheric depth recorded by the ground meteorological station at LHAASO. The atmospheric depth obtained from the US standard atmosphere model is consistently smaller. The MSISE-90 atmospheric model describes the neutral temperature and density from the Earth's surface to the thermosphere. Further research shows good consistency between the MSISE-90 atmospheric model and the atmospheric depth recorded by TIMED/SABER and the ground standard meteorological station at LHAASO. According to the MSISE-90 atmospheric model, the average atmospheric depth profile at LHAASO is lowest in January, followed sequentially by February, March, April, November, and December, which are also the optimal observation months for WFCTA operation. The atmospheric boundary layer is highest in April, with the diurnal variation of atmospheric depth being about 2%. Using the functional form of the US standard atmosphere odel, the monthly atmospheric depth profile of the LHAASO site is obtained by fitting an atmospheric depth profile of 4.4 to 100 km per month. And the comparison between the lateral distribution of the Cherenkov photons produced by 100 TeV cosmic-ray protons incident at a zenith angle of 30° in the MSISE-90 atmospheric model and that in the US standard atmosphere model shows that their maximum difference reaches about 20%.












