Current Issue
column
- The 90th Anniversary ofActa Physica Sinica
- VIEWS AND PERSPECTIVES
- SPECIAL TOPIC—Quantum communication and quantum network
- INSTRUMENTATION AND MEASUREMENT
- DATA PAPERS
- GENERAL
- COVER ARTICLE
- NUCLEAR PHYSICS
- ATOMIC AND MOLECULAR PHYSICS
- ELECTROMAGNETISM, OPTICS, ACOUSTICS, HEAT TRANSFER, CLASSICAL MECHANICS, AND FLUID DYNAMICS
- PHYSICS OF GASES, PLASMAS, AND ELECTRIC DISCHARGES
- CONDENSED MATTER: ELECTRONIC STRUCTURE, ELECTRICAL, MAGNETIC, AND OPTICAL PROPERTIES
- INTERDISCIPLINARY PHYSICS AND RELATED AREAS OF SCIENCE AND TECHNOLOGY
Display Method:
2024, 73(17): 175202.
doi:10.7498/aps.73.20240831
Abstract:
Current status and challenges of key physics related to high-confinement operational scenarios and energetic particle confinement are briefly reviewed from the perspective of design and operation of tokamak-based fusion reactors. In the past few decades, significant progress has been made in the research on high-confinement mode physics, i.e. the main stability and confinement constraints on operational window of a fusion reactor have been identified, and some control methods for adjusting plasma kinetic profiles to optimize performance have been developed. Several operational scenarios, including inductive, hybrid and steady-stateetc, which are potentially applicable for future reactors, have been developed. In the conditions that fusion alpha particle self-heating is predominant and shear Alfvén wave (SAW) instabilities potentially dominate fusion alpha particle transport, the SAW linear stability properties and excitation mechanisms are understood in depth, and the SAW instabilities nonlinear saturation, alpha particle confinement, and the influence of the heating deposition and the micro-turbulence regulation on fusion profile are under extensive investigation. The magnetically confined fusion research has entered a new stage of ignition and burning plasma physics, and new challenges that are faced are addressed, including whether efficient self-heating of plasmas by fusion alpha particles can be achieved, how the plasma stability and high-confinement can be maintained through the active control of key plasma profiles under the condition of dominant alpha particle heating, and whether it is possible to establish accurate models to predict long time scale complex dynamical evolution of fusion plasmasetc. Solving these key problems will lay a solid scientific foundation for designing and operating future fusion reactors as well as promote the development of plasma science.
Current status and challenges of key physics related to high-confinement operational scenarios and energetic particle confinement are briefly reviewed from the perspective of design and operation of tokamak-based fusion reactors. In the past few decades, significant progress has been made in the research on high-confinement mode physics, i.e. the main stability and confinement constraints on operational window of a fusion reactor have been identified, and some control methods for adjusting plasma kinetic profiles to optimize performance have been developed. Several operational scenarios, including inductive, hybrid and steady-stateetc, which are potentially applicable for future reactors, have been developed. In the conditions that fusion alpha particle self-heating is predominant and shear Alfvén wave (SAW) instabilities potentially dominate fusion alpha particle transport, the SAW linear stability properties and excitation mechanisms are understood in depth, and the SAW instabilities nonlinear saturation, alpha particle confinement, and the influence of the heating deposition and the micro-turbulence regulation on fusion profile are under extensive investigation. The magnetically confined fusion research has entered a new stage of ignition and burning plasma physics, and new challenges that are faced are addressed, including whether efficient self-heating of plasmas by fusion alpha particles can be achieved, how the plasma stability and high-confinement can be maintained through the active control of key plasma profiles under the condition of dominant alpha particle heating, and whether it is possible to establish accurate models to predict long time scale complex dynamical evolution of fusion plasmasetc. Solving these key problems will lay a solid scientific foundation for designing and operating future fusion reactors as well as promote the development of plasma science.
2024, 73(17): 178103.
doi:10.7498/aps.73.20240947
Abstract:
Self-assembling biomolecular soft materials are a novel type of soft matter formed through the self-assembly process by using biomolecules or biomolecular building blocks. The characteristics of bio-sourced origin and assembly driven by weak interactions endow these materials with advantages such as high biocompatibility, reversible assembly, dynamic responsiveness, and controllable microstructures. These properties offer immense potential for development in fields such as biomedicine, tissue engineering, and flexible sensing. This paper concisely reviews the fundamental construction principles of self-assembling biomolecular soft materials and discusses three categories, i.e. nanomaterials, gel materials, and composite materials, by using amino acids and peptides as examples of assembly units. The specific self-assembly molecular mechanisms, material construction strategies, and functional application scenarios of these materials are elucidated. We anticipate that the research on self-assembling soft matter biomolecular materials will evolve from exploring structural units and measuring properties to customizing multifunctional properties and integrating advanced applications. This will lead to the development of novel composite intelligent biomolecular soft matter materials, and further promoting their applications in biomedicine, organic semiconductors, and soft robotics.
Self-assembling biomolecular soft materials are a novel type of soft matter formed through the self-assembly process by using biomolecules or biomolecular building blocks. The characteristics of bio-sourced origin and assembly driven by weak interactions endow these materials with advantages such as high biocompatibility, reversible assembly, dynamic responsiveness, and controllable microstructures. These properties offer immense potential for development in fields such as biomedicine, tissue engineering, and flexible sensing. This paper concisely reviews the fundamental construction principles of self-assembling biomolecular soft materials and discusses three categories, i.e. nanomaterials, gel materials, and composite materials, by using amino acids and peptides as examples of assembly units. The specific self-assembly molecular mechanisms, material construction strategies, and functional application scenarios of these materials are elucidated. We anticipate that the research on self-assembling soft matter biomolecular materials will evolve from exploring structural units and measuring properties to customizing multifunctional properties and integrating advanced applications. This will lead to the development of novel composite intelligent biomolecular soft matter materials, and further promoting their applications in biomedicine, organic semiconductors, and soft robotics.
2024, 73(17): 177801.
doi:10.7498/aps.73.20240994
Abstract:
The application of topology in condensed matter physics began with the study of the quantum Hall effect and has gradually become the main theme of modern condensed matter physics. Its importance lies in capturing the universal properties of physical systems. In particular, fractional quantum Hall liquids are the most strongly correlated systems and exhibit topological order. Its most important and universal feature is the quasiparticle (quasi-hole) elementary excitations with fractional charge and statistics, which are captured by topological field theories. However, such a macroscopic description of fractional quantum Hall liquids is not complete, because it misses an important geometric aspect that is important for both universal and non-universal properties of the system. In particular, the nature of its electrically neutral elementary excitations has not been fully understood until recently. Finite-wavelength electrically neutral elementary excitations can be viewed as charge density waves or bound states of quasi-particles-quasi-holes. However, such pictures are not applicable in the long-wave limit, so a new theoretical framework is needed. In this theoretical framework, one of the most basic degrees of freedom is the metric tensor that describes the electron correlation. Figuratively speaking, it describes the geometric shape of the correlation hole around the electron. Therefore, this theory is called the geometric theory of the fractional quantum Hall effect. Since the metric tensor is also the basic degree of freedom of the theory of gravity, this theoretical framework can be regarded as a certain type of quantum theory of gravity. Its basic elementary excitation is a spin-two graviton. This perspective discusses the geometric degrees of freedom and its quantum dynamics in quantum Hall liquids from a microscopic perspective, revealing that its basic elementary excitations are spin-two graviton-like particles with specific chirality, and focuses on the experimental detection of this chiral graviton-like particle.
The figure illustrates graviton-like excitation and its chirality in the 1/3 Laughlin state using Xiao-Gang Wen’s dancing pattern analogy [Wen X G 2004
Quantum Field Theory of Many-body Systems: From the Origin of Sound to An Origin of Light and Electrons(Oxford: Oxford University Press)], with left panel showing that in the Laughlin ground state (or dancing pattern), the minimum relative angular momentum of a pair of dancers is three, ensuring sufficient separation between them, and with right panel displaying that a graviton-like excitation corresponding to a pair whose relative angular momentum changes from three to one (antisymmetry of fermion wave function only allows for odd relative angular momenta). This is not allowed in the Laughlin state, as a result, it corresponds to an excitation which is the “graviton” detected by Liang et al. [Liang J H, Liu Z Y, Yang Z H, et al.
2024
Nature
62878
]. In other words, the Raman process creates a “graviton” by turning a pair with relative angular momentum three (left panel) into a pair with relative angular momentum one (right panel). The angular momentum of this excitation is
\begin{document}$1- 3 =-2 $\end{document}
, corresponding to a graviton with chirality –2. For hole states like 2/3, because the chirality is reversed for holes, graviton chirality becomes +2. This figure is adopted from Yang [Yang K
2024
The Innovation
5100641
].
2024, 73(17): 170301.
doi:10.7498/aps.73.20240819
Abstract:
Most of the existing metropolitan quantum networks are implemented based on a single quantum key distribution protocol, and interconnecting metropolitan quantum networks implemented by different protocols are the development trend of large-scale quantum networks, but there are still some problems in the provision of inter-domain key services, such as low possibility of success and mismatch between key supply and demand. To solve the above problems, this paper proposes two on-demand inter-domain key service provisioning strategies for multi-domain cross-protocol quantum networks, namely, on-demand provisioning strategy based on BB84 bypass first (BB84-BF) and on-demand provisioning strategy based on MDI bypass first (MDI-BF). Meanwhile, a service provisioning model for multi-domain cross-protocol quantum networks is constructed, and an on-demand inter-domain key service provisioning algorithm is designed. Moreover, numerical simulations and performance evaluation are carried out under two scenarios: high key rate demand and low key rate demand for two-domain and three-domain quantum network topologies. Simulation results verify that the proposed on-demand provisioning strategies have better applicability to different multi-domain quantum networks. In addition, for different key rate requirements, the MDI-BF strategy and BB84-BF strategys have different performance advantages under different performance indicators. For example, in terms of the success possibility of inter-domain key service requests, the MDI-BF strategy is more suitable for the low key rate requirements (~30% higher than the traditional strategies in two domain topologies), while the BB84-BF strategy is more suitable for the high key rate requirements (~19% higher than the traditional strategies under two domain topologies). In addition, compared with the traditional strategies, the proposed on-demand provisioning strategies can increase the balance degree between key supply and demand by more than one order of magnitude. Hence, the proposed strategies can reduce the cost of inter-domain key service provisioning and improve the realistic security level.
Most of the existing metropolitan quantum networks are implemented based on a single quantum key distribution protocol, and interconnecting metropolitan quantum networks implemented by different protocols are the development trend of large-scale quantum networks, but there are still some problems in the provision of inter-domain key services, such as low possibility of success and mismatch between key supply and demand. To solve the above problems, this paper proposes two on-demand inter-domain key service provisioning strategies for multi-domain cross-protocol quantum networks, namely, on-demand provisioning strategy based on BB84 bypass first (BB84-BF) and on-demand provisioning strategy based on MDI bypass first (MDI-BF). Meanwhile, a service provisioning model for multi-domain cross-protocol quantum networks is constructed, and an on-demand inter-domain key service provisioning algorithm is designed. Moreover, numerical simulations and performance evaluation are carried out under two scenarios: high key rate demand and low key rate demand for two-domain and three-domain quantum network topologies. Simulation results verify that the proposed on-demand provisioning strategies have better applicability to different multi-domain quantum networks. In addition, for different key rate requirements, the MDI-BF strategy and BB84-BF strategys have different performance advantages under different performance indicators. For example, in terms of the success possibility of inter-domain key service requests, the MDI-BF strategy is more suitable for the low key rate requirements (~30% higher than the traditional strategies in two domain topologies), while the BB84-BF strategy is more suitable for the high key rate requirements (~19% higher than the traditional strategies under two domain topologies). In addition, compared with the traditional strategies, the proposed on-demand provisioning strategies can increase the balance degree between key supply and demand by more than one order of magnitude. Hence, the proposed strategies can reduce the cost of inter-domain key service provisioning and improve the realistic security level.
2024, 73(17): 173701.
doi:10.7498/aps.73.20240695
Abstract:
Nanobeam is an advanced technology for preparing charged ion beams with spot diameters on a nanometer scale, and mainly used for high-resolution and high-precision ion beam analysis, ion beam fabrication and ion beam material modification research. The nanobeam devices play an important role in realizing material analysis, micro/nano fabrication, microelectronic device manufacturing and quantum computing. The high-quality ion source is one of the key components of nanobeam device, the performance of which directly affects the resolution and precision of the nanobeam system. However, the traditional ion source used in this system is limited to available ionic species, large energy spread and complex structure. These issues hinder their ability to meet emerging application scenarios that require multi-ion types and high resolution. This emphasizes the importance of creating newion sources as soon as possible.
With the development of laser cooling technology, ultracold ions with temperatures in the range of mK or even μK can be obtained based on photoionization of cold atoms and laser cooling of ions. The typical characteristics of low temperature and easy operation greatly promote the emergence of ultracold ion sources. The ultracold ions exhibit extremely small transverse velocity divergence, which can significantly enhance the brightness and emittance quality parameters of the ion source, bringing great opportunities for innovating nano-ion beam technology. Therefore, the research on ultracold ion sources is of great significance for achieving high-quality ion sources with higher brightness, smaller size, lower energy dispersion, more diverse ion species, and simplified structure. Here, we introduce the important achievements in basic research and application technology development of magneto-optical trap ion sources, cold atomic beam ion sources, and ultracold single ion sources from the aspects of preparation principles, generation methods, and typical applications, and review the recent research progress of ultracold ion sources. Finally, we provide an outlook on the future development and application prospects of ultracold ion sources.
Development of a transmission X-ray nanometer-resolution microscope based on laboratory light source
2024, 73(17): 178701.
doi:10.7498/aps.73.20240727
Abstract:
Transmission X-ray microscope (TXM) is a high-precision, cutting-edge X-ray imaging instrument, which is a marvel of modern science and technology. It enables non-destructive imaging on a nanoscale, providing a powerful research tool for various scientific fields such as physics, life science, materials science, and chemistry. Although many synchrotron radiation facilities at home and abroad have established nano-CT experimental stations with TXM as the core, currently only a few companies internationally can provide commercial TXM instrument based on laboratory X-ray sources. The primary reason is that this instrument involves numerous engineering challenges, including high-brightness laboratory X-ray sources, high-resolution X-ray optical elements, high-precision sample stage systems, high-sensitivity detectors, and extremely strict requirements for environmental factors such as temperature and vibration. In order to promote the development of high-end X-ray imaging instruments, it is necessary to overcome the technological bottlenecks encountered in the development of X-ray nano-CT. Discussed in this work mainly are the instrument design of a laboratory transmission X-ray microscope with working energy of 5.4 keV and the results of full-field imaging experiments. To start with, the design of the TXM instrument is introduced in detail. The TXM instrument is equipped with several key components, including laboratory X-ray source, condenser, sample stage module, zone plate, and imaging detector. The TXM instrument adopts a modular vibration isolation design and is equipped with a dedicated temperature control system. The main imaging magnifications of the TXM instrument are 50×, 75×, and 100×, and the corresponding optical parameters and photos are introduced. The X-ray source used is a micro-focus X-ray source, operating in Cr target mode, with a focal spot size of 20 μm and a Ka characteristic spectrum brightness of
\begin{document}$ 5\times {10}^{9}~\rm {photons}/({mm}^2\cdot {mrad}^2\cdot s)$\end{document}
. The X-ray source provides illumination for the sample after being focused by an ellipsoidal condenser. The outer ring of the condenser's illumination ring corresponds to a numerical aperture (NA) of
\begin{document}$ {NA}_{2} = 3.196~\rm mrad $\end{document}
, and the inner ring corresponds to a numerical aperture of
\begin{document}$ {NA}_{1} = 1.9086~\rm mrad $\end{document}
. Under these conditions, the limit resolution of this TXM instrument is 22 nm. The zone plate has a diameter of 70μm, a focal length of 8.7mm, and 616 zones. The TXM instrument uses a high-resolution optical coupling detector equipped with a scientific-grade CMOS camera with an effective pixel size of 7.52μm. The optical coupling detector is equipped with 2× and 10× high numerical aperture objectives. When the TXM instrument magnification is 50×, the effective pixel size of the TXM instrument is 15 nm. In addition,a gold resolution test card is used as the sample to determine the imaging field of view of the TXM instrument by observing the size of the imaging area of the test card on the detector, and to determine the imaging resolution of the TXM instrument by observing the line width of the star-shaped target in the center of the test card. Experimental results show that the TXM instrument has an imaging field of view of 26μm and can achieve the clear imaging of characteristic structure with a line width of 30 nm. The radial power spectrum curve of the Siemens Star shows this TXM instrument has the potential to resolve 28.6-nm half pitch line pair features. Finally, we draw some conclusions and present outlook. At present, imaging of 30-nm-wide line features has been realized, but the imaging of 30-nm half pitch line pair feature has not yet been achieved, and the limit resolution has not reached the design value, either. We will continue to explore the potential for upgrading the imaging resolution of the laboratory TXM in future work.
Transmission X-ray microscope (TXM) is a high-precision, cutting-edge X-ray imaging instrument, which is a marvel of modern science and technology. It enables non-destructive imaging on a nanoscale, providing a powerful research tool for various scientific fields such as physics, life science, materials science, and chemistry. Although many synchrotron radiation facilities at home and abroad have established nano-CT experimental stations with TXM as the core, currently only a few companies internationally can provide commercial TXM instrument based on laboratory X-ray sources. The primary reason is that this instrument involves numerous engineering challenges, including high-brightness laboratory X-ray sources, high-resolution X-ray optical elements, high-precision sample stage systems, high-sensitivity detectors, and extremely strict requirements for environmental factors such as temperature and vibration. In order to promote the development of high-end X-ray imaging instruments, it is necessary to overcome the technological bottlenecks encountered in the development of X-ray nano-CT. Discussed in this work mainly are the instrument design of a laboratory transmission X-ray microscope with working energy of 5.4 keV and the results of full-field imaging experiments. To start with, the design of the TXM instrument is introduced in detail. The TXM instrument is equipped with several key components, including laboratory X-ray source, condenser, sample stage module, zone plate, and imaging detector. The TXM instrument adopts a modular vibration isolation design and is equipped with a dedicated temperature control system. The main imaging magnifications of the TXM instrument are 50×, 75×, and 100×, and the corresponding optical parameters and photos are introduced. The X-ray source used is a micro-focus X-ray source, operating in Cr target mode, with a focal spot size of 20 μm and a Ka characteristic spectrum brightness of
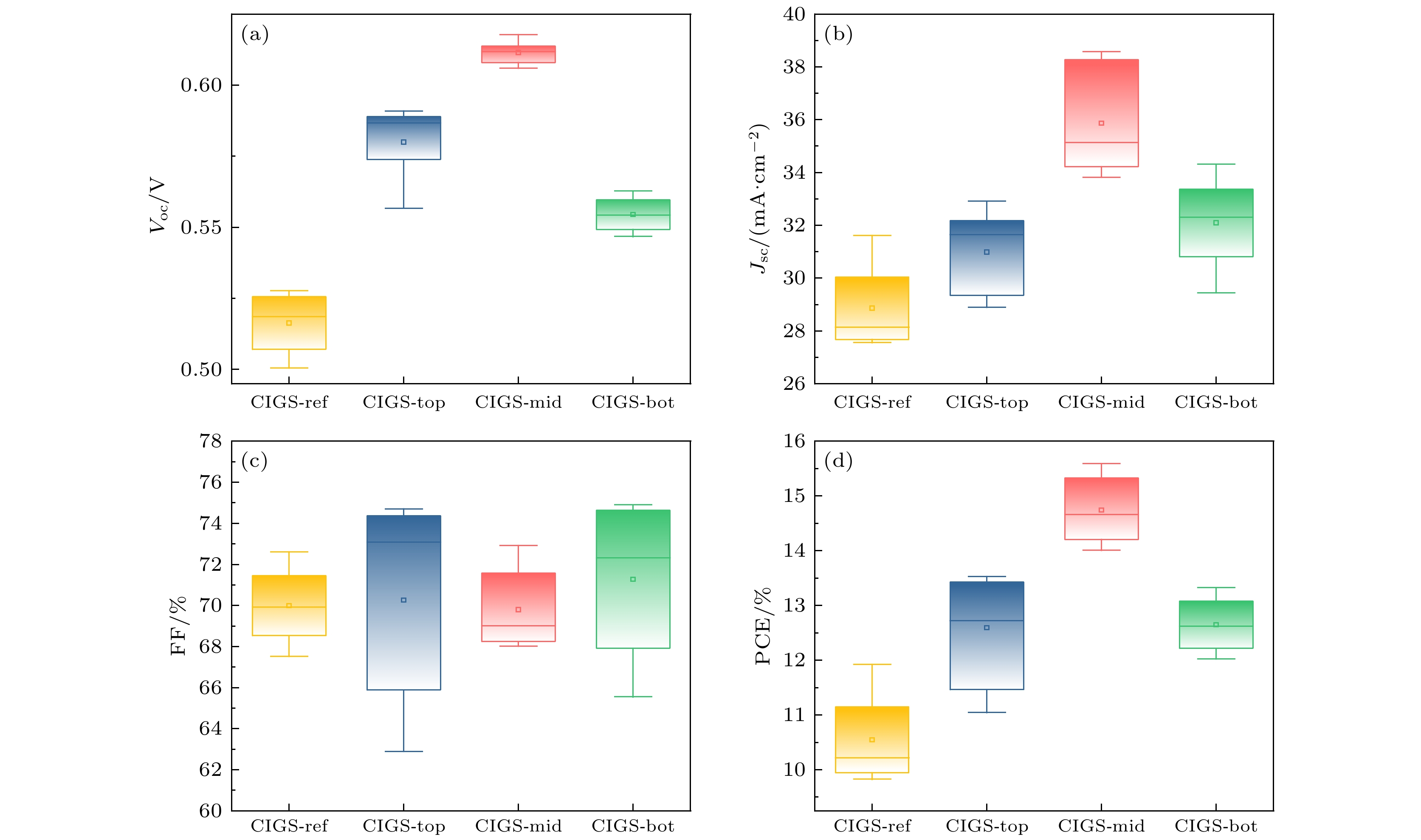
2024, 73(17): 176301.
doi:10.7498/aps.73.20240795
Abstract:
In recent decades, the demand for clean energy has promoted extensive research on solar cells as a key renewable energy source. Among the various emerging absorber layer materials, Kesterite-type semiconductors have aroused significant interest. Especially, Kesterite Cu
2ZnSnS
4(CZTS) stands out as a promising candidate for low-cost thin-film solar cells due to its direct bandgap, high optical absorption coefficient, suitable bandgap (1.39–1.52 eV), and abundance of constituent elements. However, the power conversion efficiency (PCE) of CZTS-based solar cells currently lags behind that of Cu(In,Ga)Se
2(CIGS) cells, mainly due to insufficient open-circuit voltage caused by a large number of disordered cations and defect clusters, resulting in non-radiative recombination and band-tail states.
To address these challenges, partial or complete cation substitution has become a viable strategy for altering the harmful defects in CZTS. This study proposes a heterovalent substitution of Zn in CZTS and explores the potential of novel quaternary chalcogenide compound
A
2
M
2
M'Q
4(
A= Na, K, Rb, Cs, In, Tl;
M= Cu, Ag, Au;
M'= Ti, Zr, Hf, Ge, Sn;
Q= S, Se, Te) as absorbers for solar cells. By substituting elements in five prototype structures, a comprehensive material database comprising 1350
A
2
M
2
M'Q
4compounds is established.
High-throughput screening and first-principles calculations are used to evaluate the thermodynamic stabilities, band gaps, spectroscopic limited maximum efficiencies (SLMEs), and phonon dispersions of these compounds. Our research results indicate that 543 compounds exhibit thermodynamic stability (
E
hull< 0.01 eV/atom), 202 compounds possess suitable band gaps (1.0–1.5 eV), and 10 compounds meet all the criteria for thermodynamic and dynamic stability, suitable band gaps, and high optical absorption performance (10
4–10
6cm
–1), with theoretical SLME values exceeding 30%.
Notably,
Ibam-Rb
2Ag
2GeTe
4exhibits the highest SLME (31.8%) in these candidates, featuring a band gap of 1.27 eV and a small carrier effective mass (<
m
0). The electronic structures and optical properties of these compounds are comparable to those of CZTS, which makes them suitable for highly efficient single-junction thin-film solar cells.
All the data presented in this work can be found at
https://www.doi.org/10.57760/sciencedb.j00213.00006
.
2024, 73(17): 170302.
doi:10.7498/aps.73.20240802
Abstract:
This work is to study the effects of charged sand/dust atmosphere on the performances of microwave quantum illumination (QI) radar. Based on Mie particle scattering theory, using a Monte Carlo method for simulating the physical process in which photon is scattered multiple times by discrete random distributed particles, the specific attenuation (dB/km) of microwave propagating in sand/dust atmosphere are analyzed under the conditions of varying atmospheric visibility and sand/dust particles with different charged quantities. It is indicated that the specific attenuation obtained by multiple scattering is smaller than that obtained based on Mie theory, for microwave propagating in charged sand/dust atmosphere. The smaller the atmospheric visibility, the greater the difference is, while the difference decreases gradually as the atmospheric visibility increases. Then, it is more reasonable to consider multiple scattering attenuation at lower atmospheric visibility. When sand/dust particle is charged, the specific attenuation is increased, however, this increase is not linear.
According to quantum illumination radar theory, a beam splitter-based optical link model is used to simulate the sand/dust atmospheric channel. The effects of charged sand/dust atmosphere with different visibility on the detection error probability, signal-to-noise ratio, and maximum detection range for microwave quantum illumination radar are studied by using quantum radar equation and quantum detection error probability theory. The performances between QI radar and classical two-mode noise (TMN) radar are compared and analyzed. These results show that the performances of quantum illumination radar are improved with sand/dust atmospheric visibility increasing. When sand/dust particles are charged, the performances for QI radar are degraded due to attenuation increasing. The change in the performance is nonlinear with the variation of sand/dust carrying charge quantity. When visibility is high, increasing the signal frequency can improve the performance of quantum illumination radar, but when visibility is low, the gain of frequency increase is offset by the performance decline caused by attenuation increase. Therefore, it is not recommended to increase the frequency in such a case. The comparison with classical radar reveals that QI radar performs better under the condition of lower atmospheric visibility and lower average photon emission, but this advantage diminishes as the number of photons increases.
In a word, these results show that the performances of QI radar are more significant at lower atmospheric visibility. Under higher visibility conditions, the QI system SNR can be improved by increasing frequency. The maximum detection range of the QI radar is significantly better than that of the classical TMN radar.
2024, 73(17): 170502.
doi:10.7498/aps.73.20240872
Abstract:
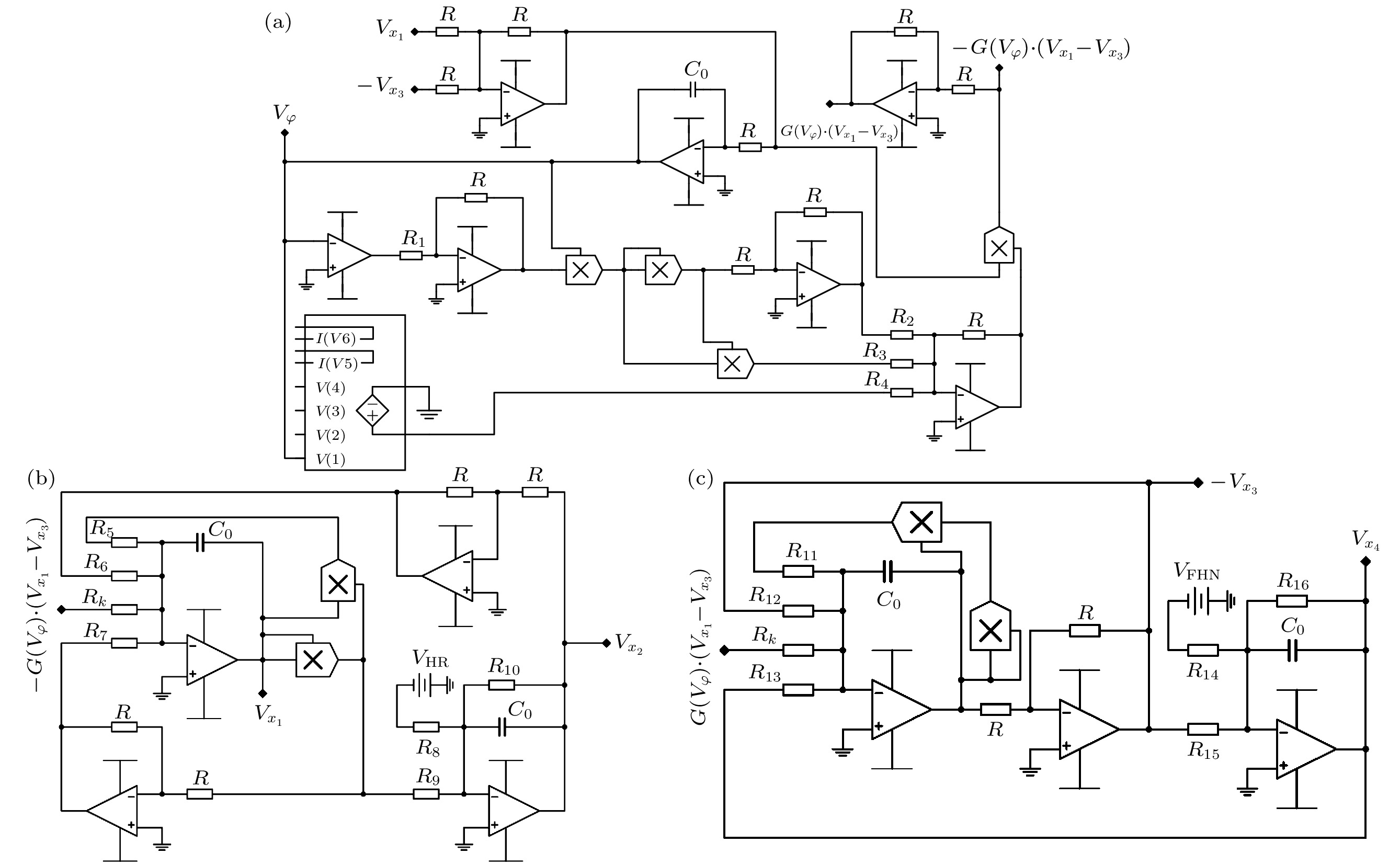
The processing and transmission of biological neural information are realized via firing activities of neurons in different regions of brain. Memristors are regarded as ideal devices for emulating biological synapses because of their nanoscale size, non-volatility and synapse-like plasticity. Hence, investigating firing modes of memristor-coupled heterogeneous neurons is significant. This work focuses on modelling, firing modes and chaos synchronization of a memristor-coupled heterogeneous neuron. First, a novel locally active memristor is proposed, and its frequency characteristics, local activity, and non-volatility are analyzed. Then, the novel locally active memristor is introduced into the two-dimensional HR neuron and the two-dimensional FHN neuron to construct a novel memristor-coupled heterogeneous neuron model. In numerical simulations, by changing the coupling strength, it is found that the model exhibits the periodic spike firing mode, the chaotic spike firing mode, the periodic burst firing mode, and the random burst firing mode. Besides, the dynamic behavior of the novel memristor-coupled heterogeneous neuron can switch between periodic behavior and chaotic behavior by changing the initial state. Finally, based on the Lyapunov stability theory and the predefined-time stability theory, a novel predefined-time synchronization strategy is proposed and used to realize the chaos synchronization of the novel memristor-coupled heterogeneous neuron. The results show that compared with a finite-time synchronization strategy, a fixed-time synchronization strategy and a traditional predefined-time synchronization strategy, the novel predefined-time synchronization strategy has a short actual convergence time. Studying the firing modes and chaotic synchronization of the novel memristor-coupled heterogeneous neuron can help explore the neural functions of the brain and is also important in processing the neural signal and secure communication fields.
The processing and transmission of biological neural information are realized via firing activities of neurons in different regions of brain. Memristors are regarded as ideal devices for emulating biological synapses because of their nanoscale size, non-volatility and synapse-like plasticity. Hence, investigating firing modes of memristor-coupled heterogeneous neurons is significant. This work focuses on modelling, firing modes and chaos synchronization of a memristor-coupled heterogeneous neuron. First, a novel locally active memristor is proposed, and its frequency characteristics, local activity, and non-volatility are analyzed. Then, the novel locally active memristor is introduced into the two-dimensional HR neuron and the two-dimensional FHN neuron to construct a novel memristor-coupled heterogeneous neuron model. In numerical simulations, by changing the coupling strength, it is found that the model exhibits the periodic spike firing mode, the chaotic spike firing mode, the periodic burst firing mode, and the random burst firing mode. Besides, the dynamic behavior of the novel memristor-coupled heterogeneous neuron can switch between periodic behavior and chaotic behavior by changing the initial state. Finally, based on the Lyapunov stability theory and the predefined-time stability theory, a novel predefined-time synchronization strategy is proposed and used to realize the chaos synchronization of the novel memristor-coupled heterogeneous neuron. The results show that compared with a finite-time synchronization strategy, a fixed-time synchronization strategy and a traditional predefined-time synchronization strategy, the novel predefined-time synchronization strategy has a short actual convergence time. Studying the firing modes and chaotic synchronization of the novel memristor-coupled heterogeneous neuron can help explore the neural functions of the brain and is also important in processing the neural signal and secure communication fields.
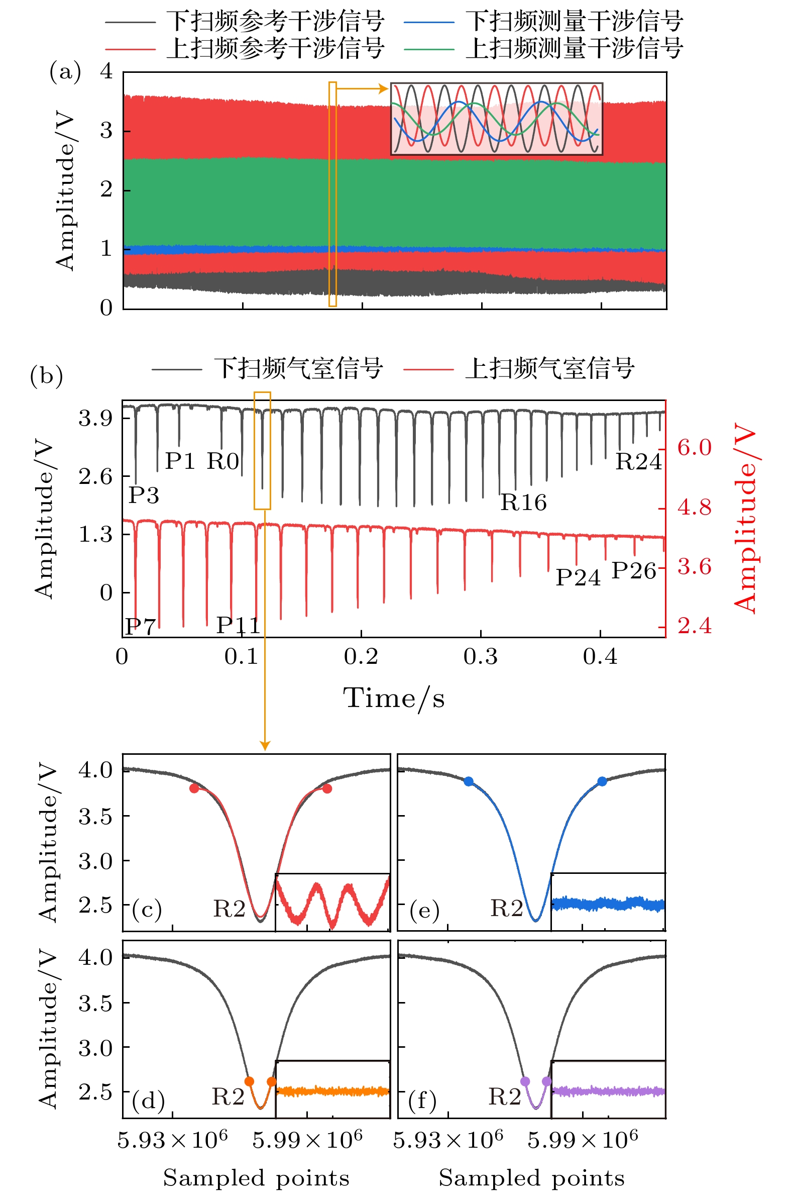
2024, 73(17): 170601.
doi:10.7498/aps.73.20240840
Abstract:
Accurate measurement of length is an important foundation for ensuring the quality of advanced manufacturing equipment. In recent years, absolute ranging technology represented by frequency scanning interferometry (FSI) has gradually become a widely used ranging method in the manufacturing industry due to its advantages of high precision, high flexibility, and no range ambiguity. To address the repeatability and accuracy of length reference calibration in FSI absolute ranging, this paper proposes a method of accurately calibrating length reference based on bidirectional absorption spectrum feature fusion and proportional coefficient calibration, by using gas absorption spectroscopy to calibrate the delayed long fiber path length as a length reference in the distance measurement system online, and by using weighted linear least squares method to solve the differences in uncertainty among different absorption spectrum peaks. To address the problem of low repeatability in optical fiber path length calibration by using absorption spectroscopy, a method of utilizing bidirectional absorption spectrum feature fusion is proposed, thereby improving the precision of optical fiber path length calibration. To address the issue of insufficient accuracy in absolute optical frequency of absorption spectrum peaks, a calibration method by using a single absorption spectrum proportional coefficient is proposed. Compared with the idea of calibrating the optical frequency of each peak one by one, this method is simple and direct, thus improving the accuracy of fiber path length calibration. To verify the effectiveness of the above methods, the experiments on repeated precision evaluation, proportional coefficient calibration, and accuracy comparison are conducted separately. The experimental results show that the standard deviation for calibrating the optical path length of 164 m fiber is 10–30 μm. Under the conditions of system temperature rise and temperature stability, the distance measurement standard deviations are not greater than 5 μm in the measurement ranges of 0–10 m and 0–15 m, and the distance comparison residuals are not greater than ±4 μm, demonstrating the good distance measurement performance of the system. In the future, we will carry out thermal insulation and temperature control of the gas absorption chamber and the entire ranging optical path, and study the stability of the spectral proportionality coefficient and absorption peaks while controlling external environmental factors.
Accurate measurement of length is an important foundation for ensuring the quality of advanced manufacturing equipment. In recent years, absolute ranging technology represented by frequency scanning interferometry (FSI) has gradually become a widely used ranging method in the manufacturing industry due to its advantages of high precision, high flexibility, and no range ambiguity. To address the repeatability and accuracy of length reference calibration in FSI absolute ranging, this paper proposes a method of accurately calibrating length reference based on bidirectional absorption spectrum feature fusion and proportional coefficient calibration, by using gas absorption spectroscopy to calibrate the delayed long fiber path length as a length reference in the distance measurement system online, and by using weighted linear least squares method to solve the differences in uncertainty among different absorption spectrum peaks. To address the problem of low repeatability in optical fiber path length calibration by using absorption spectroscopy, a method of utilizing bidirectional absorption spectrum feature fusion is proposed, thereby improving the precision of optical fiber path length calibration. To address the issue of insufficient accuracy in absolute optical frequency of absorption spectrum peaks, a calibration method by using a single absorption spectrum proportional coefficient is proposed. Compared with the idea of calibrating the optical frequency of each peak one by one, this method is simple and direct, thus improving the accuracy of fiber path length calibration. To verify the effectiveness of the above methods, the experiments on repeated precision evaluation, proportional coefficient calibration, and accuracy comparison are conducted separately. The experimental results show that the standard deviation for calibrating the optical path length of 164 m fiber is 10–30 μm. Under the conditions of system temperature rise and temperature stability, the distance measurement standard deviations are not greater than 5 μm in the measurement ranges of 0–10 m and 0–15 m, and the distance comparison residuals are not greater than ±4 μm, demonstrating the good distance measurement performance of the system. In the future, we will carry out thermal insulation and temperature control of the gas absorption chamber and the entire ranging optical path, and study the stability of the spectral proportionality coefficient and absorption peaks while controlling external environmental factors.
2024, 73(17): 170501.
doi:10.7498/aps.73.20240796
Abstract:
The self-propulsion of active matter leads to many non-equilibrium self-organization phenomena, and the conformational freedom of polymer chains can produce unique equilibrium self-assembly behaviors, which stimulates cross-disciplinary research between active matter and polymer physics. In this work, we use molecular dynamics simulations to investigate the modulation of self-propulsion activity on the gel transition of ABA triblock copolymers. The research results indicate that under different active forces and attractive strengths, the gel states formed by ABA copolymers can be divided into three types: stable polymer gels with stable percolation paths and uniform spatial distribution, dynamic polymer gels with constantly changing percolation path and strand conformation, and collapsed polymer gels aggregating into large percolating clusters. The spatial uniformity of active gels is related not only to the concentration fluctuation during the formation of the network, but also to the inconsistent movement of the network chains caused by the activity, which is manifested in the rotation of crosslinking points in the flexible system and the directional movement of the bundles along their contour directions in the semi-flexible and rigid systems. In terms of topological conformation of polymer networks, when the attractive strength between A blocks is strong, the proportion of loop increases with the active force increasing. When attractive strength is weak, inter- and intra-chain binding are unstable, and the conformation is easily changed by the activity drive, noise and other chain collisions, so the proportion of loop decreases with the active force increasing. The branching number of crosslinking points varies with active force, which is not only affected by the attraction strength, but also related to the rigidity of the network chain. Generally, the branch number of crosslinking points in semi-flexible networks is larger than that in flexible and rigid networks. In addition, the directional motion of active polymers induces anomalous diffusion in stable polymer gels. This study contributes to the understanding of the collective behavior of active polymers and serves as a guide for designing and implementing active polymeric materials.
The self-propulsion of active matter leads to many non-equilibrium self-organization phenomena, and the conformational freedom of polymer chains can produce unique equilibrium self-assembly behaviors, which stimulates cross-disciplinary research between active matter and polymer physics. In this work, we use molecular dynamics simulations to investigate the modulation of self-propulsion activity on the gel transition of ABA triblock copolymers. The research results indicate that under different active forces and attractive strengths, the gel states formed by ABA copolymers can be divided into three types: stable polymer gels with stable percolation paths and uniform spatial distribution, dynamic polymer gels with constantly changing percolation path and strand conformation, and collapsed polymer gels aggregating into large percolating clusters. The spatial uniformity of active gels is related not only to the concentration fluctuation during the formation of the network, but also to the inconsistent movement of the network chains caused by the activity, which is manifested in the rotation of crosslinking points in the flexible system and the directional movement of the bundles along their contour directions in the semi-flexible and rigid systems. In terms of topological conformation of polymer networks, when the attractive strength between A blocks is strong, the proportion of loop increases with the active force increasing. When attractive strength is weak, inter- and intra-chain binding are unstable, and the conformation is easily changed by the activity drive, noise and other chain collisions, so the proportion of loop decreases with the active force increasing. The branching number of crosslinking points varies with active force, which is not only affected by the attraction strength, but also related to the rigidity of the network chain. Generally, the branch number of crosslinking points in semi-flexible networks is larger than that in flexible and rigid networks. In addition, the directional motion of active polymers induces anomalous diffusion in stable polymer gels. This study contributes to the understanding of the collective behavior of active polymers and serves as a guide for designing and implementing active polymeric materials.
2024, 73(17): 172401.
doi:10.7498/aps.73.20240656
Abstract:
When a hypersonic vehicle is flying in the near space region, the strong friction between the vehicle and the air can cause the air to ionize. As a result, the plasma sheath around the vehicle and the wake flow field behind it are formed, significantly affecting the electromagnetic (EM) scattering characteristics of the vehicle and resulting in the communication blackout. Therefore, the investigation of electron density distribution of the plasma sheath and wake flow field is of the great significance in the detection, communication, etc. of the hypersonic target. In order to meet the requirements for on-ground electron density distribution measurement of the transient plasma flow fields, the feasibility of measuring electron density profile with seven-channel microwave interferometer measurement system is demonstrated in this work. The wake plasma is modeled as a non-uniform multilayer medium, and the full-wave simulation software FEKO is used to calculate the phase-shift information of EM wave transmitting through non-uniform single-layered dielectric plate, uniform and non-uniform multi-layered dielectric plates. According to the simulation results, the dielectric constant of the substrate is retrieved and compared with the preset result. The retrieved results show that it is feasible that the dielectric constant distribution of non-uniform multi-layered dielectric plate is measured by utilizing the proposed microwave interferometer system with one transmission port and seven receptions. The amplitude-phase dynamic range analysis of the proposed Ka-band microwave measurement system is also carried out. The key technologies including large instantaneous amplitude-phase dynamic range and ray tracking inversion algorithm for two-dimensional (2-D) electron density distribution are also developed. Finally, the complete scheme of Ka-band seven-channel microwave interferometer measurement system is introduced. The system includes one lens antenna to generate the required plane wave and seven open-ended waveguide receiving antennas which are asymmetrically arranged to improve the lateral spatial resolution of the system. The system exhibits the amplitude dynamic range and the phase dynamic range of over 65 dB and 180° under 1 MHz IF bandwidth respectively. The plasma electron density distributions are measured by utilizing the proposed seven-channel microwave interferometer system in the ballistic range and multi-functional shock tube. The response time of the system is smaller than 1μs, satisfying the requirement for the two-dimensional distribution measurement of the transient plasma flow field generated by the ballistic range and multi-functional shock tube. The differences between experimental and numerical results are less than 0.5 order of magnitude, and the variations in transient plasma generated in both ballistic target and shock tube equipments are well detected. The measurement range of plasma electron density is 1010-1013cm–3and the spatial resolution is better than 15mm. In addition, the proposed ray tracing method is also used to invert the two-dimensional (2D) electron density distributions of both square layered model and cylindrical layered model under identical experimental state. The results are in consistent with each other, indicating that the proposed ray tracing method can be used in the inversion of 2D electron density distribution of plasma with different shapes.
When a hypersonic vehicle is flying in the near space region, the strong friction between the vehicle and the air can cause the air to ionize. As a result, the plasma sheath around the vehicle and the wake flow field behind it are formed, significantly affecting the electromagnetic (EM) scattering characteristics of the vehicle and resulting in the communication blackout. Therefore, the investigation of electron density distribution of the plasma sheath and wake flow field is of the great significance in the detection, communication, etc. of the hypersonic target. In order to meet the requirements for on-ground electron density distribution measurement of the transient plasma flow fields, the feasibility of measuring electron density profile with seven-channel microwave interferometer measurement system is demonstrated in this work. The wake plasma is modeled as a non-uniform multilayer medium, and the full-wave simulation software FEKO is used to calculate the phase-shift information of EM wave transmitting through non-uniform single-layered dielectric plate, uniform and non-uniform multi-layered dielectric plates. According to the simulation results, the dielectric constant of the substrate is retrieved and compared with the preset result. The retrieved results show that it is feasible that the dielectric constant distribution of non-uniform multi-layered dielectric plate is measured by utilizing the proposed microwave interferometer system with one transmission port and seven receptions. The amplitude-phase dynamic range analysis of the proposed Ka-band microwave measurement system is also carried out. The key technologies including large instantaneous amplitude-phase dynamic range and ray tracking inversion algorithm for two-dimensional (2-D) electron density distribution are also developed. Finally, the complete scheme of Ka-band seven-channel microwave interferometer measurement system is introduced. The system includes one lens antenna to generate the required plane wave and seven open-ended waveguide receiving antennas which are asymmetrically arranged to improve the lateral spatial resolution of the system. The system exhibits the amplitude dynamic range and the phase dynamic range of over 65 dB and 180° under 1 MHz IF bandwidth respectively. The plasma electron density distributions are measured by utilizing the proposed seven-channel microwave interferometer system in the ballistic range and multi-functional shock tube. The response time of the system is smaller than 1μs, satisfying the requirement for the two-dimensional distribution measurement of the transient plasma flow field generated by the ballistic range and multi-functional shock tube. The differences between experimental and numerical results are less than 0.5 order of magnitude, and the variations in transient plasma generated in both ballistic target and shock tube equipments are well detected. The measurement range of plasma electron density is 1010-1013cm–3and the spatial resolution is better than 15mm. In addition, the proposed ray tracing method is also used to invert the two-dimensional (2D) electron density distributions of both square layered model and cylindrical layered model under identical experimental state. The results are in consistent with each other, indicating that the proposed ray tracing method can be used in the inversion of 2D electron density distribution of plasma with different shapes.
2024, 73(17): 173101.
doi:10.7498/aps.73.20240461
Abstract:
Hydrazone molecular switches have significant application value in supramolecular chemistry. A new type of hydrazone molecular switch, named isatin N2-diphenylhydrazone, has been synthesized. Owing to its cis-trans isomerization characteristics under visible light excitation, ease of synthesizing of derivatives, and sensitivity to external stimuli, it has important application value in the field of biochemistry. Because of its forward and backward visible light excitation characteristics, it is considered a class of compound that is very suitable for molecular switches, and it has a wide application value in fields such as biotechnology. In addition, the derivatives compound exhibits strong interactions with negative ions, which enhances its function as a molecular switch, making it a four-state molecular switch that can be achieved by a single molecule. However, the photo-induced isomerization mechanism of these new molecular switches is not yet clear, and whether there are novel phenomena in the isomerization process is also unknown. In this work, a semi empirical OM2/MRCI based trajectory surface hopping dynamics method is adopted to systematically study a photo induced isomerization mechanism based on the E-Z isomerization process of the isatin N2-diphenylhydrazones molecular switch. Optimization configuration and the average lifetime of the first excited S1state are obtained by using the semi-empirical OM2/MRCI method of molecular switch. It is found that the average lifetime of the S1excited state of the E-configuration molecular switch is about 107 fs, and the quantum yield of E-Z isomerization of the molecular switch is 16.01%. By calculating the photo induced isomerization process of the molecular switch, two different isomerization mechanisms of the molecular switch are identified. In addition to the traditional molecular switch isomerization mechanism revolving around the C=N bond, a new isomerization mechanism, i.e. the face-to-face twisting of the molecular switch rotor part is elucidated. By calculating the time-resolved fluorescence radiation spectrum, it is predicted that there may be a very fast fluorescence quenching phenomenon occurring in about 75 fs in the isomerization process, slightly faster than the S1average decay events (107 fs). The information about wavelength-resolved attenuation at different times is also calculated, which reflects the ultrafast fluorescence quenching process accompanied by fluorescence red shift, ranging from 2.1 × 104cm–1to 3.4 × 104cm–1. By comparing the calculated fluorescence spectra with the average lifetime of excited states, the existence of “dark states” is proposed, and possible explanations for the existence of “dark states” are provided, and those “dark states” may be related to lower quantum yields. The research results can provide theoretical guidance for the design and application of new molecular switches. The ease of synthesis and sensitivity to external stimuli of its derivatives make those compounds extremely valuable in molecular switching and light measurement applications.
Hydrazone molecular switches have significant application value in supramolecular chemistry. A new type of hydrazone molecular switch, named isatin N2-diphenylhydrazone, has been synthesized. Owing to its cis-trans isomerization characteristics under visible light excitation, ease of synthesizing of derivatives, and sensitivity to external stimuli, it has important application value in the field of biochemistry. Because of its forward and backward visible light excitation characteristics, it is considered a class of compound that is very suitable for molecular switches, and it has a wide application value in fields such as biotechnology. In addition, the derivatives compound exhibits strong interactions with negative ions, which enhances its function as a molecular switch, making it a four-state molecular switch that can be achieved by a single molecule. However, the photo-induced isomerization mechanism of these new molecular switches is not yet clear, and whether there are novel phenomena in the isomerization process is also unknown. In this work, a semi empirical OM2/MRCI based trajectory surface hopping dynamics method is adopted to systematically study a photo induced isomerization mechanism based on the E-Z isomerization process of the isatin N2-diphenylhydrazones molecular switch. Optimization configuration and the average lifetime of the first excited S1state are obtained by using the semi-empirical OM2/MRCI method of molecular switch. It is found that the average lifetime of the S1excited state of the E-configuration molecular switch is about 107 fs, and the quantum yield of E-Z isomerization of the molecular switch is 16.01%. By calculating the photo induced isomerization process of the molecular switch, two different isomerization mechanisms of the molecular switch are identified. In addition to the traditional molecular switch isomerization mechanism revolving around the C=N bond, a new isomerization mechanism, i.e. the face-to-face twisting of the molecular switch rotor part is elucidated. By calculating the time-resolved fluorescence radiation spectrum, it is predicted that there may be a very fast fluorescence quenching phenomenon occurring in about 75 fs in the isomerization process, slightly faster than the S1average decay events (107 fs). The information about wavelength-resolved attenuation at different times is also calculated, which reflects the ultrafast fluorescence quenching process accompanied by fluorescence red shift, ranging from 2.1 × 104cm–1to 3.4 × 104cm–1. By comparing the calculated fluorescence spectra with the average lifetime of excited states, the existence of “dark states” is proposed, and possible explanations for the existence of “dark states” are provided, and those “dark states” may be related to lower quantum yields. The research results can provide theoretical guidance for the design and application of new molecular switches. The ease of synthesis and sensitivity to external stimuli of its derivatives make those compounds extremely valuable in molecular switching and light measurement applications.
2024, 73(17): 174201.
doi:10.7498/aps.73.20240673
Abstract:
In this paper, the mode-locked pulse generation and annihilation dynamics in ultrafast fiber lasers based on pump intensity modulation are investigated by using real-time Fourier transform spectral probing. The results show that the laser outputs stable mode-locked pulses when the pump modulation voltage is at a high level. As the modulation voltage jumps to a low level, the intensity of the mode-locked pulse decreases, and then undergoes a period of decaying oscillation before annihilation occurs, and after ~5 μs the soliton is reconstructed from the noise, accompanied by the generation of theQ-modulation instability. In the low-level phase, the annihilation process in the laser cavity occurs continuously with a period of ~55 μs. By changing the duty cycle of the modulation pump, it is possible to control the the number of times solitons continuously annihilate under low-level modulation. Further, the continuous switching process of mode-locking and soliton annihilation is related to the modulation frequency of the pump, and the increase of the modulation frequency can effectively shorten the duration of the two states, thus reducing the number of soliton annihilations. In addition, by reducing the value of the low level, the gain in the laser cavity can be reduced, resulting in a shorter period of successive soliton annihilation. The results of the study are conducive to an in-depth understanding of the formation and annihilation dynamics of solitons, and provide new perspectives for developing various operation mechanisms of ultrafast lasers.
In this paper, the mode-locked pulse generation and annihilation dynamics in ultrafast fiber lasers based on pump intensity modulation are investigated by using real-time Fourier transform spectral probing. The results show that the laser outputs stable mode-locked pulses when the pump modulation voltage is at a high level. As the modulation voltage jumps to a low level, the intensity of the mode-locked pulse decreases, and then undergoes a period of decaying oscillation before annihilation occurs, and after ~5 μs the soliton is reconstructed from the noise, accompanied by the generation of theQ-modulation instability. In the low-level phase, the annihilation process in the laser cavity occurs continuously with a period of ~55 μs. By changing the duty cycle of the modulation pump, it is possible to control the the number of times solitons continuously annihilate under low-level modulation. Further, the continuous switching process of mode-locking and soliton annihilation is related to the modulation frequency of the pump, and the increase of the modulation frequency can effectively shorten the duration of the two states, thus reducing the number of soliton annihilations. In addition, by reducing the value of the low level, the gain in the laser cavity can be reduced, resulting in a shorter period of successive soliton annihilation. The results of the study are conducive to an in-depth understanding of the formation and annihilation dynamics of solitons, and provide new perspectives for developing various operation mechanisms of ultrafast lasers.
2024, 73(17): 174202.
doi:10.7498/aps.73.20240860
Abstract:
The exploration and utilization of marine resources has promoted the rapid development of marine science and technology, and has put forward higher requirements for underwater communication technology. Long distance underwater wireless optical communication (UWOC) requires the selection of light source on the transmitter side. Laser diodes (LDs) have excellent portability and maneuverability, and have been widely used in the UWOC systems. However, their beam quality is not so good and it is difficult to modulate under high power. In recent years, vertical-external-cavity surface-emitting laser (VECSEL) has received much attention due to its high output power and good beam quality. This work is to explore the advantages of using a 490-nm blue VECSEL as a light source in UWOC, and to improve the performance of the UWOC system by the soft-decision pulse-position modulation (PPM). First, the optical power attenuation coefficient of the channel is obtained, and the measuredcis about 0.0591 m–1in a 96-m-long tap channel. Subsequently, soft-decision and hard-decision are simulated and experimentally verified. Both simulations and measurements show that the bit error rate (BER) can be significantly reduced with soft-decision. Afterwards, we improve the system by using the soft-decision algorithm and investigate the communication performance of 64 PPMs at different bandwidths by adjusting the PPM signal rate. Finally, 50 MHz is chosen as a signal rate in the experiment. Then a UWOC system is demonstrated in this work. The transmitter side consists of a 490-nm VECSEL light source with an acousto-optic modulator (AOM). The pseudo-random binary sequence (PRBS) is loaded into the arbitrary waveform generator (AWG) for digital-to-analog conversion after PPM modulation, and the analog signal is sent to the driver of the AOM for acousto-optic modulation of the incident beam. The laser is focused before entering the AOM and then collimated after having exited to reduce its divergence. The modulated laser beam passes through a distance of 96 m in the tank by using multiple mirrors on both sides of the tank. Then, the beam is focused by a lens to the avalanche photodiode (APD) for photoelectric conversion in the end, and the signal is processed by a mixed signal oscilloscope (MSO) after data acquisition. A soft-decision algorithm is introduced to further optimize the performance of the PPM modulation. When the optical signal passes through a relatively long distance of 96 m, the measured BER is as low as 1.9 × 10–5. This indicates that the soft-decision PPM-based 490 nm blue VECSEL UWOC system performs very well.
The exploration and utilization of marine resources has promoted the rapid development of marine science and technology, and has put forward higher requirements for underwater communication technology. Long distance underwater wireless optical communication (UWOC) requires the selection of light source on the transmitter side. Laser diodes (LDs) have excellent portability and maneuverability, and have been widely used in the UWOC systems. However, their beam quality is not so good and it is difficult to modulate under high power. In recent years, vertical-external-cavity surface-emitting laser (VECSEL) has received much attention due to its high output power and good beam quality. This work is to explore the advantages of using a 490-nm blue VECSEL as a light source in UWOC, and to improve the performance of the UWOC system by the soft-decision pulse-position modulation (PPM). First, the optical power attenuation coefficient of the channel is obtained, and the measuredcis about 0.0591 m–1in a 96-m-long tap channel. Subsequently, soft-decision and hard-decision are simulated and experimentally verified. Both simulations and measurements show that the bit error rate (BER) can be significantly reduced with soft-decision. Afterwards, we improve the system by using the soft-decision algorithm and investigate the communication performance of 64 PPMs at different bandwidths by adjusting the PPM signal rate. Finally, 50 MHz is chosen as a signal rate in the experiment. Then a UWOC system is demonstrated in this work. The transmitter side consists of a 490-nm VECSEL light source with an acousto-optic modulator (AOM). The pseudo-random binary sequence (PRBS) is loaded into the arbitrary waveform generator (AWG) for digital-to-analog conversion after PPM modulation, and the analog signal is sent to the driver of the AOM for acousto-optic modulation of the incident beam. The laser is focused before entering the AOM and then collimated after having exited to reduce its divergence. The modulated laser beam passes through a distance of 96 m in the tank by using multiple mirrors on both sides of the tank. Then, the beam is focused by a lens to the avalanche photodiode (APD) for photoelectric conversion in the end, and the signal is processed by a mixed signal oscilloscope (MSO) after data acquisition. A soft-decision algorithm is introduced to further optimize the performance of the PPM modulation. When the optical signal passes through a relatively long distance of 96 m, the measured BER is as low as 1.9 × 10–5. This indicates that the soft-decision PPM-based 490 nm blue VECSEL UWOC system performs very well.
2024, 73(17): 174203.
doi:10.7498/aps.73.20240878
Abstract:
An optical needle is a specialized spatial light field characterized by an extremely small transverse spot size, capable of breaking through the diffraction limit, and also prossessing a long focal depth in the longitudinal direction. Typically, optical needles are generated by tightly focusing a beam using a lens. In this work, the generation of optical needles is demonstrated by using circular Airy vortex beams (CAVBs) through adjusting the conical angle. The CAVBs have a uniform distribution of circular polarization, thus eliminating the need for radial polarization states. Our research indicates that under the conical angle modulation, CAVBs with a topological charge of –1 (left-handed circular polarization) and 1 (right-handed circular polarization) can form optical needles. These optical needles possess a minimal transverse spot size, enabling them to exceed the diffraction limit while maintaining a long depth of focus. Furthermore, the depth of focus of the optical needle is almost linearly related to the primary ring radius of the beam. Increasing the primary ring radius can effectively enhance the depth of focus. CAVBs with different topological charges generate distinct hollow light fields, unlike optical needles. This is because the longitudinal component of the light beam is significantly enhanced by adjusting the conical angle. Only CAVBs with the appropriate topological charge exhibit a longitudinal light field near the optical axis, leading to the formation of optical needles. In contrast, other charges result in a hollow longitudinal light field, creating different hollow light fields. These research findings could have significant applications in super-resolution imaging and optical micromanipulation.
An optical needle is a specialized spatial light field characterized by an extremely small transverse spot size, capable of breaking through the diffraction limit, and also prossessing a long focal depth in the longitudinal direction. Typically, optical needles are generated by tightly focusing a beam using a lens. In this work, the generation of optical needles is demonstrated by using circular Airy vortex beams (CAVBs) through adjusting the conical angle. The CAVBs have a uniform distribution of circular polarization, thus eliminating the need for radial polarization states. Our research indicates that under the conical angle modulation, CAVBs with a topological charge of –1 (left-handed circular polarization) and 1 (right-handed circular polarization) can form optical needles. These optical needles possess a minimal transverse spot size, enabling them to exceed the diffraction limit while maintaining a long depth of focus. Furthermore, the depth of focus of the optical needle is almost linearly related to the primary ring radius of the beam. Increasing the primary ring radius can effectively enhance the depth of focus. CAVBs with different topological charges generate distinct hollow light fields, unlike optical needles. This is because the longitudinal component of the light beam is significantly enhanced by adjusting the conical angle. Only CAVBs with the appropriate topological charge exhibit a longitudinal light field near the optical axis, leading to the formation of optical needles. In contrast, other charges result in a hollow longitudinal light field, creating different hollow light fields. These research findings could have significant applications in super-resolution imaging and optical micromanipulation.
2024, 73(17): 174204.
doi:10.7498/aps.73.20240778
Abstract:
A 532-nm solid-state laser, generated by second-harmonic generation (SHG) technology, has become one of the most extensively used lasers in various applications today. In the traditional scheme, the most prevalent SHG crystal of the 532-nm solid-state is lithium borate (LBO), and continues to exhibit insufficient angular robustness and SHG efficiency. In order to overcome these limitations and obtain SHG crystals with better angular robustness, this study starts with a comprehensive theoretical analysis of angular robustness. On this basis, the structure of a chirped periodically poled lithium niobate (CPPLN) crystal is designed by taking into account the desired properties for improving its performance, and then the theoretical simulations and experimental tests are implemented to validate the effectiveness of the designed crystal. The simulation results corroborate the superior angular robustness of the CPPLN crystal. In a range from
\begin{document}$ - {3^ \circ } $\end{document}
to
\begin{document}$ + {3^ \circ } $\end{document}
, the designed CPPLN crystal exhibits a maximum SHG efficiency of 0.80% and a minimum one of 0.51%, which indicates that the SHG efficiency of this crystal in this range can be maintained at 60% of the maximum efficiency. The experimental results show that the SHG efficiency can be more than 11 times that of LBO crystal. Moreover, the study indicates that the half width of the actual SHG efficiency near the incident angle of the designed CPPLN crystal can exceed
\begin{document}$ {6^ \circ } $\end{document}
, demonstrating its excellent tolerance for changes in incident angle. Furthermore, the output spot of the SHG light generated by the designed CPPLN crystal exhibits a standard Gaussian profile, which remains virtually unaffected by the incident angle. In summary, the findings of this research highlight the CPPLN crystal as a promising alternative to LBO, with markedly higher SHG efficiency and better angular robustness. These superior characteristics make the CPPLN crystal a highly attractive candidate for a wide range of laser applications.
A 532-nm solid-state laser, generated by second-harmonic generation (SHG) technology, has become one of the most extensively used lasers in various applications today. In the traditional scheme, the most prevalent SHG crystal of the 532-nm solid-state is lithium borate (LBO), and continues to exhibit insufficient angular robustness and SHG efficiency. In order to overcome these limitations and obtain SHG crystals with better angular robustness, this study starts with a comprehensive theoretical analysis of angular robustness. On this basis, the structure of a chirped periodically poled lithium niobate (CPPLN) crystal is designed by taking into account the desired properties for improving its performance, and then the theoretical simulations and experimental tests are implemented to validate the effectiveness of the designed crystal. The simulation results corroborate the superior angular robustness of the CPPLN crystal. In a range from
2024, 73(17): 174205.
doi:10.7498/aps.73.20240861
Abstract:
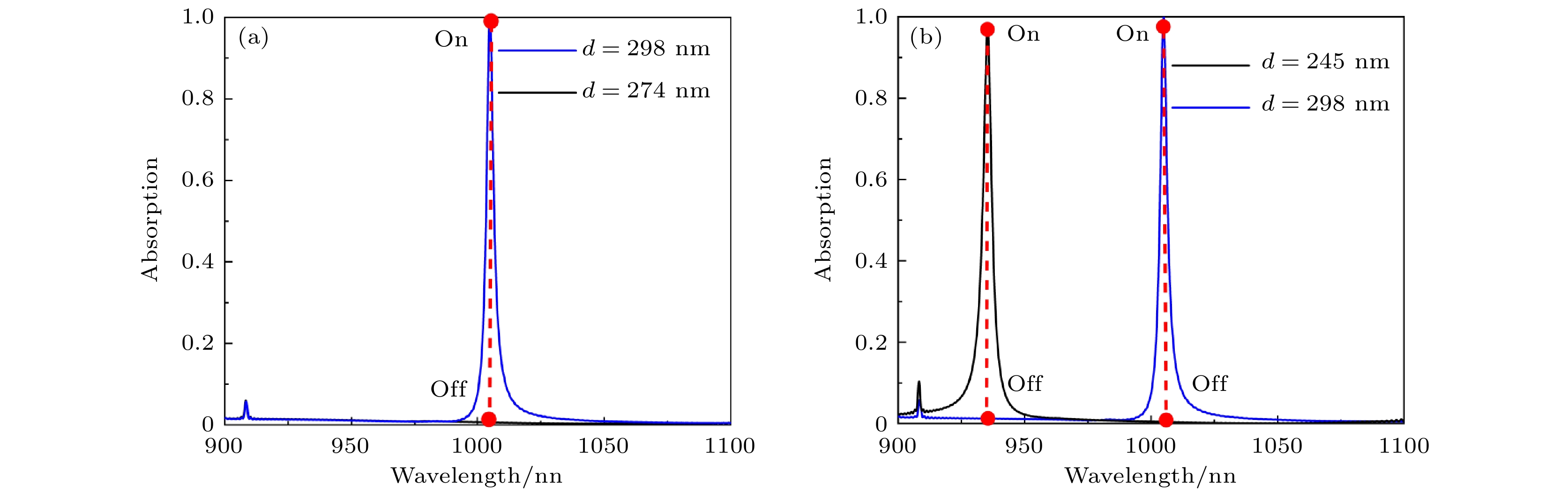
Excellent optical absorbers are always characterized by high quality factors and perfect absorption; however, these absorbers usually encounter the ohmic losses due to traditional surface plasmon resonance, which limits their absorption performance in practical applications. To address the problem, a tunable bound state in the continuum (BIC) based on Fabry-Perot cavity is proposed in this work. Figure (a) shows the structural model of the designed Fabry-Perot cavity absorber, which consists of Ag as a substrate, a layer of the dielectric material Al2O3above the Ag substrate, and a high-refractive-index grating as the top dielectric layer Si ridge. By adjusting the thickness parameterdof Al2O3, the transformation of BIC into q-BIC is achieved. Specifically, whendis increased from 273 nm to 298 nm, the BIC can be transformed into quasi-BIC, and the perfect absorption of the absorber in the continuum spectrum can be increased to 100%. In this work, the factors affecting the perfect absorption are explored by using the interference theory; theoretical calculations of the quasi-BIC are carried out by using the coupled mode theory and impedance matching theory; the physical mechanism of the BIC is explained by using the electric and magnetic field theory. The BIC is caused by the electric and magnetic dipole modes as well as the mirror image of the base Ag, which causes the interferential phase cancellation effect. Compared with the conventional absorber, the proposed absorber has excellent structural parameter robustness and a wide range of BIC modulation. More importantly, the absorber has excellent sensing performance with a maximum sensitivity of up to 34 nm/RIU and a maximum quality factor of 9.5. Last but not least, the absorber also achieves dual-frequency open-light performance, the maximum modulation depth and the minimum insertion loss of the dual-frequency switch reach 99.4% and 0.0004 dB, respectively. These findings have significant implications in the fields of photonics, optical communication, and sensor technology.
Excellent optical absorbers are always characterized by high quality factors and perfect absorption; however, these absorbers usually encounter the ohmic losses due to traditional surface plasmon resonance, which limits their absorption performance in practical applications. To address the problem, a tunable bound state in the continuum (BIC) based on Fabry-Perot cavity is proposed in this work. Figure (a) shows the structural model of the designed Fabry-Perot cavity absorber, which consists of Ag as a substrate, a layer of the dielectric material Al2O3above the Ag substrate, and a high-refractive-index grating as the top dielectric layer Si ridge. By adjusting the thickness parameterdof Al2O3, the transformation of BIC into q-BIC is achieved. Specifically, whendis increased from 273 nm to 298 nm, the BIC can be transformed into quasi-BIC, and the perfect absorption of the absorber in the continuum spectrum can be increased to 100%. In this work, the factors affecting the perfect absorption are explored by using the interference theory; theoretical calculations of the quasi-BIC are carried out by using the coupled mode theory and impedance matching theory; the physical mechanism of the BIC is explained by using the electric and magnetic field theory. The BIC is caused by the electric and magnetic dipole modes as well as the mirror image of the base Ag, which causes the interferential phase cancellation effect. Compared with the conventional absorber, the proposed absorber has excellent structural parameter robustness and a wide range of BIC modulation. More importantly, the absorber has excellent sensing performance with a maximum sensitivity of up to 34 nm/RIU and a maximum quality factor of 9.5. Last but not least, the absorber also achieves dual-frequency open-light performance, the maximum modulation depth and the minimum insertion loss of the dual-frequency switch reach 99.4% and 0.0004 dB, respectively. These findings have significant implications in the fields of photonics, optical communication, and sensor technology.
2024, 73(17): 174301.
doi:10.7498/aps.73.20240714
Abstract:
Ultrasonic phase changes carry critical information about tissue structures, and phase weighting can enhance the sharpness of ultrasonic images. Addressed here are challenges, such as the faint scattering echoes from folds, substantial noise interference, and the lengthy processing time involved in time-domain corrected imaging. Processed in this work is a frequency-domain coherent imaging method based on the coherence factor of the phase imaginary part. Firstly, the phase information in the wavefield signal is extracted, and then the phase imaginary part matrix is extracted by using circular statistics. Subsequent construction of the phase imaginary coherence factor (PICF) involves multiplying this matrix with the original frequency-domain matrix used in phase shift migration (PSM) imaging. By incorporating the PICF into phase migration imaging and adjusting the PICF of the migrating wavefield at each layer, fibre texture information can be efficiently recovered by frequency domain signal multiplication. In this paper, this technique is applied to the 18-mm-thick carbon-glass fiber composite boards. The experimental outcomes indicate that without PICF weighting, phase shift imaging loses the fiber layout information at depths exceeding 10 mm and cannot detect defects in deeper areas. The PICF-weighted PSM imaging identifies three fibre folds with depths of 11 mm, 15 mm and 16 mm, respectively. This method improves the imaging clarity and textural detail of folding defects, while maintaining a detection error of about 10% for folding angles. The imaging time is only 1.5 s, and its computational efficiency is at least 8.67 times that of time-domain TFM imaging.
Ultrasonic phase changes carry critical information about tissue structures, and phase weighting can enhance the sharpness of ultrasonic images. Addressed here are challenges, such as the faint scattering echoes from folds, substantial noise interference, and the lengthy processing time involved in time-domain corrected imaging. Processed in this work is a frequency-domain coherent imaging method based on the coherence factor of the phase imaginary part. Firstly, the phase information in the wavefield signal is extracted, and then the phase imaginary part matrix is extracted by using circular statistics. Subsequent construction of the phase imaginary coherence factor (PICF) involves multiplying this matrix with the original frequency-domain matrix used in phase shift migration (PSM) imaging. By incorporating the PICF into phase migration imaging and adjusting the PICF of the migrating wavefield at each layer, fibre texture information can be efficiently recovered by frequency domain signal multiplication. In this paper, this technique is applied to the 18-mm-thick carbon-glass fiber composite boards. The experimental outcomes indicate that without PICF weighting, phase shift imaging loses the fiber layout information at depths exceeding 10 mm and cannot detect defects in deeper areas. The PICF-weighted PSM imaging identifies three fibre folds with depths of 11 mm, 15 mm and 16 mm, respectively. This method improves the imaging clarity and textural detail of folding defects, while maintaining a detection error of about 10% for folding angles. The imaging time is only 1.5 s, and its computational efficiency is at least 8.67 times that of time-domain TFM imaging.
2024, 73(17): 174701.
doi:10.7498/aps.73.20240826
Abstract:
The classical single bubble’s acoustic emission equation has been used to describe the sound filed radiated by bubble for a long time. Because this formula does not consider the influence of the medium viscosity in the process of sound wave propagation, it is more reasonable to modify it in some special cases.
Based on the boundary condition of the bubbles, i.e. the vibration velocity of the bubble wall is equal to the particle vibration velocity of the external medium at the bubble boundary, the acoustic wave equation in spherical coordinate system in viscous medium is solved, and the modified acoustic emission formula of the bubble in the viscous medium is given.
The bubble radius
R(
t) is obtained numerically from the bubble dynamics equation by using the fourth-fifth order Runge-Kutta method. Then the bubble's radiation sound field is obtained by using the direct substitution method and the finite element (The pressure acoustics module; two-dimensional (2D) axisymmetric geometric model) method, respectively. The modified expression
p
presentgiven in this work is more accurate to describe the bubble’s radiation than the classical expression
p
classicalin the cases of high-viscosity, high-frequency and long-distance. In these cases, continuing to measure the acoustic emission of bubbles by using the classical expression may have an influence on the characteristics of cavitation, such as the inaccurate descriptions of parameters such as cavitation intensity and cavitation threshold.
2024, 73(17): 175201.
doi:10.7498/aps.73.20240877
Abstract:
When the vehicle travels at a hypersonic speed or during re-entry, the surface is covered by a plasma sheath. Plasma sheath can impede electromagnetic wave propagation, causing vehicle radio signals to be attenuated or even interrupted, which is communication blackout. The traveling magnetic field is a kind of magnetic field that can mitigate the communication blackout by adjusting the density of the plasma sheath. In this work, a three-dimensional traveling magnetic field generation model and a three-dimensional plasma density distribution model are established for the problem that the one-dimensional traveling magnetic field cannot accurately describe the plasma density distribution in space. The mechanism of the interaction between the traveling magnetic field and the plasma is investigated to obtain the plasma density distribution in space. The results show that applying a traveling magnetic field can generate a density reduction region of 50
\begin{document}$\times$\end{document}
100 mm at the rear of the vehicle, resulting in a maximum decrease of 71% in plasma density in the region and providing continuous communication time. Meanwhile, the effects of initial density, collision frequency, traveling velocity and current magnitude on the plasma density distribution are investigated. The results show that with the increase of the initial density, the ability to regulate the plasma density is improved. However, due to the large density base, the adjusted plasma density is still higher than the plasma density of the low-density case. The increase of the collision frequency can significantly reduce the regulation effect. Increasing the traveling velocity and current can enhance the density-adjusting effect. However, further increasing the traveling velocity to above 800 m/s does not yield a more significant adjustment effect. Based on the data from the RAM-C flight test, the proposed model is used to study the effects of current magnitude and traveling velocity on the electromagnetic wave attenuation during aircraft reentry. The mitigation effect of the traveling magnetic field on electromagnetic wave attenuation is also compared with the effect of applying a static magnetic field. The results show that the applied traveling magnetic field can reduce the electromagnetic wave attenuation of the vehicle to below 30 dB in the X-band at an altitude of 30.48km, as well as in the L-, S-, C- and X-bands at other altitudes. The comparison between traveling magnetic field and static magnetic field demonstrates that the traveling magnetic field significantly outperforms the static magnetic field in mitigating electromagnetic wave attenuation.
When the vehicle travels at a hypersonic speed or during re-entry, the surface is covered by a plasma sheath. Plasma sheath can impede electromagnetic wave propagation, causing vehicle radio signals to be attenuated or even interrupted, which is communication blackout. The traveling magnetic field is a kind of magnetic field that can mitigate the communication blackout by adjusting the density of the plasma sheath. In this work, a three-dimensional traveling magnetic field generation model and a three-dimensional plasma density distribution model are established for the problem that the one-dimensional traveling magnetic field cannot accurately describe the plasma density distribution in space. The mechanism of the interaction between the traveling magnetic field and the plasma is investigated to obtain the plasma density distribution in space. The results show that applying a traveling magnetic field can generate a density reduction region of 50
2024, 73(17): 177101.
doi:10.7498/aps.73.20240765
Abstract:
Due to the advantages of high power density, high efficiency, and great potential in extreme temperature environments, the GaN high electron mobility transistor (HEMT) device is widely used in circuit systems at high or low temperatures. However, its electrical performance is sensitive to the ambient temperature. Therefore, it is essential to build a model that can accurately characterize the electrical performance of GaN HEMTs at different ambient temperatures, which is also essential for precise circuit design. With the analysis of experiment and theory on the GaN HEMT at different ambient temperatures, an improved model for temperature effect on the DC characteristics of the GaN HEMT is proposed based on EEHEMT model. Considering the influence of the ambient temperature on electrical properties of the GaN HEMT, such as the threshold voltage, the knee voltage, and the saturated current, the model establishes a temperature-dependent function for key parameters in the formula of the drain-source current. Through Verilog-A implementation and simulation on the ICCAP software, the improved model accurately reflects the trend of the electrical performance changes of the GaN HEMT at different ambient temperatures. To further verify the model in this work, the on-wafer measurements at different temperatures including –55, –25, 25 and 75 ℃ are carried out for GaN HEMTs with different sizes, which are developed by Nanjing Electronic Devices Institute. Compared with the measured data, the output characteristics and the transfer characteristics simulated by the proposed model are accurate in an ambient temperature range of –55–75 ℃, with a relative fitting error less than 5%. The result shows that the improved model is of guiding significance in analyzing the direct current performance and high reliability design of circuits at different temperatures.
Due to the advantages of high power density, high efficiency, and great potential in extreme temperature environments, the GaN high electron mobility transistor (HEMT) device is widely used in circuit systems at high or low temperatures. However, its electrical performance is sensitive to the ambient temperature. Therefore, it is essential to build a model that can accurately characterize the electrical performance of GaN HEMTs at different ambient temperatures, which is also essential for precise circuit design. With the analysis of experiment and theory on the GaN HEMT at different ambient temperatures, an improved model for temperature effect on the DC characteristics of the GaN HEMT is proposed based on EEHEMT model. Considering the influence of the ambient temperature on electrical properties of the GaN HEMT, such as the threshold voltage, the knee voltage, and the saturated current, the model establishes a temperature-dependent function for key parameters in the formula of the drain-source current. Through Verilog-A implementation and simulation on the ICCAP software, the improved model accurately reflects the trend of the electrical performance changes of the GaN HEMT at different ambient temperatures. To further verify the model in this work, the on-wafer measurements at different temperatures including –55, –25, 25 and 75 ℃ are carried out for GaN HEMTs with different sizes, which are developed by Nanjing Electronic Devices Institute. Compared with the measured data, the output characteristics and the transfer characteristics simulated by the proposed model are accurate in an ambient temperature range of –55–75 ℃, with a relative fitting error less than 5%. The result shows that the improved model is of guiding significance in analyzing the direct current performance and high reliability design of circuits at different temperatures.
2024, 73(17): 177102.
doi:10.7498/aps.73.20240973
Abstract:
Understanding the propagation characteristics of surface plasmon polaritons (SPPs) is of great significance in designing and constructing on-chip integrated systems utilizing plasmonic effect. Accurately characterizing and flexibly controlling SPP on thin metal film are indispensable. Here, we theoretically derive the group velocity dispersion of SPP propagation on the surface of Au films with various thicknesses. The results obtained in this work indicate that when the thickness of the Au film is less than 40 nm, group velocity dispersion of SPP decreases significantly as the film thickness increases. The decrease of group velocity dispersion becomes mild with the thickness increasing from 40 nm to 60 nm, then the dispersion keeps a very low constant value for the film thicker than 60 nm. Using the finite-difference time-domain method, temporal evolution of localized electric field of SPP is numerically simulated for various propagation distances. By comparing the field amplitudes and the dispersions of SPP which are excited by incident light pulses with different dispersions, group velocity dispersions of SPP on the Au films are obtained, showing a good consistence with the theoretical results. Moreover, we demonstrate that by utilizing the tailored SPP to excite metal nanoantenna, selective excitations at different frequencies on a femtosecond temporal scale can be achieved through localized surface plasmonic resonant effect. Manipulating the sign and amount of the dispersion from the incident pulse, the active control of the switching sequence and switching time of electric field between the Au cylinders can be achieved. Manipulating the propagation distance of SPP, the active control of the switching time of electric field between the Au cylinders can be achieved. Therefore, those results provide a promising avenue for realizing functions such as signal propagation, reception, adjustment, and encoding in on-chip interconnect circuit systems based on SPP. This work shows that the dispersion can be used as degree of freedom for controlling the amplitude, phase and pulse width of SPP propagating on thin film, and it is of great importance in designing and controlling on-chip integrated systems through utilizing plasmonic effect, such as ultrafast frequency demodulators and nanoantennas in on-chip interconnect optical circuits.
Understanding the propagation characteristics of surface plasmon polaritons (SPPs) is of great significance in designing and constructing on-chip integrated systems utilizing plasmonic effect. Accurately characterizing and flexibly controlling SPP on thin metal film are indispensable. Here, we theoretically derive the group velocity dispersion of SPP propagation on the surface of Au films with various thicknesses. The results obtained in this work indicate that when the thickness of the Au film is less than 40 nm, group velocity dispersion of SPP decreases significantly as the film thickness increases. The decrease of group velocity dispersion becomes mild with the thickness increasing from 40 nm to 60 nm, then the dispersion keeps a very low constant value for the film thicker than 60 nm. Using the finite-difference time-domain method, temporal evolution of localized electric field of SPP is numerically simulated for various propagation distances. By comparing the field amplitudes and the dispersions of SPP which are excited by incident light pulses with different dispersions, group velocity dispersions of SPP on the Au films are obtained, showing a good consistence with the theoretical results. Moreover, we demonstrate that by utilizing the tailored SPP to excite metal nanoantenna, selective excitations at different frequencies on a femtosecond temporal scale can be achieved through localized surface plasmonic resonant effect. Manipulating the sign and amount of the dispersion from the incident pulse, the active control of the switching sequence and switching time of electric field between the Au cylinders can be achieved. Manipulating the propagation distance of SPP, the active control of the switching time of electric field between the Au cylinders can be achieved. Therefore, those results provide a promising avenue for realizing functions such as signal propagation, reception, adjustment, and encoding in on-chip interconnect circuit systems based on SPP. This work shows that the dispersion can be used as degree of freedom for controlling the amplitude, phase and pulse width of SPP propagating on thin film, and it is of great importance in designing and controlling on-chip integrated systems through utilizing plasmonic effect, such as ultrafast frequency demodulators and nanoantennas in on-chip interconnect optical circuits.
2024, 73(17): 177501.
doi:10.7498/aps.73.20240648
Abstract:
As a quasi-one-dimensional spin frustrated material, Ca3Co2O6has a series of interesting physical properties such as low-temperature spin freezing and multiple magnetized steps due to its unique structure. The magnetic properties of Ca3Co2O6mainly come from Co ions, and the doping of different elements at the Co site has a great effect on the magnetic structure of Ca3Co2O6. At present, the magnetic research of Ca3Co2O6and its related compounds mainly focuses on exploring the influence of other elements replacing Co sites. For example, non-magnetic Sc3+can dilute the intrachain ferromagnetic exchange, while the doping of magnetic ions Mn4+, Fe3+or Cr3+can inhibit the intrachain ferromagnetic interaction and enhance the antiferromagnetic interchain interaction. Doping Ti4+ions, which are high-valence non-magnetic ions, not only dilutes the magnetic interaction of Ca3Co2O6, but also changes the valence state of cobalt ions. i.e. it can convert part of Co3+ions into Co2+ions. Therefore, comparing with other doped ions, their introduction may have a more significant effect on the magnetoelectric properties of Ca3Co2O6. In this study, a series of Ca3Co2–xTixO6(x= 0, 0.02, 0.04, 0.06) polycrystalline samples is prepared by sol-gel method. Their magnetic, dielectric and magnetodielectric properties are measured. The XRD patterns show that a small number of Ti4+ions do not change the crystal structure of Ca3Co2O6. Due to the destruction of the long-range ferromagnetic correlation of Ca3Co2O6by non-magnetic Ti4+ions, the ferromagnetic interaction is inhibited to some extent. Because Ti4+ions are non-magnetic ions, they cannot form antiferromagnetic coupling with Co ions, resulting in the decrease of the Curie-Weiss temperature(θ). The positiveθvalue and exchange constant still indicate that the ferromagnetic interaction is dominant in Ti4+doped Ca3Co2–xTixO6(x= 0, 0.02, 0.04, 0.06) samples. The substitution of non-magnetic ions Ti4+for Co3+ions also makes the effective magnetic moment of Ca3Co2–xTixO6(x= 0, 0.02, 0.04, 0.06) monotonically decrease fromμeff= 5.42μBforx= 0 toμeff= 5.18μBforx= 0.06. Accompanying the introduction of Ti4+ions, the spin frustration of Ca3Co2O6is released partly, thus gradually fading the magnetization steps of Ca3Co2O6. As the Ca3Co2O6is a typical magnetodielectric material, the released spin frustration in Ti4+doped samples and the variation of the subtle magnetic structure exert a large influence on the magnetodielectric coupling effect of Ca3Co2–xTixO6(x= 0, 0.02, 0.04, 0.06) compounds.
As a quasi-one-dimensional spin frustrated material, Ca3Co2O6has a series of interesting physical properties such as low-temperature spin freezing and multiple magnetized steps due to its unique structure. The magnetic properties of Ca3Co2O6mainly come from Co ions, and the doping of different elements at the Co site has a great effect on the magnetic structure of Ca3Co2O6. At present, the magnetic research of Ca3Co2O6and its related compounds mainly focuses on exploring the influence of other elements replacing Co sites. For example, non-magnetic Sc3+can dilute the intrachain ferromagnetic exchange, while the doping of magnetic ions Mn4+, Fe3+or Cr3+can inhibit the intrachain ferromagnetic interaction and enhance the antiferromagnetic interchain interaction. Doping Ti4+ions, which are high-valence non-magnetic ions, not only dilutes the magnetic interaction of Ca3Co2O6, but also changes the valence state of cobalt ions. i.e. it can convert part of Co3+ions into Co2+ions. Therefore, comparing with other doped ions, their introduction may have a more significant effect on the magnetoelectric properties of Ca3Co2O6. In this study, a series of Ca3Co2–xTixO6(x= 0, 0.02, 0.04, 0.06) polycrystalline samples is prepared by sol-gel method. Their magnetic, dielectric and magnetodielectric properties are measured. The XRD patterns show that a small number of Ti4+ions do not change the crystal structure of Ca3Co2O6. Due to the destruction of the long-range ferromagnetic correlation of Ca3Co2O6by non-magnetic Ti4+ions, the ferromagnetic interaction is inhibited to some extent. Because Ti4+ions are non-magnetic ions, they cannot form antiferromagnetic coupling with Co ions, resulting in the decrease of the Curie-Weiss temperature(θ). The positiveθvalue and exchange constant still indicate that the ferromagnetic interaction is dominant in Ti4+doped Ca3Co2–xTixO6(x= 0, 0.02, 0.04, 0.06) samples. The substitution of non-magnetic ions Ti4+for Co3+ions also makes the effective magnetic moment of Ca3Co2–xTixO6(x= 0, 0.02, 0.04, 0.06) monotonically decrease fromμeff= 5.42μBforx= 0 toμeff= 5.18μBforx= 0.06. Accompanying the introduction of Ti4+ions, the spin frustration of Ca3Co2O6is released partly, thus gradually fading the magnetization steps of Ca3Co2O6. As the Ca3Co2O6is a typical magnetodielectric material, the released spin frustration in Ti4+doped samples and the variation of the subtle magnetic structure exert a large influence on the magnetodielectric coupling effect of Ca3Co2–xTixO6(x= 0, 0.02, 0.04, 0.06) compounds.
2024, 73(17): 177701.
doi:10.7498/aps.73.20240838
Abstract:
Dielectric capacitors are essential components in advanced electronic and power systems due to their high power densities, fast charge-discharge rates, low losses, and excellent cycling stabilities. Polymer dielectrics, such as biaxially oriented polypropylene (BOPP), are preferred dielectric materials for high-voltage capacitors because of their high breakdown strength, flexibility, and easy processing. However, their relatively low thermal stability limits their applications in high-temperature environments, such as in electric vehicles and photovoltaic power generation systems. In this study, sandwich-structured dielectric films are prepared by using physical vapor deposition (PVD) to deposit aluminum oxide (Al2O3) layers onto thermoplastic polyimide (TPI) films to achieve high capacitive energy storage at high temperatures. The TPI films are chosen for their high glass transition temperature (Tg), while Al2O3layers are deposited to enhance the Schottky barrier, thereby suppressing electrode charge injection, reducing leakage current, and improving breakdown strength at high temperatures. Various characterization techniques are employed to assess the microstructure, dielectric properties, and energy storage performance of the prepared Al2O3/TPI/Al2O3sandwich-structured films. The results demonstrate that the Al2O3coating exhibits excellent interfacial adhesion with TPI films, successfully inhibiting charge injection and thereby reducing leakage current. For instance, at 150 °C and 250 MV/m, the leakage current density of TPI film is 3.19×10–7A/cm², whereas for Al2O3/TPI/Al2O3sandwich-structured film, its leakage current density is 2.77×10–8A/cm², a decrease of one order of magnitude. The suppression of charge injection and reduction of leakage current contribute to outstanding discharge energy density (Ud) and charge-discharge efficiency (η) at high temperatures. Specifically, at high temperatures of 150 and 200 °C, theUdreaches 4.06 and 2.72 J/cm³, respectively, withη> 90%, i.e. increasing 98.0% and 349.4% compared with those of pure TPI films. Furthermore, the PVD process used for fabricating these sandwich-structured films is highly compatible with existing methods of producing metal electrodes in capacitors, offering significant advantages in production efficiency and cost control. This study suggests that the Al2O3/TPI/Al2O3sandwich-structured films, prepared by using the PVD process and exhibiting exceptional high-temperature capacitive energy storage performance, are highly promising for applications in environments with high temperatures and high electric fields.
Dielectric capacitors are essential components in advanced electronic and power systems due to their high power densities, fast charge-discharge rates, low losses, and excellent cycling stabilities. Polymer dielectrics, such as biaxially oriented polypropylene (BOPP), are preferred dielectric materials for high-voltage capacitors because of their high breakdown strength, flexibility, and easy processing. However, their relatively low thermal stability limits their applications in high-temperature environments, such as in electric vehicles and photovoltaic power generation systems. In this study, sandwich-structured dielectric films are prepared by using physical vapor deposition (PVD) to deposit aluminum oxide (Al2O3) layers onto thermoplastic polyimide (TPI) films to achieve high capacitive energy storage at high temperatures. The TPI films are chosen for their high glass transition temperature (Tg), while Al2O3layers are deposited to enhance the Schottky barrier, thereby suppressing electrode charge injection, reducing leakage current, and improving breakdown strength at high temperatures. Various characterization techniques are employed to assess the microstructure, dielectric properties, and energy storage performance of the prepared Al2O3/TPI/Al2O3sandwich-structured films. The results demonstrate that the Al2O3coating exhibits excellent interfacial adhesion with TPI films, successfully inhibiting charge injection and thereby reducing leakage current. For instance, at 150 °C and 250 MV/m, the leakage current density of TPI film is 3.19×10–7A/cm², whereas for Al2O3/TPI/Al2O3sandwich-structured film, its leakage current density is 2.77×10–8A/cm², a decrease of one order of magnitude. The suppression of charge injection and reduction of leakage current contribute to outstanding discharge energy density (Ud) and charge-discharge efficiency (η) at high temperatures. Specifically, at high temperatures of 150 and 200 °C, theUdreaches 4.06 and 2.72 J/cm³, respectively, withη> 90%, i.e. increasing 98.0% and 349.4% compared with those of pure TPI films. Furthermore, the PVD process used for fabricating these sandwich-structured films is highly compatible with existing methods of producing metal electrodes in capacitors, offering significant advantages in production efficiency and cost control. This study suggests that the Al2O3/TPI/Al2O3sandwich-structured films, prepared by using the PVD process and exhibiting exceptional high-temperature capacitive energy storage performance, are highly promising for applications in environments with high temperatures and high electric fields.
2024, 73(17): 178101.
doi:10.7498/aps.73.20240822
Abstract:
In practical applications, flexibility, lightweight, and high performance are the characteristics that polymer-based electromagnetic shielding materials should have. At present, it is still a great challenge to prepare polymer-based electromagnetic shielding materials with excellent conductivity, electromagnetic shielding properties, and mechanical properties. Therefore, in this work, single-walled carbon nanotubes/polyetherimide composite films are prepared by electrostatic spinning and vacuum-assisted filtration through using single-walled carbon nanotubes and polyetherimide as raw materials. By regulating the surface density of single-walled carbon nanotubes, the conductivity of the composite film can be enhanced to 1866 S/cm. For the electromagnetic shielding performance, the total electromagnetic shielding effectiveness of single-walled carbon nanotubes/polyetherimide composite film in Ku band (12–18 GHz) is in a range of 75.78–81.83 dB, which is higher than that of pure single-walled carbon nanotube film (65.19–69.81 dB). This is attributed to the formation of interfaces between the polyetherimide fibers and the single-walled carbon nanotubes, with more interfaces consuming more electromagnetic wave energy for a given range of single-walled carbon nanotube surface densities. For the mechanical properties, the maximum tensile strength and elongation at the break of the single-walled carbon nanotube/polyetherimide film are 1.13 and 1.5 times higher than those of the single-walled carbon nanotube film, with the values of 28.52 MPa and 7.91%, respectively. As the surface density of single-walled carbon nanotubes increases, the interaction between single-walled carbon nanotubes as well as the interaction between polyetherimide fibers and single-walled carbon nanotubes at the interface plays a role in enhancing the mechanical properties of the composite films. The single-walled carbon nanotube/polyetherimide composite films, as an excellent polymer-based electromagnetic shielding composite material, can be used in fields such as the protection of precision electronic instruments and wearable electronic devices.
In practical applications, flexibility, lightweight, and high performance are the characteristics that polymer-based electromagnetic shielding materials should have. At present, it is still a great challenge to prepare polymer-based electromagnetic shielding materials with excellent conductivity, electromagnetic shielding properties, and mechanical properties. Therefore, in this work, single-walled carbon nanotubes/polyetherimide composite films are prepared by electrostatic spinning and vacuum-assisted filtration through using single-walled carbon nanotubes and polyetherimide as raw materials. By regulating the surface density of single-walled carbon nanotubes, the conductivity of the composite film can be enhanced to 1866 S/cm. For the electromagnetic shielding performance, the total electromagnetic shielding effectiveness of single-walled carbon nanotubes/polyetherimide composite film in Ku band (12–18 GHz) is in a range of 75.78–81.83 dB, which is higher than that of pure single-walled carbon nanotube film (65.19–69.81 dB). This is attributed to the formation of interfaces between the polyetherimide fibers and the single-walled carbon nanotubes, with more interfaces consuming more electromagnetic wave energy for a given range of single-walled carbon nanotube surface densities. For the mechanical properties, the maximum tensile strength and elongation at the break of the single-walled carbon nanotube/polyetherimide film are 1.13 and 1.5 times higher than those of the single-walled carbon nanotube film, with the values of 28.52 MPa and 7.91%, respectively. As the surface density of single-walled carbon nanotubes increases, the interaction between single-walled carbon nanotubes as well as the interaction between polyetherimide fibers and single-walled carbon nanotubes at the interface plays a role in enhancing the mechanical properties of the composite films. The single-walled carbon nanotube/polyetherimide composite films, as an excellent polymer-based electromagnetic shielding composite material, can be used in fields such as the protection of precision electronic instruments and wearable electronic devices.
2024, 73(17): 178102.
doi:10.7498/aps.73.20240834
Abstract:
Bound states in the continuum (BIC) were initially observed in quantum mechanics as a phenomenon capable of maintaining localized wave behavior. This effect has been extensively studied across various material systems, including piezoelectric materials, graphene, and photonic crystals. Recently, the BIC mode has employed to achieve strong optical chirality in metamaterials with symmetry breaking. In this work, we propose a silicon metasurface with an interrupted ring groove, which has a fourfold rotationally symmetry. By breaking the in-plane inversion symmetry of the unit cell, we achieve quasi-BICs with the high quality factor and conspicuous chirality. Moreover, by analyzing topological charges in momentum space, we reveal that the unique topological characteristics of quasi-BIC are generated by the internal resonance of metasurface. When the symmetry breaking reaches a certain level, our proposed symmetry-broken metasurface shows a strong circular dichroism and its value is –0.93, which indicates that the quasi-BIC mode can has a strong chiral selectivity. For chiral sensing applications, the chiral metasurface exhibits a spectral resolution of approximately 0.003. The findings presented in this work have great potential applications in chiral sensing, nonlinear chiral optics, low-threshold lasers, and other related fields.
Bound states in the continuum (BIC) were initially observed in quantum mechanics as a phenomenon capable of maintaining localized wave behavior. This effect has been extensively studied across various material systems, including piezoelectric materials, graphene, and photonic crystals. Recently, the BIC mode has employed to achieve strong optical chirality in metamaterials with symmetry breaking. In this work, we propose a silicon metasurface with an interrupted ring groove, which has a fourfold rotationally symmetry. By breaking the in-plane inversion symmetry of the unit cell, we achieve quasi-BICs with the high quality factor and conspicuous chirality. Moreover, by analyzing topological charges in momentum space, we reveal that the unique topological characteristics of quasi-BIC are generated by the internal resonance of metasurface. When the symmetry breaking reaches a certain level, our proposed symmetry-broken metasurface shows a strong circular dichroism and its value is –0.93, which indicates that the quasi-BIC mode can has a strong chiral selectivity. For chiral sensing applications, the chiral metasurface exhibits a spectral resolution of approximately 0.003. The findings presented in this work have great potential applications in chiral sensing, nonlinear chiral optics, low-threshold lasers, and other related fields.
2024, 73(17): 178801.
doi:10.7498/aps.73.20240732
Abstract:
Thin-film solar cells provide an opportunity to reduce the cost of converting solar energy into electricity by replacing expensive and thick silicon wafers, which account for more than 50% of the total cost of photovoltaic (PV) modules. However, many thin-film solar cell materials result in low PV performance due to enhanced recombination through defect states. Cu(In,Ga)Se2(CIGS) is a promising thin-film solar cell material due to its direct tunable bandgap, high absorption coefficient, low effective electron and hole mass, and abundant constituent elements. Among them, magnetron sputtering or selenization technology is widely used to catch up with the development of preparing large-area CIGS thin-film solar cells because of its uniform film composition and simple process. However, the use of toxic gases such as H2Se and H2S and the difficulty in forming gradient bandgaps limit their development. In this work, the “V” Ga gradient classification of the absorbing layer of CIGS solar cells is realized by sputtering CuGaSe2(CGS) thin layers of different thickness values in the room temperature layer by sputtering and selenium-free methods of quaternary target sputtering. Firstly, the microstructure of the film is characterized by scanning electron microscope, X-ray diffraction, Raman and X-ray photoelectron spectroscopy, and when the CGS layer is located in the middle of the low-temperature layer, the grain size of the film is the largest, the crystallinity is the best, forming a “V-shaped” structure of CGI on the back of the absorbing layer. Subsequently, IV and external quantum efficiency (EQE) tests show that the optimized cell efficiency is as high as 15.04%, and the light response intensity is enhanced in the 300 -1200 nm band. Finally, the admittance spectrum(AS) test shows that the defect energy level of the solar cell changes from InGadefect toVCudefect of lower energy level, and the defect density decreases from 7.04×1015cm–3to 5.51×1015cm–3. This is comparable to the recording efficiency of the current single-target magnetron sputtering CIGS solar cells, demonstrating good application prospects.
Thin-film solar cells provide an opportunity to reduce the cost of converting solar energy into electricity by replacing expensive and thick silicon wafers, which account for more than 50% of the total cost of photovoltaic (PV) modules. However, many thin-film solar cell materials result in low PV performance due to enhanced recombination through defect states. Cu(In,Ga)Se2(CIGS) is a promising thin-film solar cell material due to its direct tunable bandgap, high absorption coefficient, low effective electron and hole mass, and abundant constituent elements. Among them, magnetron sputtering or selenization technology is widely used to catch up with the development of preparing large-area CIGS thin-film solar cells because of its uniform film composition and simple process. However, the use of toxic gases such as H2Se and H2S and the difficulty in forming gradient bandgaps limit their development. In this work, the “V” Ga gradient classification of the absorbing layer of CIGS solar cells is realized by sputtering CuGaSe2(CGS) thin layers of different thickness values in the room temperature layer by sputtering and selenium-free methods of quaternary target sputtering. Firstly, the microstructure of the film is characterized by scanning electron microscope, X-ray diffraction, Raman and X-ray photoelectron spectroscopy, and when the CGS layer is located in the middle of the low-temperature layer, the grain size of the film is the largest, the crystallinity is the best, forming a “V-shaped” structure of CGI on the back of the absorbing layer. Subsequently, IV and external quantum efficiency (EQE) tests show that the optimized cell efficiency is as high as 15.04%, and the light response intensity is enhanced in the 300 -1200 nm band. Finally, the admittance spectrum(AS) test shows that the defect energy level of the solar cell changes from InGadefect toVCudefect of lower energy level, and the defect density decreases from 7.04×1015cm–3to 5.51×1015cm–3. This is comparable to the recording efficiency of the current single-target magnetron sputtering CIGS solar cells, demonstrating good application prospects.
2024, 73(17): 178901.
doi:10.7498/aps.73.20240552
Abstract:
The reconstruction of network structure from data represents a significant scientific challenge in the field of complex networks, which has attracted considerable attention from the research community. The most of existing network reconstruction methods transform the problem into a series of linear equation systems, to solve the equations. Subsequently, truncation methods are used to determine the local structure of each node by truncating the solution of each equation system. However, truncation methods frequently exhibit inadequate accuracy, and lack methods of evaluating the truncatability of solutions to each system of equations, that is to say, the reconstructability of nodes. In order to address these issues, in this work an undirected network reconstruction method is proposed based on a Gaussian mixture model. In this method, a Gaussian mixture model is first used to cluster the solution results obtainedby solving a series of linear equations, and then the probabilities of the clustering results are utilized to depict the likelihood of connections between nodes. Subsequently, an index of reconstructibility is defined based on information entropy, thus the probability of connections between each node and other nodes can be used to measure the reconstructibility of each node. The proposed method is ultimately applied to undirected networks. Nodes identified with high reconstructibility are used as a training set to guide the structural inference of nodes with lower reconstrucibility, thus enhancing the reconstruction of the undirected network. The symmetrical properties of the undirected network are then employed to infer the connection probabilities of the remaining nodes with other nodes. The experiments on both synthetic and real data are conducted and a variety of methods are used for constructing linear equations and diverse dynamical models. Compared with the results from a previous truncated reconstruction method, the reconstruction outcomes are evaluated. The experimental results show that the method proposed in this work outperforms existing truncation reconstruction methods in terms of reconstruction performance, thus confirming the universality and effectiveness of the proposed method.
The reconstruction of network structure from data represents a significant scientific challenge in the field of complex networks, which has attracted considerable attention from the research community. The most of existing network reconstruction methods transform the problem into a series of linear equation systems, to solve the equations. Subsequently, truncation methods are used to determine the local structure of each node by truncating the solution of each equation system. However, truncation methods frequently exhibit inadequate accuracy, and lack methods of evaluating the truncatability of solutions to each system of equations, that is to say, the reconstructability of nodes. In order to address these issues, in this work an undirected network reconstruction method is proposed based on a Gaussian mixture model. In this method, a Gaussian mixture model is first used to cluster the solution results obtainedby solving a series of linear equations, and then the probabilities of the clustering results are utilized to depict the likelihood of connections between nodes. Subsequently, an index of reconstructibility is defined based on information entropy, thus the probability of connections between each node and other nodes can be used to measure the reconstructibility of each node. The proposed method is ultimately applied to undirected networks. Nodes identified with high reconstructibility are used as a training set to guide the structural inference of nodes with lower reconstrucibility, thus enhancing the reconstruction of the undirected network. The symmetrical properties of the undirected network are then employed to infer the connection probabilities of the remaining nodes with other nodes. The experiments on both synthetic and real data are conducted and a variety of methods are used for constructing linear equations and diverse dynamical models. Compared with the results from a previous truncated reconstruction method, the reconstruction outcomes are evaluated. The experimental results show that the method proposed in this work outperforms existing truncation reconstruction methods in terms of reconstruction performance, thus confirming the universality and effectiveness of the proposed method.












