2025 Vol. 74, No. 1
column
- VIEWS AND PERSPECTIVES
- SPECIAL TOPIC—Correlated electron materials and scattering spectroscopy
- INSTRUMENTATION AND MEASUREMENT
- RAPID COMMUNICATION
- GENERAL
- ATOMIC AND MOLECULAR PHYSICS
- ELECTROMAGNETISM, OPTICS, ACOUSTICS, HEAT TRANSFER, CLASSICAL MECHANICS, AND FLUID DYNAMICS
- COVER ARTICLE
- PHYSICS OF GASES, PLASMAS, AND ELECTRIC DISCHARGES
- CONDENSED MATTER: ELECTRONIC STRUCTURE, ELECTRICAL, MAGNETIC, AND OPTICAL PROPERTIES
- INTERDISCIPLINARY PHYSICS AND RELATED AREAS OF SCIENCE AND TECHNOLOGY
- ERRATA
Display Method:
2025, 74(1): 017101.
doi: 10.7498/aps.74.20241595
Abstract:
Fermi-Hubbard model is a fundamental lattice model describing correlated electron systems in condensed matter physics and is closely related to high-temperature superconductivity. In recent years, cold-atom quantum simulations have become an important paradigm for studying the Fermi-Hubbard model, and advances in quantum many-body computations have contributed to our understanding of its fundamental properties. Notably, a recent ultracold-atom experiment achieving the well-known antiferromagnetic (AFM) phase transition in the three-dimensional (3D) Hubbard model represents a key step in quantum simulation, laying a foundation for exploring the link between the quantum magnetism and high-temperature superconductivity. In this paper, the experimental and theoretical research progress of Fermi-Hubbard model in 3D systems is reviewed, the development history and present status in this field are discussed, and the future development direction is also prospected. The paper is organized as follows. To begin with, recent progress of observing AFM phase transitions in the 3D Hubbard model is reviewed, focusing on an ultracold-atom experiment conducted by the research group at the University of Science and Technology of China (USTC). Next, a theoretical introduction to the fundamental properties of the 3D Hubbard model is provided, in which prior theoretical studies is summarized, the current research status is outlined, and some unresolved or under-explored problems are discussed. In Section 3, the quantum simulation of the Hubbard model using ultracold atoms in optical lattices is discussed, and the basic principle, historical developments and key challenges are outlined. The USTC team overcame these challenges through innovative techniques such as atom cooling, large-scale uniform box traps, and precise measurements of the AFM structure factor. Their work successfully confirms the AFM phase transition via the critical scaling analysis. Finally, the significance of this achievement is emphasized, and the future research prospects of the 3D Hubbard model are discussed, including experimental studies on the doped regions and related theoretical benchmarks.
2025, 74(1): 012501.
doi: 10.7498/aps.74.20241412
Abstract:
Inelastic neutron scattering is a pivotal technique in materials science and physics research, revealing the microscopic dynamic properties of materials by observing the changes in energy and momentum of neutrons interacting with matter. This technique provides important information for quantitatively describing the phonon dispersion and magnetic excitation of materials. Inelastic neutron scattering spectrometers can be divided into triple-axis spectrometers and time-of-flight spectrometers, according to the method of selecting monochromatic neutrons. The former has high signal-to-noise ratio, flexibility, and precise tracking capabilities for specific measurement points, while the latter significantly improves experimental efficiency through various measures. The application of inelastic neutron scattering spectrometers is quite extensive, playing an indispensable role in advancing frontier scientific research in the study of mechanisms in various materials such as magnetism, superconductivity, thermoelectrics, and catalysis. The high-energy inelastic spectrometer at the China Spallation Neutron Source is the first time-of-flight neutron inelastic spectrometer in China, achieving high resolution and multi-energy coexistence with its innovative Fermi chopper design. Additionally, the number of available single neutron beams in the experiment of this facility has reached the international leading level.
Inelastic neutron scattering is a pivotal technique in materials science and physics research, revealing the microscopic dynamic properties of materials by observing the changes in energy and momentum of neutrons interacting with matter. This technique provides important information for quantitatively describing the phonon dispersion and magnetic excitation of materials. Inelastic neutron scattering spectrometers can be divided into triple-axis spectrometers and time-of-flight spectrometers, according to the method of selecting monochromatic neutrons. The former has high signal-to-noise ratio, flexibility, and precise tracking capabilities for specific measurement points, while the latter significantly improves experimental efficiency through various measures. The application of inelastic neutron scattering spectrometers is quite extensive, playing an indispensable role in advancing frontier scientific research in the study of mechanisms in various materials such as magnetism, superconductivity, thermoelectrics, and catalysis. The high-energy inelastic spectrometer at the China Spallation Neutron Source is the first time-of-flight neutron inelastic spectrometer in China, achieving high resolution and multi-energy coexistence with its innovative Fermi chopper design. Additionally, the number of available single neutron beams in the experiment of this facility has reached the international leading level.
2025, 74(1): 012801.
doi: 10.7498/aps.74.20241178
Abstract:
Lattice dynamics play a crucial role in understanding the physical mechanisms of cutting-edge energy materials. Many excellent energy materials have complex multiple-sublattice structures, with intricate lattice dynamics, and the underlying mechanisms are difficult to understand. Neutron scattering technologies, which are known for their high energy and momentum resolution, are powerful tools for simultaneously characterizing material structure and complex lattice dynamics. In recent years, neutron scattering techniques have made significant contributions to the study of energy materials, shedding light on their physical mechanisms. Starting from the basic properties of neutrons and double differential scattering cross sections, this review paper provides a detailed introduction to the working principles, spectrometer structures, and functions of several neutron scattering techniques commonly used in energy materials research, including neutron diffraction and neutron total scattering, which characterize material structures, and quasi-elastic neutron scattering and inelastic neutron scattering, which characterize lattice dynamics. Then, this review paper presents significant research progress in the field of energy materials utilizing neutron scattering as a primary characterization method. 1) In the case of Ag8SnSe6 superionic thermoelectric materials, single crystal inelastic neutron scattering experiments have revealed that the “liquid-like phonon model” is not the primary contributor to ultra-low lattice thermal conductivity. Instead, extreme phonon anharmonic scattering is identified as a key factor based on the special temperature dependence of phonon linewidth. 2) Analysis of quasi-elastic and inelastic neutron scattering spectra reveals the changes in the correlation between framework and Ag+ sublattices during the superionic phase transition of Ag8SnSe6 compounds. Further investigations using neutron diffraction and molecular dynamics simulations reveal a new mechanism of superionic phase transition and ion diffusion, primarily governed by weakly bonded Se atoms. 3) Research on NH4I compounds demonstrates a strong coupling between molecular orientation rotation and lattice vibration, and the strengthening of phonon anharmonicity with temperature rising can decouple this interaction and induce plastic phase transition. This phenomenon results in a significant configuration entropy change, showing its potential applications in barocaloric refrigeration. 4) In the CsPbBr3 perovskite photovoltaic materials, inelastic neutron scattering uncovers low-energy phonon damping of the [PbBr6] sublattice, influencing electron-phonon coupling and the band edge electronic state. This special anharmonic vibration of the [PbBr6] sublattice prolongs the lifetime of hot carriers, affecting the material's electronic properties. 5) In MnCoGe magnetic refrigeration materials, in-situ neutron diffraction experiments highlight the role of valence electron transfer between sublattices in changing crystal structural stability and magnetic interactions. This process triggers a transformation from a ferromagnetic to an incommensurate spiral antiferromagnetic structure, expanding our understanding of magnetic phase transition regulation. These examples underscore the interdependence between lattice dynamics and other degrees of freedom in energy conversion and storage materials, such as sublattices, charge, and spin. Through these typical examples, this review paper can provide a reference for further exploring and understanding the energy materials and lattice dynamics.
2025, 74(1): 017301.
doi: 10.7498/aps.74.20241163
Abstract:
Due to the unique crystal structures and excellent transport properties, the Zintl phase thermoelectric materials have aroused extensive interest in energy storage and conversion. To explore the origins of those excellent performances, a series of experimental and theoretical techniques have been applied, such as neutron scattering, thermal conductivity, and molecular dynamics simulations with machine learning. In this paper, the progress of neutron scattering research on the structure and dynamics of Zintl phase is summarized, for example A14MPn11 compounds with zero-dimensional (0D) substructures, 1D chains-based compounds, 2D layered A2BX2 compounds (including the binary Mg3Sb2) and their structural variants, as well as AB4X3, and ZrBeSi-type compounds. The underlying mechanisms of intrinsically low lattice thermal conductivity in those Zintl phase are discussed in detail. These compounds generally exhibit the following characteristics: 1) strong anharmonicity, which is characterized by strong atomic vibrations and anharmonic phonon-phonon scattering; 2) weak chemical bonding, which usually leads to low sound velocity and interatomic force constants, and corresponding to low-energy phonon branches; 3) intrinsic vacancy defect, which weakens the bond strengths, softens the lattice, and enhances anharmonic phonon-phonon scattering. Neutron diffraction is applied to studying crystal structures, lattice parameters, atomic occupancies, and atomic displacement parameters. Inelastic neutron scattering measures the lattice dynamics, and density of states, which are related to lattice thermal conductivity. Hence, the physical mechanisms of Zintl compounds are analyzed for optimizing material properties and designing new functional materials.
Due to the unique crystal structures and excellent transport properties, the Zintl phase thermoelectric materials have aroused extensive interest in energy storage and conversion. To explore the origins of those excellent performances, a series of experimental and theoretical techniques have been applied, such as neutron scattering, thermal conductivity, and molecular dynamics simulations with machine learning. In this paper, the progress of neutron scattering research on the structure and dynamics of Zintl phase is summarized, for example A14MPn11 compounds with zero-dimensional (0D) substructures, 1D chains-based compounds, 2D layered A2BX2 compounds (including the binary Mg3Sb2) and their structural variants, as well as AB4X3, and ZrBeSi-type compounds. The underlying mechanisms of intrinsically low lattice thermal conductivity in those Zintl phase are discussed in detail. These compounds generally exhibit the following characteristics: 1) strong anharmonicity, which is characterized by strong atomic vibrations and anharmonic phonon-phonon scattering; 2) weak chemical bonding, which usually leads to low sound velocity and interatomic force constants, and corresponding to low-energy phonon branches; 3) intrinsic vacancy defect, which weakens the bond strengths, softens the lattice, and enhances anharmonic phonon-phonon scattering. Neutron diffraction is applied to studying crystal structures, lattice parameters, atomic occupancies, and atomic displacement parameters. Inelastic neutron scattering measures the lattice dynamics, and density of states, which are related to lattice thermal conductivity. Hence, the physical mechanisms of Zintl compounds are analyzed for optimizing material properties and designing new functional materials.
2025, 74(1): 017401.
doi: 10.7498/aps.74.20241534
Abstract:
Spin fluctuations are often considered the most likely candidates for superconducting electron pairing media in unconventional superconductors. The iron-based superconductors provide a wide range of opportunities for studying the mechanism of unconventional superconductivity, as they have many systems with different structures and rich magnetisms. Taking the iron pnictide superconductors for example, this review summarizes the inelastic neutron scattering results of the spin excitation spectrum of iron-based superconductors, especially for their common features. Firstly, we introduce the direct connection between the low-energy spin excitations and superconductivity, which is so called the neutron spin resonance mode. This mode widely exists in the superconducting states of all iron-based superconductors, where the resonance energy ER is linearly proportional to the critical temperature Tc: ER = 4.9kBTc, and it has a universal c-axis preferred characteristic. The in-plane dispersion of spin resonance mode is not limited by the superconducting energy gap, which is in contrast to the traditional spin exciton model. The out-of plane dispersion of spin resonance mode is determined by the Fe-As interplanar distance, indicating that the three-dimensional spin correlation effect cannot be ignored, which may be the key to clarifying the role of spin fluctuations in superconductivity. Secondly, we summarize the energy dispersion, intensity distribution, and total fluctuating moment for high energy spin excitations. Although the Heisenberg model can roughly describe the similar dispersions in different systems based on the anisotropic in-plane nearest neighbor effective exchange couplings and the similar second nearest neighbor effective exchange coupling, the correlated Hubbard model based on itinerant magnetism can more accurately describe the spin wave behavior after degeneracy, thus the spin excitations are more likely to be understood from the perspective of itinerant magnetism. The spin excitation intensity varies greatly with energy in different systems, indicating a competitive relationship between itinerant and localized magnetic interactions. However, the total fluctuating moments are generally the same, indicating that the effective spin S = 1/2. The spin excitation bandwidth is in a range of 100–200 meV, probably is correlated with the height of As away from the Fe-Fe plane. Finally, we make a comprehensive comparison of the spin excitations in iron-based superconductors and copper oxide superconductors. The spin excitation spectra of iron-based superconductors have much richer physics than cuprates, due to the complex physics of multiple orbitals, Fermi surfaces, and energy gaps. These phenomena lead to the diversity of spin excitations, especially the prominent three-dimensional spin correlation effect. This indicates that interlayer pairing and intra layer pairing driven by spin interactions are equally important and must be fully considered in microscopic theories of high-Tc superconductivity.
2025, 74(1): 017801.
doi: 10.7498/aps.74.20241491
Abstract:
Photoluminescence (PL) spectroscopy has been widely used in the ultraviolet-near-infrared spectral range for over seventy years since its early reporting in the 1950’s, because it not only reveals the electronic structure information about such as band gap and impurity energy levels of semiconductor materials, but also serves as an efficient tool for analyzing interfacial structures, carrier lifetime, and quantum efficiency. However, in the infrared band beyond about 4 μm, the study of PL spectrum has been limited for decades due to strong thermal background interference, weak PL signals and low detection capability. In this review, a traditional PL method is introduced based on a Fourier transform infrared (FTIR) spectrometer, and a continuous-scan FTIR spectrometer-based double-modulation PL (csFTIR-DMPL) method is briefly described which was proposed in 1989 for breaking through the dilemma of the infrared band, and developed continuously in the later more than 20 years, with its limitations emphasized. Then, a step-scan FTIR spectrometer-based infrared modulated PL (ssFTIR-MPL) method reported in 2006 is analyzed with highlights on its advantages of anti-interference, sensitivity and signal-to-noise ratio. The effectiveness demonstration and application progress of this method in many research groups around the world are listed. Further developments in recent years are then summarized of wide-band, high-throughput scanning imaging and spatial micro-resolution infrared modulated PL spectroscopic experimental systems, and the technological progresses are demonstrated of infrared-modulated PL spectroscopy from 0.56–20 μm visible-far-infrared broadband coverage to >1000 high-throughput spectra imaging and ≤2–3 μm spatial micro-resolution. Typical achievements of collaborative research are enumerated in the visible-far-infrared semiconductor materials of dilute nitrogen/dilute bismuth quantum wells, HgCdTe epitaxial films, and InAs/GaSb superlattices. The results presented demonstrate the advancement of infrared modulated PL spectroscopy and the effectiveness of the experimental systems, and foresee further application and development in the future.
Photoluminescence (PL) spectroscopy has been widely used in the ultraviolet-near-infrared spectral range for over seventy years since its early reporting in the 1950’s, because it not only reveals the electronic structure information about such as band gap and impurity energy levels of semiconductor materials, but also serves as an efficient tool for analyzing interfacial structures, carrier lifetime, and quantum efficiency. However, in the infrared band beyond about 4 μm, the study of PL spectrum has been limited for decades due to strong thermal background interference, weak PL signals and low detection capability. In this review, a traditional PL method is introduced based on a Fourier transform infrared (FTIR) spectrometer, and a continuous-scan FTIR spectrometer-based double-modulation PL (csFTIR-DMPL) method is briefly described which was proposed in 1989 for breaking through the dilemma of the infrared band, and developed continuously in the later more than 20 years, with its limitations emphasized. Then, a step-scan FTIR spectrometer-based infrared modulated PL (ssFTIR-MPL) method reported in 2006 is analyzed with highlights on its advantages of anti-interference, sensitivity and signal-to-noise ratio. The effectiveness demonstration and application progress of this method in many research groups around the world are listed. Further developments in recent years are then summarized of wide-band, high-throughput scanning imaging and spatial micro-resolution infrared modulated PL spectroscopic experimental systems, and the technological progresses are demonstrated of infrared-modulated PL spectroscopy from 0.56–20 μm visible-far-infrared broadband coverage to >1000 high-throughput spectra imaging and ≤2–3 μm spatial micro-resolution. Typical achievements of collaborative research are enumerated in the visible-far-infrared semiconductor materials of dilute nitrogen/dilute bismuth quantum wells, HgCdTe epitaxial films, and InAs/GaSb superlattices. The results presented demonstrate the advancement of infrared modulated PL spectroscopy and the effectiveness of the experimental systems, and foresee further application and development in the future.
2025, 74(1): 014601.
doi: 10.7498/aps.74.20241338
Abstract:
The development trend of spallation damage mechanics is to construct a physical model that couples information with micro-mesoscale structure of materials, which also promotes the development of numerical calculation methods, experimental techniques and theoretical research. The mechanism responsible for plastic deformation and failure of structural metal materials at high strain rates is complex and ainfluenced by heterogeneities in the micro-mesoscale structure that comprises the distribution of grain boundaries, interfaces, and pre-existing densities voids. The distribution of these mesoscale heterogeneities can provide either strengthening behavior or void nucleation sites and influence spall failure behavior. Due to the lack of evolutionary information of micro-mesoscopic void distribution characteristics, the current spallation damage model is not only restricted in its application in extreme environments with high strain rates, high pressures, and shock, but also does not effectively provide some information about the correlation between material damage and final material fragmentation particle size, which is of very concern in engineering. Therefore, it is urgent to develop a spallation damage model that can reflect the variation law of micro-mesoscopic void distribution characteristics in damaged materials. The probability distribution function of void nucleation based on cosine function is given in this work by analyzing various influencing factors in the process of void nucleation, combining the characteristics of early void growth, and considering the convenience of analytical solution. The analytical calculation results of the new probability function of void nucleation are consistent not only with the results of the variation of void number with time calculated by molecular dynamics, but also with the experimental results of tantalum spallation in the early stage of damage development, that is to say, the new probability function of void nucleation can reflect the variation law of micro-void distribution characteristics in the early stage of spallation damage to a certain extent.
The development trend of spallation damage mechanics is to construct a physical model that couples information with micro-mesoscale structure of materials, which also promotes the development of numerical calculation methods, experimental techniques and theoretical research. The mechanism responsible for plastic deformation and failure of structural metal materials at high strain rates is complex and ainfluenced by heterogeneities in the micro-mesoscale structure that comprises the distribution of grain boundaries, interfaces, and pre-existing densities voids. The distribution of these mesoscale heterogeneities can provide either strengthening behavior or void nucleation sites and influence spall failure behavior. Due to the lack of evolutionary information of micro-mesoscopic void distribution characteristics, the current spallation damage model is not only restricted in its application in extreme environments with high strain rates, high pressures, and shock, but also does not effectively provide some information about the correlation between material damage and final material fragmentation particle size, which is of very concern in engineering. Therefore, it is urgent to develop a spallation damage model that can reflect the variation law of micro-mesoscopic void distribution characteristics in damaged materials. The probability distribution function of void nucleation based on cosine function is given in this work by analyzing various influencing factors in the process of void nucleation, combining the characteristics of early void growth, and considering the convenience of analytical solution. The analytical calculation results of the new probability function of void nucleation are consistent not only with the results of the variation of void number with time calculated by molecular dynamics, but also with the experimental results of tantalum spallation in the early stage of damage development, that is to say, the new probability function of void nucleation can reflect the variation law of micro-void distribution characteristics in the early stage of spallation damage to a certain extent.
2025, 74(1): 010201.
doi: 10.7498/aps.74.20240711
Abstract:
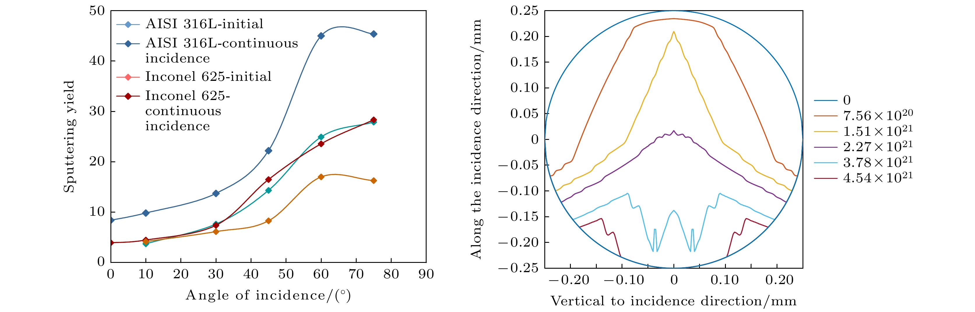
When energetic heavy ions are incident on negatively charged structure that collects and deposits ions, ion sputtering will occur. Metal wire is a structure commonly used for accelerating ions, the incidence of continuous high-throughput ions can cause surface loss of metal wire, affecting the service performance and lifespan of the metal wire. The SRIM software commonly used for calculating sputtering yield cannot consider the multi-body interaction problem contained in the alloy crystal structure. So, there is a significant error in calculating the sputtering yield of high-energy ions incident on alloy target. Based on the molecular dynamics method and Langevin temperature control model, the calculation model of ion sputtering parameters of energetic metal ions incident on alloy target is established in this work. The model is used to calculate the sputtering yield under the conditions of intact surface lattice of the target material and long-term incident surface lattice damage. The damages to the cathode metal wire under different incident ion fluences are further calculated, and the cross-sectional characterization of the metal wire is carried under typical working condition. The results show that the discrepancy between the experimental value and the theoretical value is less than 10%, which verifies the accuracy and applicability of the theoretical model. Based on this model, the search direction for sputtering resistant materials is proposed, meanwhile, a theoretical optimization is carried out to improve the service life of metal wire, and a method of using Ni-Ti alloy to improve the service life of metal wires is proposed, which is of great significance for predicting the service life of the metal wire under different conditions.
When energetic heavy ions are incident on negatively charged structure that collects and deposits ions, ion sputtering will occur. Metal wire is a structure commonly used for accelerating ions, the incidence of continuous high-throughput ions can cause surface loss of metal wire, affecting the service performance and lifespan of the metal wire. The SRIM software commonly used for calculating sputtering yield cannot consider the multi-body interaction problem contained in the alloy crystal structure. So, there is a significant error in calculating the sputtering yield of high-energy ions incident on alloy target. Based on the molecular dynamics method and Langevin temperature control model, the calculation model of ion sputtering parameters of energetic metal ions incident on alloy target is established in this work. The model is used to calculate the sputtering yield under the conditions of intact surface lattice of the target material and long-term incident surface lattice damage. The damages to the cathode metal wire under different incident ion fluences are further calculated, and the cross-sectional characterization of the metal wire is carried under typical working condition. The results show that the discrepancy between the experimental value and the theoretical value is less than 10%, which verifies the accuracy and applicability of the theoretical model. Based on this model, the search direction for sputtering resistant materials is proposed, meanwhile, a theoretical optimization is carried out to improve the service life of metal wire, and a method of using Ni-Ti alloy to improve the service life of metal wires is proposed, which is of great significance for predicting the service life of the metal wire under different conditions.
2025, 74(1): 010301.
doi: 10.7498/aps.74.20240933
Abstract:
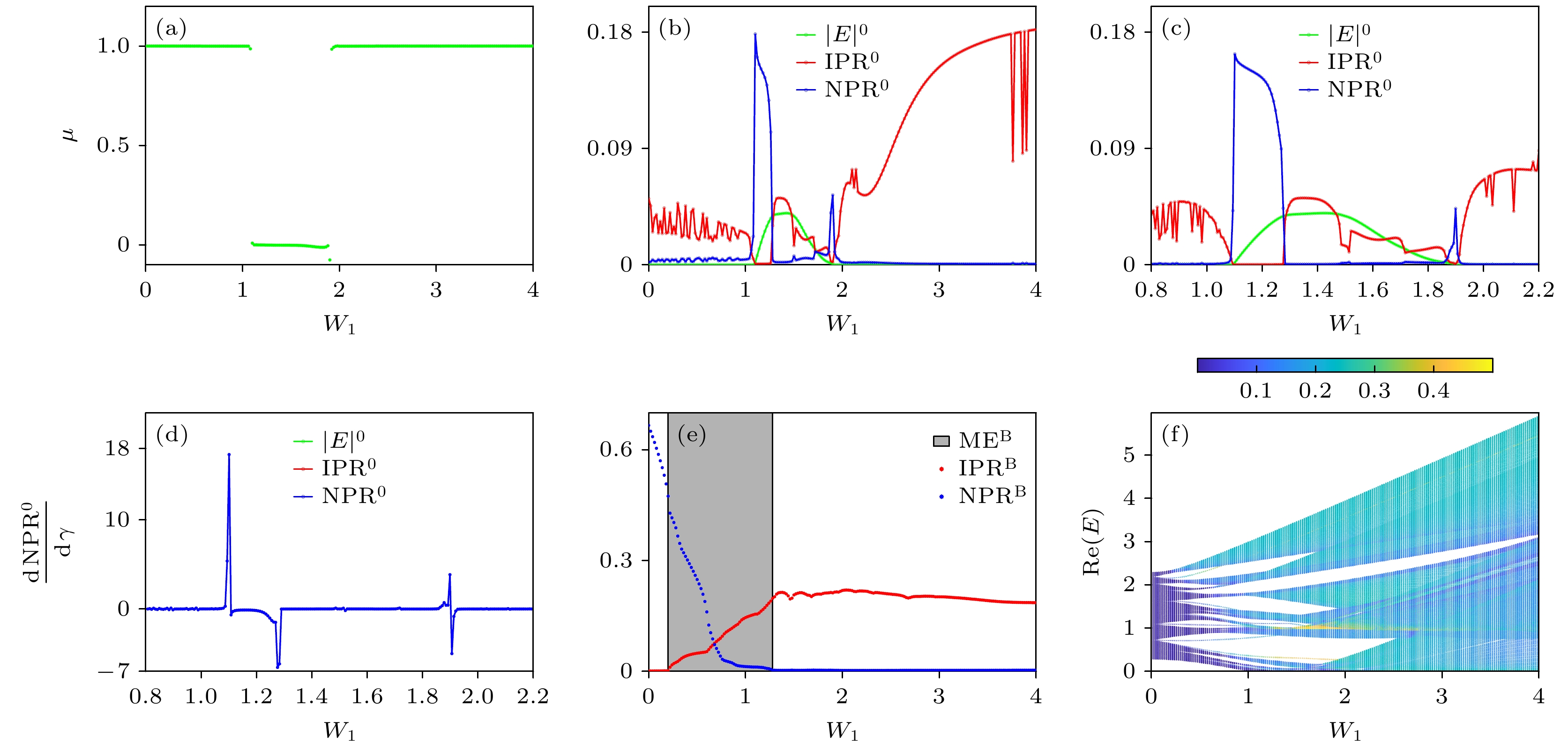
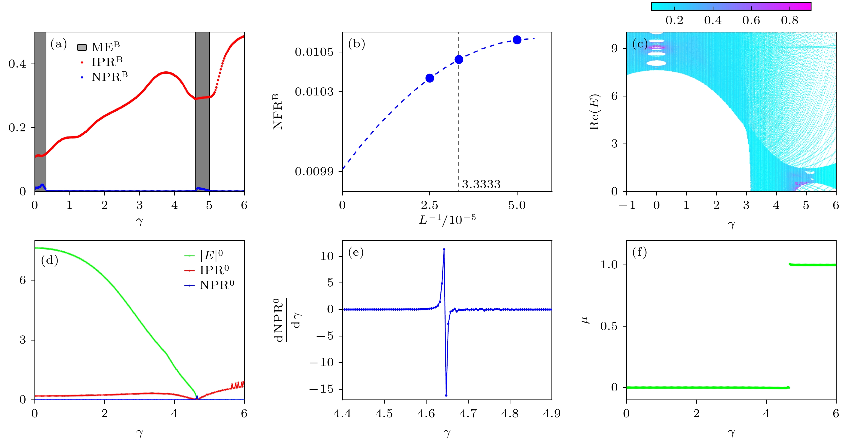
The localization is one of the active and fundamental research areas in topology physics. In this field, a comprehensive understanding of how wave functions distribute within a system is crucial. This work delves into this topic by proposing a novel systematic method based on a generalized Su-Schrieffer-Heeger (SSH) model. This model incorporates a quasiperiodic non-Hermitian term that appears at an off-diagonal position, adding a layer of complexity to the traditional SSH framework. By utilizing this model, we analyze the localization behaviors of both bulk state and edge state. For the bulk states, the analysis reveals a fascinating transition sequence. Specifically, the bulk states can undergo an extended-coexisting-localized-coexisting-localized transition, which is induced by the introduction of quasidisorder. This transition is not arbitrary but is rather conformed by the inverse participation ratio (IPR), a metric that quantifies the degree of localization of a wave function. As quasidisorder increases, the bulk states initially remain extended, but gradually, some states begin to be localized. A coexistence region appears where both extended and localized states are present. Further increase in quasidisorder leads to a complete localization of all bulk states. However, remarkably, within a certain range of quasidisorder strengths, the localized states can once again transition back to an extended state, creating another coexistence region. This complex behavior demonstrates the rich and diverse localization properties of the bulk states in non-Hermitian quasiperiodic systems. In addition to the IPR, other metrics such as the normalized participation ratio (NPR) and the fractal dimension of the eigenstates also play important roles in characterizing the localization behavior. These metrics provide a more in-depth understanding of the transition process and help to confirm the existence of the coexistence regions. Overall, we comprehensively analyze the localization behaviors of bulk and edge states in non-Hermitian quasiperiodic systems based on a generalized SSH model. The proposed systematic method present new insights into the complex interplay between quasidisorder, non-Hermiticity, and localization properties in topological physics.
2025, 74(1): 010501.
doi: 10.7498/aps.74.20241471
Abstract:
Brain diseases often occur simultaneously with critical changes in neural system and abnormal neuronal firing. Studying the early warning signals (EWSs) of critical changes can provide a promising approach for predicting neuronal firing behaviors, which is conducible to the early diagnosis and prevention of brain diseases. Traditional EWSs, such as autocorrelation and variance, have been widely used to detect the critical transitions in various dynamical systems. However, these methods have limitations in distinguishing different types of bifurcations. In contrast, the EWSs with power spectrum have shown a significant advantage in not only predicting bifurcation points but also distinguishing the types of bifurcations involved. Previous studies have demonstrated its predictive capability in climate and ecological models. Based on this, this study applies the EWS with power spectrum to neuronal systems in order to predict the neuronal firing behaviors and distinguish different classes of neuronal excitability. Specifically, we compute the EWSs before the occurrence of saddle-node bifurcation on the invariant circle and subcritical Hopf bifurcation in the Morris-Lecar neuron model. Additionally, we extend the analysis to the Hindmarsh-Rose model, calculating the EWSs before both saddle-node bifurcation and supercritical Hopf bifurcation. This study contains the four types of codimension-1 bifurcations corresponding to the neuronal firing. For comparison, we also calculate two types of conventional EWSs: lag-1 autocorrelation and variance. In numerical simulations, the stochastic differential equations are simulated by the Euler-Maruyama method. Then, the simulated responses are detrended by the Lowess filter. Finally, the EWSs are calculated by using the rolling window method to ensure the detection of EWS before bifurcation points. Our results show that the EWS with power spectrum can effectively predict the bifurcation points, which means that it can predict neuronal firing activities. Compared with the lag-1 autocorrelation and the variance, the EWSs with power spectrum not only accurately predict the neuronal firing, but also distinguish the classes of excitability in neurons. That is, according to the different characteristics of the power spectrum frequencies, the EWS with power spectrum can effectively distinguish between saddle-node bifurcations and Hopf bifurcations during neuronal firing. This work provides a novel approach for predicting the critical transitions in neural system, with potential applications in diagnosing and treating brain diseases.
Brain diseases often occur simultaneously with critical changes in neural system and abnormal neuronal firing. Studying the early warning signals (EWSs) of critical changes can provide a promising approach for predicting neuronal firing behaviors, which is conducible to the early diagnosis and prevention of brain diseases. Traditional EWSs, such as autocorrelation and variance, have been widely used to detect the critical transitions in various dynamical systems. However, these methods have limitations in distinguishing different types of bifurcations. In contrast, the EWSs with power spectrum have shown a significant advantage in not only predicting bifurcation points but also distinguishing the types of bifurcations involved. Previous studies have demonstrated its predictive capability in climate and ecological models. Based on this, this study applies the EWS with power spectrum to neuronal systems in order to predict the neuronal firing behaviors and distinguish different classes of neuronal excitability. Specifically, we compute the EWSs before the occurrence of saddle-node bifurcation on the invariant circle and subcritical Hopf bifurcation in the Morris-Lecar neuron model. Additionally, we extend the analysis to the Hindmarsh-Rose model, calculating the EWSs before both saddle-node bifurcation and supercritical Hopf bifurcation. This study contains the four types of codimension-1 bifurcations corresponding to the neuronal firing. For comparison, we also calculate two types of conventional EWSs: lag-1 autocorrelation and variance. In numerical simulations, the stochastic differential equations are simulated by the Euler-Maruyama method. Then, the simulated responses are detrended by the Lowess filter. Finally, the EWSs are calculated by using the rolling window method to ensure the detection of EWS before bifurcation points. Our results show that the EWS with power spectrum can effectively predict the bifurcation points, which means that it can predict neuronal firing activities. Compared with the lag-1 autocorrelation and the variance, the EWSs with power spectrum not only accurately predict the neuronal firing, but also distinguish the classes of excitability in neurons. That is, according to the different characteristics of the power spectrum frequencies, the EWS with power spectrum can effectively distinguish between saddle-node bifurcations and Hopf bifurcations during neuronal firing. This work provides a novel approach for predicting the critical transitions in neural system, with potential applications in diagnosing and treating brain diseases.
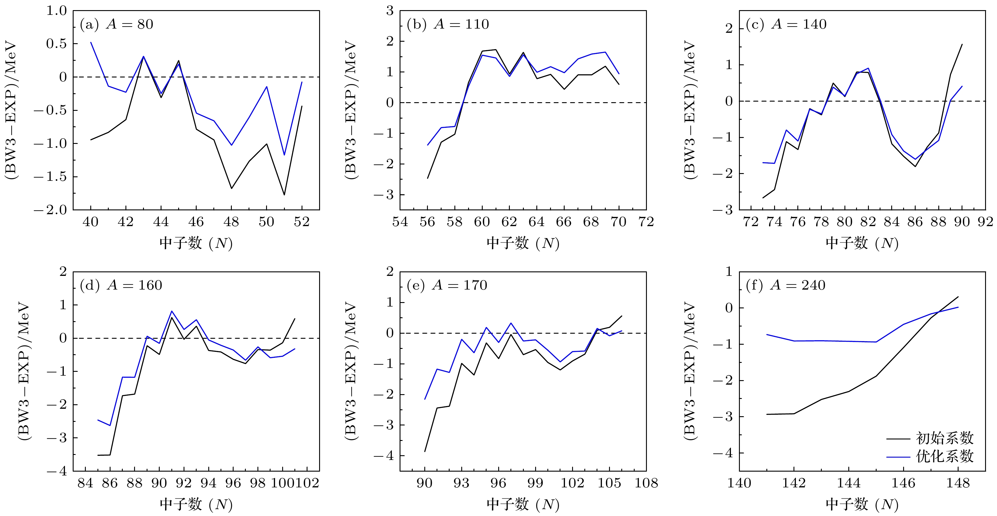
2025, 74(1): 012101.
doi: 10.7498/aps.74.20241201
Abstract:
The nuclear mass model has significant applications in nuclear physics, astrophysics, and nuclear engineering. The accurate prediction of binding energy is crucial for studying nuclear structure, reactions, and decay. However, traditional mass models exhibit significant errors in double magic number region and heavy nuclear region. These models are difficult to effectively describe shell effect and parity effect in the nuclear structure, and also fail to capture the subtle differences observed in experimental results. This study demonstrates the powerful modeling capabilities of MLP neural networks, which optimize the parameters of the nuclear mass model, and reduce prediction errors in key regions and globally. In the neural network, neutron number, proton number, and binding energy are used as training feature values, and the mass-model coefficient is regarded as training label value. The training set is composed of the multiple sets of calculated nuclear mass model coefficients. Through extensive experiments, the optimal parameters are determined to ensure the convergence speed and stability of the model. The Adam optimizer is used to adjust the weight and bias of the network to reduce the mean squared error loss during training. Based on the AME2020 dataset, the trained neural network model with the minimum loss is used to predict the optimal coefficients of the nuclear mass model. The optimized BW2 model significantly reduces root-mean-square errors in double magic number and heavy nuclear regions. Specifically, the optimized model reduces the root-mean-square error by about 28%, 12%, and 18% near Z = 50 and N = 50; Z(N) = 50 and N = 82; Z = 82 and N = 126, respectively. In the heavy nuclear region, the error is reduced by 48%. The BW3 model combines higher-order symmetry energy terms, and after parameter optimization using the neural network, reduces the global root-mean-square error from 1.86 MeV to 1.63 MeV. This work reveals that the model with newly optimized coefficients not only exhibit significant error reduction near double magic numbers, but also shows the improvements in binding energy predictions for both neutron-rich and neutron-deficient nuclei. Furthermore, the model shows good improvements in describing parity effects, accurately capturing the differences related to parity in isotopic chains with different proton numbers. This study demonstrates the tremendous potential of MLP neural networks in optimizing the parameters of nuclear mass model and provides a novel method for optimizing parameters in more complex nuclear mass models. In addition, the proposed method is applicable to the nuclear mass models with implicit or nonlinear relationships, providing a new perspective for further developing the nuclear mass models.
The nuclear mass model has significant applications in nuclear physics, astrophysics, and nuclear engineering. The accurate prediction of binding energy is crucial for studying nuclear structure, reactions, and decay. However, traditional mass models exhibit significant errors in double magic number region and heavy nuclear region. These models are difficult to effectively describe shell effect and parity effect in the nuclear structure, and also fail to capture the subtle differences observed in experimental results. This study demonstrates the powerful modeling capabilities of MLP neural networks, which optimize the parameters of the nuclear mass model, and reduce prediction errors in key regions and globally. In the neural network, neutron number, proton number, and binding energy are used as training feature values, and the mass-model coefficient is regarded as training label value. The training set is composed of the multiple sets of calculated nuclear mass model coefficients. Through extensive experiments, the optimal parameters are determined to ensure the convergence speed and stability of the model. The Adam optimizer is used to adjust the weight and bias of the network to reduce the mean squared error loss during training. Based on the AME2020 dataset, the trained neural network model with the minimum loss is used to predict the optimal coefficients of the nuclear mass model. The optimized BW2 model significantly reduces root-mean-square errors in double magic number and heavy nuclear regions. Specifically, the optimized model reduces the root-mean-square error by about 28%, 12%, and 18% near Z = 50 and N = 50; Z(N) = 50 and N = 82; Z = 82 and N = 126, respectively. In the heavy nuclear region, the error is reduced by 48%. The BW3 model combines higher-order symmetry energy terms, and after parameter optimization using the neural network, reduces the global root-mean-square error from 1.86 MeV to 1.63 MeV. This work reveals that the model with newly optimized coefficients not only exhibit significant error reduction near double magic numbers, but also shows the improvements in binding energy predictions for both neutron-rich and neutron-deficient nuclei. Furthermore, the model shows good improvements in describing parity effects, accurately capturing the differences related to parity in isotopic chains with different proton numbers. This study demonstrates the tremendous potential of MLP neural networks in optimizing the parameters of nuclear mass model and provides a novel method for optimizing parameters in more complex nuclear mass models. In addition, the proposed method is applicable to the nuclear mass models with implicit or nonlinear relationships, providing a new perspective for further developing the nuclear mass models.
2025, 74(1): 013201.
doi: 10.7498/aps.74.20240900
Abstract:
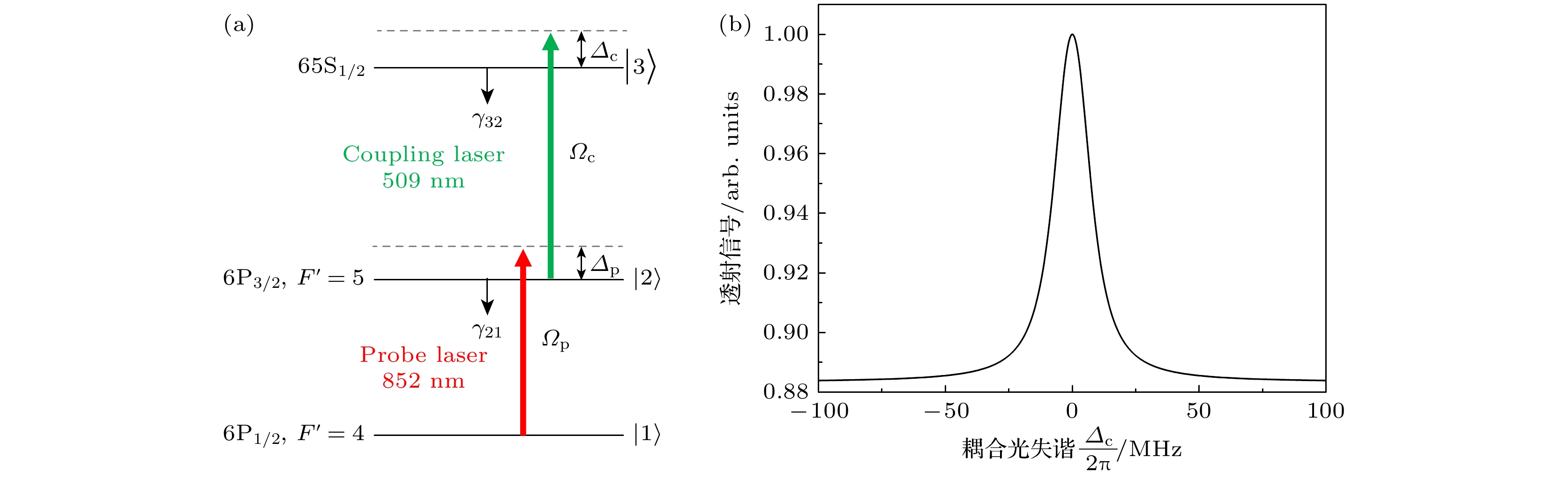
Through the cascade excitation of 852-nm continuous-wave (CW) laser and 509-nm nanosecond pulsed laser, the electromagnetically-induced transparency (EIT) spectroscopic signals of ladder-type three-level cesium atoms with Rydberg state are obtained by using a room-temperature cesium vapor cell. The power of 509-nm pulsed laser beam is ~176 W, while the pulse repetition frequency ranges from 300 kHz to 100 MHz and can be continuously adjusted. The laser pulse duration runs from 1 to 100 ns and can be continuously adjusted. The relationship between Rydberg EIT spectroscopic signals and 509-nm nanosecond pulsed laser parameters is investigated experimentally. By changing the pulse repetition frequency and the pulse duration of the 509-nm nanosecond pulsed laser, the comb-like Rydberg atomic spectrum is obtained by using a room-temperature cesium vapor cell. Within a certain range of repetition frequency and pulse duration, the envelope of spectral lines shows a regular pattern, and the spacing between the transmission peaks is consistent with the pulse repetition frequency. By changing the 509-nm laser pulse repetition frequency and pulse duration, atoms with the specific velocity group can be excited to Rydberg state. Reducing the repetition frequency of the 509-nm pulsed coupling laser can further increase the number of atoms in the Rydberg state in comparison with the case of finite velocity group pumping of cesium atoms by a continuous-wave laser. When the repetition frequency of the 509-nm pulsed laser approaches the EIT linewidth, the number of cesium Rydberg atoms can be increased by up to 10 times. In the parameter optimization process, the dynamic characteristics of pulsed excitation in multi-level atoms, as well as the interaction characteristics between arbitrarily shaped laser pulses and multi-level atomic systems, should be considered. Pulsed laser pumping can achieve the interaction between the laser field and atomic group with a specific velocity, and its developed atomic frequency comb spectra can be used for electric and magnetic field measurements. The multi-peak structure of the spectrum can be used to more accurately determine the intensity, frequency, and phase of the microwave electric field by measuring spectral variations. This high-sensitivity and high-resolution measurement capability is crucial for precisely measuring microwave electric fields. The pulsed coupling laser can excite atoms in a specific velocity group to the Rydberg state. High-density Rydberg atoms can improve the signal-to-noise ratio of the measured spectrum, which has potential applications in quantum sensing and quantum measurement based on Rydberg atoms.
2025, 74(1): 014201.
doi: 10.7498/aps.74.20241305
Abstract:
In order to improve the electromagnetic shielding performance of the single-layer metal mesh transparent conductive films (SMMTCFs) based on the crack template method, the preparation of double-layer metal mesh transparent conductive films (DMMTCFs) by using the crack template method is studied. The double-layer cracked templates are prepared by spin-coating crack glue on both sides of the transparent substrate and by pulling the transparent substrate from the cracked adhesive solution with a certain rate to obtain the corresponding double-layer cracked templates, respectively. After obtaining the double-layer crack templates by the spin-coating method and the pulling method, respectively, the corresponding DMMTCF samples are obtained by metal deposition and degumming process. First, the performances of single-layer and double-layer metal mesh samples prepared by the spin-coating method under the same conditions are measured and compared with each other, and the optical transmittance of the double-layer structure decreases by nearly 10.9% compared with that of the single-layer structure, while the electromagnetic shielding effectiveness in the Ku band (12–18 GHz) increases by 30 dB. In addition, the double-layer metal mesh sample prepared by the pulling method is also tested. Compared with the single-layer metal mesh sample prepared under the same conditions, the double-layer structure can improve electromagnetic shielding effectiveness in the Ku band by 20 dB under the premise of losing 8.38% optical transmittance. The measurement results show that the electromagnetic shielding performance of the double-layer metal mesh transparent conductive films can be significantly improved at the expense of some optical transmittance performances. Through the preparation and performance study of DMMTCFs based on the cracked template method, the low-cost advantage of the cracked template method can be fully utilized to prepare DMMTCFs with high electromagnetic shielding performance.
In order to improve the electromagnetic shielding performance of the single-layer metal mesh transparent conductive films (SMMTCFs) based on the crack template method, the preparation of double-layer metal mesh transparent conductive films (DMMTCFs) by using the crack template method is studied. The double-layer cracked templates are prepared by spin-coating crack glue on both sides of the transparent substrate and by pulling the transparent substrate from the cracked adhesive solution with a certain rate to obtain the corresponding double-layer cracked templates, respectively. After obtaining the double-layer crack templates by the spin-coating method and the pulling method, respectively, the corresponding DMMTCF samples are obtained by metal deposition and degumming process. First, the performances of single-layer and double-layer metal mesh samples prepared by the spin-coating method under the same conditions are measured and compared with each other, and the optical transmittance of the double-layer structure decreases by nearly 10.9% compared with that of the single-layer structure, while the electromagnetic shielding effectiveness in the Ku band (12–18 GHz) increases by 30 dB. In addition, the double-layer metal mesh sample prepared by the pulling method is also tested. Compared with the single-layer metal mesh sample prepared under the same conditions, the double-layer structure can improve electromagnetic shielding effectiveness in the Ku band by 20 dB under the premise of losing 8.38% optical transmittance. The measurement results show that the electromagnetic shielding performance of the double-layer metal mesh transparent conductive films can be significantly improved at the expense of some optical transmittance performances. Through the preparation and performance study of DMMTCFs based on the cracked template method, the low-cost advantage of the cracked template method can be fully utilized to prepare DMMTCFs with high electromagnetic shielding performance.
2025, 74(1): 014202.
doi: 10.7498/aps.74.20241126
Abstract:
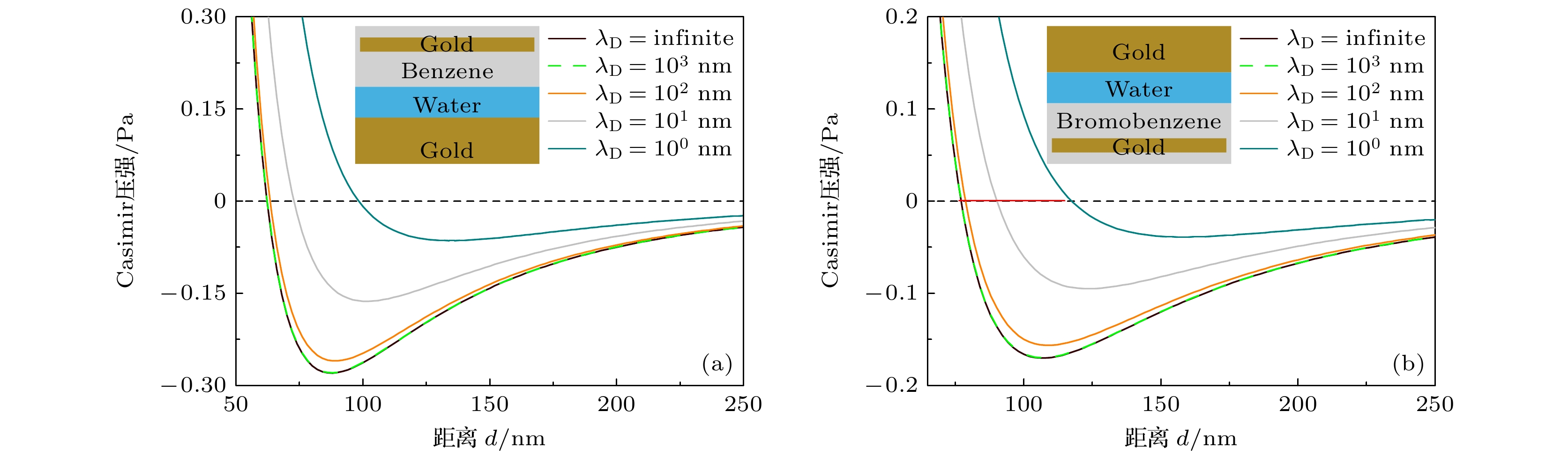
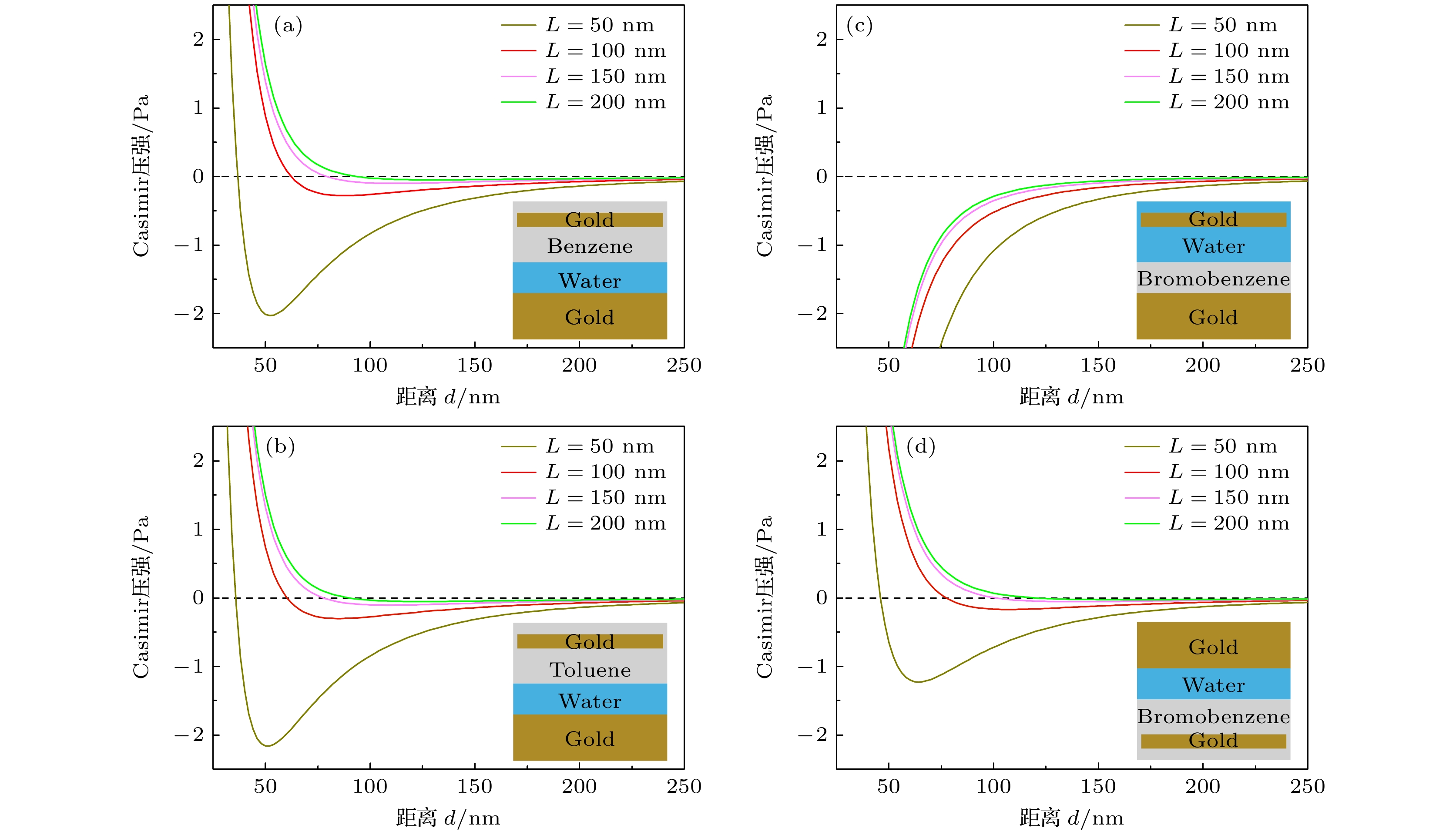
The Casimir effect, a macroscopic manifestation of quantum phenomena, arises from zero-point energy and thermal fluctuations. When two objects are brought into close proximity, the Casimir effect manifests as a repulsive force, while at greater separations, it transforms into an attractive force. There exists a specific distance at which the Casimir force vanishes, which is referred to as the stable Casimir equilibrium. Stable Casimir equilibrium arises from the curve minimum value of the Casimir energy, which can create spatial trapping. The manipulation of stable Casimir equilibrium provides promising applications in fields such as tunable optical resonators and self-assembly. This work presents a scheme for achieving tunable Casimir equilibrium in a dual-liquid system. The system comprises a multilayered stratified structure with a gold substrate. Above the gold substrate, a stratified liquid system is formed due to the immiscibility between organic solutions and water. The lower-density solution is at the top, while the higher-density solution is at the bottom. Our results suggest that a stable Casimir equilibrium for a suspended gold nanoplate can be realized, when the suspended gold nanoplate is immersed in organic solution of toluene or benzene. Moreover, the height of the suspended gold nanoplate, determined by the stable Casimir equilibrium, can be precisely tuned by changing the thickness of the water layer. The effects of finite temperature and ionic concentration on the Casimir equilibria are also analyzed in this work. The results suggest that the separation height of Casimir equilibrium decreases with the increase of temperature. Interestingly, when the Debye shielding length is comparable to or smaller than the separation length, the ion concentration in water significantly affects the Casimir pressure allowing for extensive modulations of Casimir equilibrium. This work opens up a new avenue for adjusting Casimir equilibrium and has important applications in “quantum trapping” of micro-nano particles.
The Casimir effect, a macroscopic manifestation of quantum phenomena, arises from zero-point energy and thermal fluctuations. When two objects are brought into close proximity, the Casimir effect manifests as a repulsive force, while at greater separations, it transforms into an attractive force. There exists a specific distance at which the Casimir force vanishes, which is referred to as the stable Casimir equilibrium. Stable Casimir equilibrium arises from the curve minimum value of the Casimir energy, which can create spatial trapping. The manipulation of stable Casimir equilibrium provides promising applications in fields such as tunable optical resonators and self-assembly. This work presents a scheme for achieving tunable Casimir equilibrium in a dual-liquid system. The system comprises a multilayered stratified structure with a gold substrate. Above the gold substrate, a stratified liquid system is formed due to the immiscibility between organic solutions and water. The lower-density solution is at the top, while the higher-density solution is at the bottom. Our results suggest that a stable Casimir equilibrium for a suspended gold nanoplate can be realized, when the suspended gold nanoplate is immersed in organic solution of toluene or benzene. Moreover, the height of the suspended gold nanoplate, determined by the stable Casimir equilibrium, can be precisely tuned by changing the thickness of the water layer. The effects of finite temperature and ionic concentration on the Casimir equilibria are also analyzed in this work. The results suggest that the separation height of Casimir equilibrium decreases with the increase of temperature. Interestingly, when the Debye shielding length is comparable to or smaller than the separation length, the ion concentration in water significantly affects the Casimir pressure allowing for extensive modulations of Casimir equilibrium. This work opens up a new avenue for adjusting Casimir equilibrium and has important applications in “quantum trapping” of micro-nano particles.
2025, 74(1): 014203.
doi: 10.7498/aps.74.20241458
Abstract:
Fractional-order vortex beams possess fractional orbital angular momentum (FOAM) modes, which theoretically have the potential to increase transmission capacity infinitely. Therefore, they have significant application prospects in the fields of measurement, optical communication and microparticle manipulation. However, when fractional-order vortex beams propagate in free space, the discontinuity of the helical phase makes them susceptible to diffraction in practical applications, thereby affecting the accuracy of OAM mode recognition and severely limiting the use of FOAM-based optical communication. Achieving machine learning recognition of fractional-order vortex beams under diffraction conditions is currently an urgent and unreported issue. Based on ResNetA, a deep learning (DL) method of accurately recognizing the propagation distance and topological charge of fractional-order vortex beam diffraction process is proposed in this work. Utilizing both experimentally measured and numerically simulated intensity distributions, a dataset of vortex beam diffraction intensity patterns in atmospheric turbulence environments is created. An improved 101-layer ResNet structure based on transfer learning is employed to achieve accurate and efficient recognition of the FOAM model at different propagation distances. Experimental results show that the proposed method can accurately recognize FOAM modes with a propagation distance of 100 cm, a spacing of 5 cm, and a mode spacing of 0.1 under turbulent conditions, with an accuracy of 99.69%. This method considers the effect of atmospheric turbulence during spatial transmission, allowing the recognition scheme to achieve high accuracy even in special environments. It has the ability to distinguish ultra-fine FOAM modes and propagation distances, which cannot be achieved by traditional methods. This technology can be applied to multidimensional encoding and sensing measurements based on FOAM beam.
Fractional-order vortex beams possess fractional orbital angular momentum (FOAM) modes, which theoretically have the potential to increase transmission capacity infinitely. Therefore, they have significant application prospects in the fields of measurement, optical communication and microparticle manipulation. However, when fractional-order vortex beams propagate in free space, the discontinuity of the helical phase makes them susceptible to diffraction in practical applications, thereby affecting the accuracy of OAM mode recognition and severely limiting the use of FOAM-based optical communication. Achieving machine learning recognition of fractional-order vortex beams under diffraction conditions is currently an urgent and unreported issue. Based on ResNetA, a deep learning (DL) method of accurately recognizing the propagation distance and topological charge of fractional-order vortex beam diffraction process is proposed in this work. Utilizing both experimentally measured and numerically simulated intensity distributions, a dataset of vortex beam diffraction intensity patterns in atmospheric turbulence environments is created. An improved 101-layer ResNet structure based on transfer learning is employed to achieve accurate and efficient recognition of the FOAM model at different propagation distances. Experimental results show that the proposed method can accurately recognize FOAM modes with a propagation distance of 100 cm, a spacing of 5 cm, and a mode spacing of 0.1 under turbulent conditions, with an accuracy of 99.69%. This method considers the effect of atmospheric turbulence during spatial transmission, allowing the recognition scheme to achieve high accuracy even in special environments. It has the ability to distinguish ultra-fine FOAM modes and propagation distances, which cannot be achieved by traditional methods. This technology can be applied to multidimensional encoding and sensing measurements based on FOAM beam.
2025, 74(1): 014204.
doi: 10.7498/aps.74.20241414
Abstract:
The mid-infrared (MIR) spectral region, which corresponds to molecular vibrational and rotational energy level transitions, contains a wealth of molecular energy level information. By employing techniques such as cavity ring-down spectroscopy (CRDS), the MIR spectra can be precisely measured, thereby validating fundamental physical laws, the inversion of fundamental physical constants, and the detection of trace gases. However, technical noise from temperature fluctuations, mechanical vibrations, and current noise causes free-running quantum cascade laser (QCL) to suffer high-frequency noise, typically broadening the linewidth to the MHz range, thus reducing spectral resolution. Moreover, long-term drift in the laser frequency due to temperature and current fluctuations hinders high-precision spectroscopy, particularly for narrow-linewidth nonlinear spectroscopy, such as saturated absorption and multiphoton absorption spectroscopy. This work presents a method of combining optical feedback with an optical phase-locked loop (OPLL) for offset frequency locking, aiming to generate a mid-infrared (MIR) laser with excellent frequency characteristics. Strong optical feedback is employed to narrow the linewidth of the quantum cascade laser (QCL) acting as a slave laser, thereby alleviating the challenges associated with phase locking. The OPLL uses frequency-offset to lock the slave laser to the ultra-narrow laser. By adjusting the offset frequency, fine control of the slave laser is achieved. To ensure tight phase locking, the OPLL is based on the ADF4007, and combines a phase lead circuit to compensate for phase lag, effectively expanding the loop bandwidth of the system. In this work, the fundamental principles of the optical phase-locked loop are theoretically analyzed, and a basic model is established. The influence of loop bandwidth on locking performance is also investigated. Upon achieving phase locking using the combined optical feedback and OPLL system, the magnitude of the beat note of the two lasers is improved by 66 dBm, with phase noise suppressed to –81 dBc/Hz@2 kHz in the low-frequency region and -101 dBc/Hz@2MHz in the high-frequency region. The frequency noise power spectral density of both the master laser and slave laser is obtained via the error signal in the closed-loop system. Significant suppression of frequency noise is observed for the slave laser across both low- and high-frequency region, with suppression ratio reaching 86 dB at 100 Hz and 55 dB at 400 kHz. The frequency noise of the slave laser in the low-frequency domain is found to be comparable to that of the master laser. Based on the white noise response region in the frequency noise spectrum (from 200 Hz to 400 kHz), the locked slave laser linewidth is determined to be approximately 3 Hz, narrowing the initial MHz-level linewidth to match the Hz-level linewidth of the master laser. Finally, the locked laser is used to conduct cavity ring-down spectroscopy, achieving an improvement factor of 5 in the signal-to-noise ratio of the ringdown signal. This frequency-stabilized laser will be applied to high-precision spectroscopy for detecting radiocarbon isotopes in future.
The mid-infrared (MIR) spectral region, which corresponds to molecular vibrational and rotational energy level transitions, contains a wealth of molecular energy level information. By employing techniques such as cavity ring-down spectroscopy (CRDS), the MIR spectra can be precisely measured, thereby validating fundamental physical laws, the inversion of fundamental physical constants, and the detection of trace gases. However, technical noise from temperature fluctuations, mechanical vibrations, and current noise causes free-running quantum cascade laser (QCL) to suffer high-frequency noise, typically broadening the linewidth to the MHz range, thus reducing spectral resolution. Moreover, long-term drift in the laser frequency due to temperature and current fluctuations hinders high-precision spectroscopy, particularly for narrow-linewidth nonlinear spectroscopy, such as saturated absorption and multiphoton absorption spectroscopy. This work presents a method of combining optical feedback with an optical phase-locked loop (OPLL) for offset frequency locking, aiming to generate a mid-infrared (MIR) laser with excellent frequency characteristics. Strong optical feedback is employed to narrow the linewidth of the quantum cascade laser (QCL) acting as a slave laser, thereby alleviating the challenges associated with phase locking. The OPLL uses frequency-offset to lock the slave laser to the ultra-narrow laser. By adjusting the offset frequency, fine control of the slave laser is achieved. To ensure tight phase locking, the OPLL is based on the ADF4007, and combines a phase lead circuit to compensate for phase lag, effectively expanding the loop bandwidth of the system. In this work, the fundamental principles of the optical phase-locked loop are theoretically analyzed, and a basic model is established. The influence of loop bandwidth on locking performance is also investigated. Upon achieving phase locking using the combined optical feedback and OPLL system, the magnitude of the beat note of the two lasers is improved by 66 dBm, with phase noise suppressed to –81 dBc/Hz@2 kHz in the low-frequency region and -101 dBc/Hz@2MHz in the high-frequency region. The frequency noise power spectral density of both the master laser and slave laser is obtained via the error signal in the closed-loop system. Significant suppression of frequency noise is observed for the slave laser across both low- and high-frequency region, with suppression ratio reaching 86 dB at 100 Hz and 55 dB at 400 kHz. The frequency noise of the slave laser in the low-frequency domain is found to be comparable to that of the master laser. Based on the white noise response region in the frequency noise spectrum (from 200 Hz to 400 kHz), the locked slave laser linewidth is determined to be approximately 3 Hz, narrowing the initial MHz-level linewidth to match the Hz-level linewidth of the master laser. Finally, the locked laser is used to conduct cavity ring-down spectroscopy, achieving an improvement factor of 5 in the signal-to-noise ratio of the ringdown signal. This frequency-stabilized laser will be applied to high-precision spectroscopy for detecting radiocarbon isotopes in future.
2025, 74(1): 014206.
doi: 10.7498/aps.74.20240682
Abstract:
In a laser Doppler vibrometer (LDV), the laser Doppler effect is used to real-time acquire target displacement, velocity, and acceleration. Fiber optic laser vibrometers have received widespread attention in recent years due to their strong environmental adaptability and high integration advantages. With the expansion of detection target distance, higher requirements have been put forward for the measurement resolution of laser vibrometers. The LDV system typically employs a transceiver integrated telescope structure for laser emission and target return light reception. The aperture and focal length of the transceiver telescope determine its basic structure, directly affecting the emission and reception efficiency of laser energy. Additionally, the speckle effect generated by the scattering of rough targets affects the coupling of light energy entering the fiber optic for interference, thereby influencing the LDV measurement resolution. Based on relevant theories such as Gaussian beam waist transmission, rough target generation, Fresnel diffraction integration, and fiber optic coupling, a transceiver integrated fiber optic laser vibrometer optical field transmission model is established. Numerical simulation and analysis of the emission transmission process of ideal Gaussian laser and the coupling process of surface target echo reception are conducted. Based on the assumption of laser vibrometer speckle noise limitation, an evaluation scheme for the instrument’s noise baseline under rough target return light conditions is proposed. Numerical simulation experiments are conducted for a typical fiber LDV application scenario with an alignment distance of 1 km, a single-mode fiber mode field radius of 5 μm, and a laser wavelength of 1550 nm. The results indicate that the focal length and aperture of the transceiver telescope determine the distribution of system energy utilization and further affect the instrument’s noise baseline. Simulation results show that when the F-number of the transceiver lens reaches 3.3, LDV achieves the highest system energy utilization at this focal length, verifying the correctness of the simulation model. The simulation results can serve as a basis for the design of transceiver lenses for fiber optic laser vibrometers, laser anemometers, and other devices.
2025, 74(1): 014301.
doi: 10.7498/aps.74.20241354
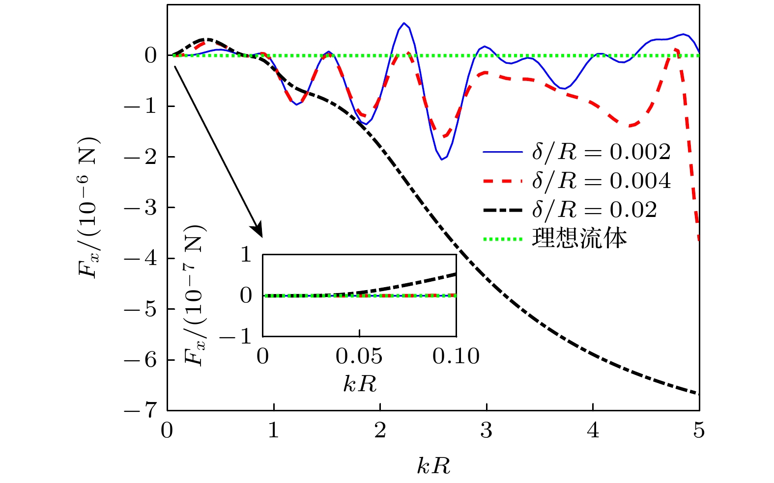
Abstract:
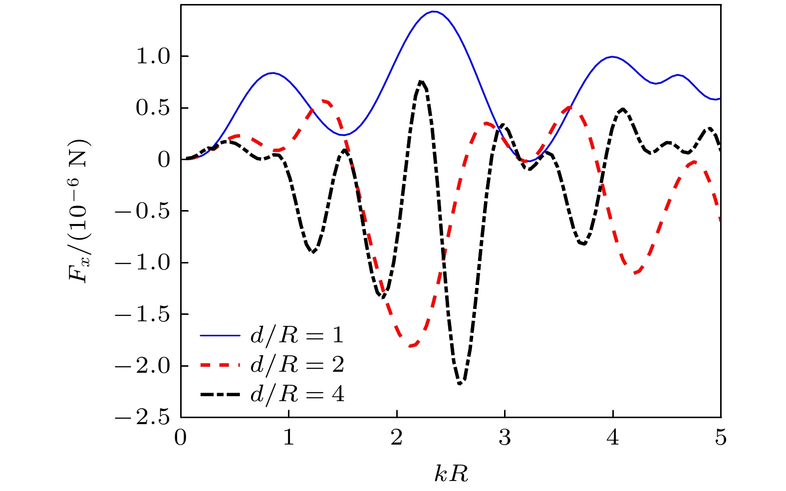
The manipulation of particles by acoustic radiation force (ARF) has the advantages of non-invasiveness, high biocompatibility, and wide applicability. The study of acoustic radiation force is an important foundation for improving the accuracy and effectiveness of particle manipulation technology. Based on the acoustic wave theory, a theoretical model for the ARF of a free spherical particle in a bounded viscous fluid is established. The ARF for the case of a normal incident plane wave is derived by applying the translation addition theorem to spherical function. The dynamic equation of a free sphere is required as a correction term for calculating the ARF. The effects of the fluid viscosity, particle material, particle distance from boundary, and the boundary on the ARF are analyzed by numerical simulation. The results show that the resonance peak of the ARF curve is broadened with the increase of the viscosity of the fluid. Compared with the values of the ARFs of a PE sphere in a viscous and an ideal fluid, the fluid viscosity has a small influence and the viscosity effect can be ignored when kR is much less than 1. However, for the cases where kR is greater than or equal to 1, the amplitude of the ARF experienced by a particle in a viscous fluid is much greater than that in an ideal fluid. The influence of fluid viscosity on the ARF is significant and cannot be ignored. Moreover, compared with a liquid material sphere, the oscillation of ARF in an elastic material sphere is more pronounced. This is because the momentum transfer between sound waves and elastic materials is greater than that between sound waves and liquid materials. In addition, the amplitude of the ARF increases with the increase of the reflection coefficient of the impedance boundary, but its resonance frequency is not affected. Finally, the position of the sphere mainly affects the oscillation phenomenon of its ARF. The peaks and dips of the ARF become more densely packed with the growth of distance-to-radius. It is worth noting that the reflection coefficient mainly affects the amplitude of the ARF, while the position of the sphere affects the period of the ARF function. The results indicate that more efficient manipulation of particles can be achieved through appropriate parameter selection. This study provides a theoretical basis for acoustically manipulating a free particle in a bounded viscous fluid and contributes to the better utilization of ARF for particle manipulation in biomedical and other fields.
The manipulation of particles by acoustic radiation force (ARF) has the advantages of non-invasiveness, high biocompatibility, and wide applicability. The study of acoustic radiation force is an important foundation for improving the accuracy and effectiveness of particle manipulation technology. Based on the acoustic wave theory, a theoretical model for the ARF of a free spherical particle in a bounded viscous fluid is established. The ARF for the case of a normal incident plane wave is derived by applying the translation addition theorem to spherical function. The dynamic equation of a free sphere is required as a correction term for calculating the ARF. The effects of the fluid viscosity, particle material, particle distance from boundary, and the boundary on the ARF are analyzed by numerical simulation. The results show that the resonance peak of the ARF curve is broadened with the increase of the viscosity of the fluid. Compared with the values of the ARFs of a PE sphere in a viscous and an ideal fluid, the fluid viscosity has a small influence and the viscosity effect can be ignored when kR is much less than 1. However, for the cases where kR is greater than or equal to 1, the amplitude of the ARF experienced by a particle in a viscous fluid is much greater than that in an ideal fluid. The influence of fluid viscosity on the ARF is significant and cannot be ignored. Moreover, compared with a liquid material sphere, the oscillation of ARF in an elastic material sphere is more pronounced. This is because the momentum transfer between sound waves and elastic materials is greater than that between sound waves and liquid materials. In addition, the amplitude of the ARF increases with the increase of the reflection coefficient of the impedance boundary, but its resonance frequency is not affected. Finally, the position of the sphere mainly affects the oscillation phenomenon of its ARF. The peaks and dips of the ARF become more densely packed with the growth of distance-to-radius. It is worth noting that the reflection coefficient mainly affects the amplitude of the ARF, while the position of the sphere affects the period of the ARF function. The results indicate that more efficient manipulation of particles can be achieved through appropriate parameter selection. This study provides a theoretical basis for acoustically manipulating a free particle in a bounded viscous fluid and contributes to the better utilization of ARF for particle manipulation in biomedical and other fields.
2025, 74(1): 014302.
doi: 10.7498/aps.74.20241454
Abstract:
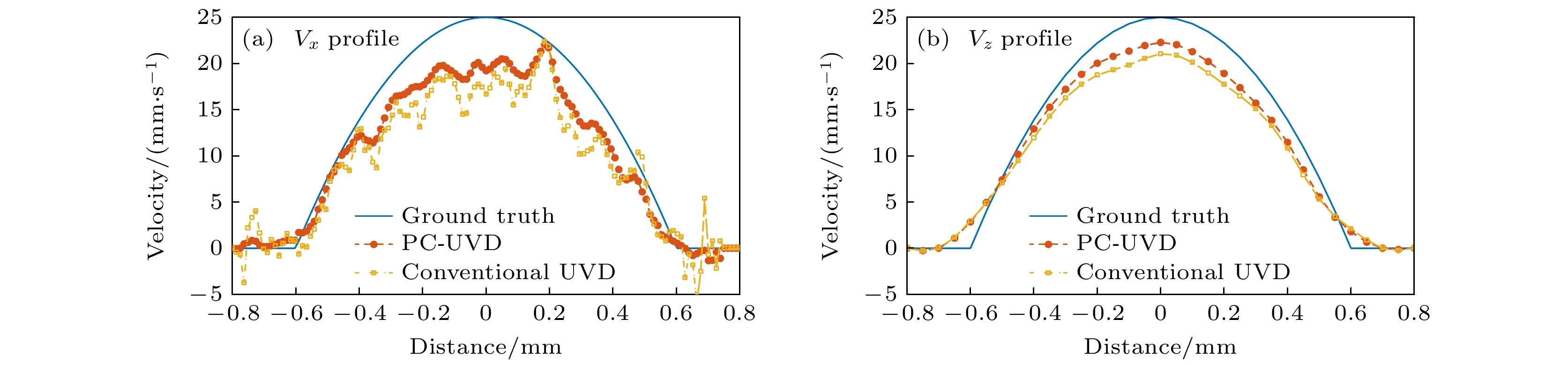
Dynamic and precise measurement of cerebral blood flow velocity plays a critical role in neuroscience and the diagnosis of cerebrovascular diseases. Traditional color Doppler ultrasound can only measure the velocity component along the ultrasound beam, thus limiting its ability to accurately capture the full blood flow vector in complex environments. To break through these limitations, we propose an ultrafast pulse-coded vector Doppler (PC-UVD) imaging method, by using Hadamard matrix pulse encoding to enhance velocity estimation accuracy in low signal-to-noise ratio (SNR) conditions. Our study includes spiral flow simulations and in vivo rat brain experiments, which demonstrate significantly improved measurement precision compared with traditional ultrafast vector Doppler (UVD). This novel approach can measure dynamic cerebral blood flow velocity within a single cardiac cycle, presenting insights into cerebrovascular resistivity characteristics. The proposed PC-UVD method encodes plane waves with Hadamard matrices and can increase SNR without sacrificing temporal or spatial resolution. Velocity vectors are then estimated using a weighted least squares (WLS) approach, where iterative residual-based weight optimization enhances robustness to noise and reduces contributions of outliers. The effectiveness of this technique is validated through simulations using a spiral blood flow phantom, indicating a substantial improvement in velocity estimation accuracy, especially in deep imaging regions with significant signal attenuation. In vivo experiments on rat brains further corroborate that the proposed method has higher accuracy than existing UVD approaches, especially for small vessels. Notably, our method can accurately distinguish between arterial flow and venous flow by analyzing pulsatility and resistivity within the cerebral vascular network. This work demonstrates the potential of PC-UVD in complex vascular imaging, providing high SNR, high temporal and spatial resolution, and accurate vectorized flow measurements. Our results highlight its ability to non-invasively evaluate hemodynamic parameters and its potential application in the diagnosis of cerebrovascular diseases, particularly in small vessels.
2025, 74(1): 014501.
doi: 10.7498/aps.74.20241206
Abstract:
The calculation of inter-granule contact force in three-dimensional (3D) granular systems is a key and challenging aspect of granular mechanics research. Two elastic rubber balls are used as research objects for in-situ flat pressing micro-CT experiments. Based on the Hertzian contact theory and Tatara large deformation contact theory, the contact model of elastic balls is verified, and the theoretical formula of the contact force of elastic balls based on the experiment is obtained. Taking the 3D granular systems as research object, in-situ probe loading experiment of micro-CT is carried out to obtain the 2D image sequence of the granules, after a series of digital transformations, the digital body images emerge, the contact force networks of the 3D granular systems under different loading conditions are obtained by constructing pore network models. The contact force distribution and evolution law of the granular systems are analyzed. The relation among the number of strong contacts, the distribution evolution, and the stability of the granular system is explored. The results show that the two elastic ball contact model conforms to the Hertzian contact theory and Tatara large deformation contact theory, and the contact force fitting formula based on experiment can characterize the contact force between two granules reasonably and effectively. The contact force of granules under probe loading is distributed in a net-like pattern starting from the contact point of the indenter and gradually transmitted to the lower and the surrounding area. The trend of average contact force is consistent with the trend of the contact times, showing a significant phase transition. With the increase of contact times, the frequency of particle compression increases, resulting in a greater contact force between granules, ultimately stabilizing at about 10.5 N. The number of strong contacts accounts for 45% to 50% of the total number of contacts, distributed throughout the whole granular system and supporting the network structure of the granular system. The larger values are concentrated below the indenter and exhibit a branching distribution. In the loading process, an equilibrium point is established at z = 14 mm, where the number of strong contacts reaches the peak. The network structure of strong contact force is spread throughout the entire 3D granular system, establishing the main skeleton that can withstand external loads. As the loading continues, the total value of strong contact forces increases, and their distribution within the granular system becomes more uniform.
The calculation of inter-granule contact force in three-dimensional (3D) granular systems is a key and challenging aspect of granular mechanics research. Two elastic rubber balls are used as research objects for in-situ flat pressing micro-CT experiments. Based on the Hertzian contact theory and Tatara large deformation contact theory, the contact model of elastic balls is verified, and the theoretical formula of the contact force of elastic balls based on the experiment is obtained. Taking the 3D granular systems as research object, in-situ probe loading experiment of micro-CT is carried out to obtain the 2D image sequence of the granules, after a series of digital transformations, the digital body images emerge, the contact force networks of the 3D granular systems under different loading conditions are obtained by constructing pore network models. The contact force distribution and evolution law of the granular systems are analyzed. The relation among the number of strong contacts, the distribution evolution, and the stability of the granular system is explored. The results show that the two elastic ball contact model conforms to the Hertzian contact theory and Tatara large deformation contact theory, and the contact force fitting formula based on experiment can characterize the contact force between two granules reasonably and effectively. The contact force of granules under probe loading is distributed in a net-like pattern starting from the contact point of the indenter and gradually transmitted to the lower and the surrounding area. The trend of average contact force is consistent with the trend of the contact times, showing a significant phase transition. With the increase of contact times, the frequency of particle compression increases, resulting in a greater contact force between granules, ultimately stabilizing at about 10.5 N. The number of strong contacts accounts for 45% to 50% of the total number of contacts, distributed throughout the whole granular system and supporting the network structure of the granular system. The larger values are concentrated below the indenter and exhibit a branching distribution. In the loading process, an equilibrium point is established at z = 14 mm, where the number of strong contacts reaches the peak. The network structure of strong contact force is spread throughout the entire 3D granular system, establishing the main skeleton that can withstand external loads. As the loading continues, the total value of strong contact forces increases, and their distribution within the granular system becomes more uniform.
2025, 74(1): 014205.
doi: 10.7498/aps.74.20241476
Abstract:
Ultrafast fiber laser sources with mJ-level pulse energy and kilo-watt average power are of particular importance for various science fields such as attosecond lasers. Currently, several large-scale facilities for attosecond lasers, including ELI-ALPS in Europe, SECUF in China, NeXUS in America and ALFA in Japan are under construction. High-performance femtosecond driven lasers are crucial for attosecond lasers and various ultrafast laser facilities. Fiber lasers have a large surface-to-volume ratio, which enables efficient cooling and is suitable for high average power amplification. However, due to small mode area of optical fibers, detrimental nonlinear optical effects such as self-phase modulation, four-wave mixing, and stimulated Raman scattering limit the peak power of pulse to hundreds of MW, corresponding to pulse energy of hundreds of μJ for femtosecond pulses in large mode area rod-type fibers. In addition, the average power of fiber lasers is limited by transverse mode instability, which reduces the stability and quality of beams above a certain threshold. In rod-type fibers, the threshold is about 250 W. Neither average power nor pulse energy emitted by single fiber meets the requirement for attosecond laser generation. The average power and pulse energy can be further scaled by coherent beam combination, which involves splitting pulses caused by an frontend laser and recombining them after amplification. It is essential for coherent beam combination to maintain the coherence of pulse replicas, which usually involves high speed photodiode detectors, piezo-driven mirrors, and other electronics forming a feedback system to actively control the phase of all replicas. We present a high-energy high-power ultrafast fiber laser system by using filled-aperture coherent combination of four ytterbium-doped rod-type fiber amplifiers. The phase control is achieved by using stochastic parallel gradient descent method. The frontend includes a passively mode-locked Yb-fiber oscillator, a stretcher, a pulse picker, and three fiber pre-amplifiers, which delivers 1 MHz stretched pulses centered at 1032 nm with 700 ps duration and 20 W average power. The pulse is split into four replicas by polarization beam-splitter and half-wave plate pairs, and the replicas pass through delay lines formed by piezo-driven mirrors before amplification. The pulse replicas are equally split and amplified to ensure the same accumulated nonlinear phase, and are combined by thin film polarizer and half-wave plate pairs. A small portion of the combined pulse is split and collected by a photodiode detector after being filtered spectrally and spatially, serving as a signal for controlling phase. The combined pulse is compressed by a compressor using a double-pass diffraction grating pair consisting of two 1739 l/mm gratings. At a repetition rate of 1 MHz, our four-channel Yb-fiber coherent beam combination system generates a combined average power value of 753 W and a combination efficiency of 87%. By utilizing an adjustable pulse stretcher and compressor, a 0.67 mJ, 242 fs near transform-limited pulse can be generated with a compressing efficiency of 89%. The compressed pulse is centered at 1032 nm, and the spectrum width is 8.8-nm. In the 30 min measurement, the root-mean-square of average power is less than 1% , while the residual phase error is less than λ/23, indicating excellent stability on different time scales. The beam quality factor of the 0.67 mJ compressed pulses is 1.17×1.11. At 500 kHz, we obtain pulses of 1.07 mJ and 247 fs with average power of 534 W, exhibiting similar efficiency, long-term stability, and beam quality. The residual phase error decreases below λ/29, indicating better short-term stability. Further scaling power and energy can be achieved by increasing the number of channels. By adding the delay stabilization system and pointing stabilization system, which are currently under development, an eight-channel CBC system can be used to generate 1 kW, 2 mJ pulses. In this work, we implement a four-channel coherent beam combining system based on the SPGD method, and obtain compressed pulses of 673 W, 673 µJ, and 242 fs at 1 MHz and 534 W, 1.07 mJ, and 247 fs at 500 kHz. Both power and energy can be further improved by increasing the channel number, and adding the delay stabilization system and pointing stabilization system which are under construction. By adding coherent pulse stacking amplification technology, the coherent beam combining system ought to generate pulse energy as high as 100 mJ, which constitutes the energy source for applications such as laser wake-field acceleration.
2025, 74(1): 015201.
doi: 10.7498/aps.74.20241118
Abstract:
Microwave plasma thruster (MPT) is a kind of electrothermal thruster. Inside its cylindrical cavity, the plasma process, microwave electric field distribution, and TM011 mode resonant state are important factors affecting the performance of MPT seriously. According to previous MPT formed through continuous regulation in the resonant sate of cylindrical cavity, the research is needed on a newly fixed and simple MPT, which will simplify the resonant state regulation and lays an important foundation for further study. Therefore the plasma process is analyzed to find the optimal gas discharge condition, and the microwave electric field intensity and power density distribution inside the cavity running in TM011 resonant sate are calculated to analyse how the parameters are influenced by the cavity dimensions. The resonant state is finely regulated to study how it is influenced by the dimensions of cylindrical cavity and microwave coupling probe with ball and half ball structure. The results of theoretical analysis and calculation show that the discharge power of helium gas is the lowest under the condition of 489 Pa and when the ratio of length to diameter is greater than 1, the microwave electric density distribution inside the cavity is beneficial. Owing to the appropriate length and radius of microwave coupling ball probe, the experiment on resonant state regulation shows that the shortest cylinder cavity is in the optimal resonant sate, with a resonance frequency very close to 2.45 GHz. The helium discharge experiment proves that the cavity and matching ball probe enable high microwave utilization and easy helium gas discharge, and the structure scheme is correct and reliable.
Microwave plasma thruster (MPT) is a kind of electrothermal thruster. Inside its cylindrical cavity, the plasma process, microwave electric field distribution, and TM011 mode resonant state are important factors affecting the performance of MPT seriously. According to previous MPT formed through continuous regulation in the resonant sate of cylindrical cavity, the research is needed on a newly fixed and simple MPT, which will simplify the resonant state regulation and lays an important foundation for further study. Therefore the plasma process is analyzed to find the optimal gas discharge condition, and the microwave electric field intensity and power density distribution inside the cavity running in TM011 resonant sate are calculated to analyse how the parameters are influenced by the cavity dimensions. The resonant state is finely regulated to study how it is influenced by the dimensions of cylindrical cavity and microwave coupling probe with ball and half ball structure. The results of theoretical analysis and calculation show that the discharge power of helium gas is the lowest under the condition of 489 Pa and when the ratio of length to diameter is greater than 1, the microwave electric density distribution inside the cavity is beneficial. Owing to the appropriate length and radius of microwave coupling ball probe, the experiment on resonant state regulation shows that the shortest cylinder cavity is in the optimal resonant sate, with a resonance frequency very close to 2.45 GHz. The helium discharge experiment proves that the cavity and matching ball probe enable high microwave utilization and easy helium gas discharge, and the structure scheme is correct and reliable.
2025, 74(1): 017501.
doi: 10.7498/aps.74.20240662
Abstract:
Selective laser melting (SLM) has potential to prepare complex shaped amorphous alloy parts, however, the almost inevitable crystallization makes it very difficult to obtain excellent performance parts. Most of previous studies focus on improving properties by optimizing parameters such as laser power, scanning speed, and scanning strategy. As is well known, the substrate is an important component in SLM devices, which directly supports and contacts the initial powder and melting pool, affecting the absorption and transfer of heat, the formation and cooling of the melting pool, and therefore exerts a significant influence on the quality and microstructure of printed parts. However, there is relatively little research on its influence. It is important and necessary to understand the influence of substrate temperature on crystallization behavior of Fe-based amorphous alloy during SLM process. Molecular dynamics (MD) simulations can provide direct evidence for the evolution of clusters and band pairs, which can help clarify the crystallization mechanism and alleviate the crystallization. In this work, the influence of substrate temperature on the crystallization and evolution of atomic clusters in Fe50Cu25Ni25 amorphous alloy during SLM is investigated on an atomic scale, using MD simulation under different substrate temperatures (300–900 K), laser power values (500–800 eV/ps), and scanning speeds (0.1–1.0 nm/ps). The research results show that when the substrate temperature is lower than 750 K, the content of characteristic bond pair 1421 and the corresponding\begin{document}$ \left\langle{0,{\mathrm{ }}4,{\mathrm{ }}4,{\mathrm{ }}6}\right\rangle $\end{document} cluster increase with the substrate temperature rising, thereby increasing face-centered cubic bond pair and cluster and promoting the crystallization. When the substrate temperature rises to a value close to the glass transition temperature, the evolution of bond pairs and clusters becomes complex, which is influenced by the collaborative and competitive effects, such as the ability to form glass, melting and cooling rate. This work reveals the evolution of atomic clusters and band pairs in the SLM process of Fe-based amorphous alloys, and the initiation of crystal phases at different substrate temperatures, providing new ideas for understanding and regulating crystallization.
Selective laser melting (SLM) has potential to prepare complex shaped amorphous alloy parts, however, the almost inevitable crystallization makes it very difficult to obtain excellent performance parts. Most of previous studies focus on improving properties by optimizing parameters such as laser power, scanning speed, and scanning strategy. As is well known, the substrate is an important component in SLM devices, which directly supports and contacts the initial powder and melting pool, affecting the absorption and transfer of heat, the formation and cooling of the melting pool, and therefore exerts a significant influence on the quality and microstructure of printed parts. However, there is relatively little research on its influence. It is important and necessary to understand the influence of substrate temperature on crystallization behavior of Fe-based amorphous alloy during SLM process. Molecular dynamics (MD) simulations can provide direct evidence for the evolution of clusters and band pairs, which can help clarify the crystallization mechanism and alleviate the crystallization. In this work, the influence of substrate temperature on the crystallization and evolution of atomic clusters in Fe50Cu25Ni25 amorphous alloy during SLM is investigated on an atomic scale, using MD simulation under different substrate temperatures (300–900 K), laser power values (500–800 eV/ps), and scanning speeds (0.1–1.0 nm/ps). The research results show that when the substrate temperature is lower than 750 K, the content of characteristic bond pair 1421 and the corresponding
2025, 74(1): 017701.
doi: 10.7498/aps.74.20241447
Abstract:
Thermochromic phase change insulating composite can possess a series of advanced functions under electrothermal stimuli, which has been widely applied in a great number of intelligent electrical and electronic devices. However, due to the confined structure of thermochromic phase change insulating composite, the trap characteristics cannot be analyzed by existing interface models of nanodielectrics, which inhibits the scientific improvement of dielectric reliability under the electrothermal stress. In this paper, the trap characteristic and mechanism of thermochromic phase change epoxy composites are studied by the isothermal surface potential decay (ISPD) and the Kelvin probe force microscopy (KPFM). The results show that the variation trends of trap characteristics after introducing confined structures at 30 ℃ and 70 ℃ are opposite, which could derive from the confined phase change or the confined interface. Theoretical analysis shows that the influence of confined phase change on temperature dependent trap characteristics is inconsistent with experimental results, which cannot be the essential reason for affecting the trap characteristics. KPFM in-situ characterization directly verifies the existence of potential barriers in the confined interface, which originates from the contact electrification mechanism. The variation of temperature dependent charge quantity due to contact electrification at the confined interface can affect the barrier height, which can substantially affect the temperature dependent trap characteristics.
Thermochromic phase change insulating composite can possess a series of advanced functions under electrothermal stimuli, which has been widely applied in a great number of intelligent electrical and electronic devices. However, due to the confined structure of thermochromic phase change insulating composite, the trap characteristics cannot be analyzed by existing interface models of nanodielectrics, which inhibits the scientific improvement of dielectric reliability under the electrothermal stress. In this paper, the trap characteristic and mechanism of thermochromic phase change epoxy composites are studied by the isothermal surface potential decay (ISPD) and the Kelvin probe force microscopy (KPFM). The results show that the variation trends of trap characteristics after introducing confined structures at 30 ℃ and 70 ℃ are opposite, which could derive from the confined phase change or the confined interface. Theoretical analysis shows that the influence of confined phase change on temperature dependent trap characteristics is inconsistent with experimental results, which cannot be the essential reason for affecting the trap characteristics. KPFM in-situ characterization directly verifies the existence of potential barriers in the confined interface, which originates from the contact electrification mechanism. The variation of temperature dependent charge quantity due to contact electrification at the confined interface can affect the barrier height, which can substantially affect the temperature dependent trap characteristics.
2025, 74(1): 017702.
doi: 10.7498/aps.74.20240833
Abstract:
Sodium niobate-based dielectric energy storage materials, as key components in capacitors, have the advantages such as low relative density, lead-free, low cost, and excellent energy storage density, and can meet the important requirements of electronic components for miniaturization, harmlessness, integration and light weight. Therefore, they have received extensive attention from the scientific community in recent years. In this work, by introducing both Bi(Mg0.5Sn0.5)O3 and (Bi0.5Na0.5)0.7Sr0.3TiO3 components into NaNbO3 ceramics, a conventional solid-phase sintering method is used to prepare (1–x)[0.93NaNbO3-0.07Bi(Mg0.5Sn0.5)O3]-x(Bi0.5Na0.5)0.7Sr0.3TiO3 (Abbreviated as (1–x)(NN-BMS)-xBNST, 0 ≤ x ≤ 0.3) relaxation ferroelectric ceramics, and the ceramics are characterized by using X-ray diffraction, scanning electron microscopy, UV spectroscopy and Raman spectroscopy so as to study the effects of (Bi0.5Na0.5)0.7Sr0.3TiO3 doping on the physical phase composition, microstructure, and electrical properties of NaNbO3 ceramics, such as dielectric and energy storage. The (1–x)(NN-BMS)-xBNST ceramics exhibit a single perovskite structure, with cell volume a first increasing and then decreasing. The coexistence of Pbma and Pnma phases (1–x)(NN-BMS)-xBNST ceramics exhibits a dense microstructure and clear grain boundaries at an optimal sintering temperature. The average grain size first increases to 4.73 μm, then decreases to 2.17 μm, and finally increases to 3.06 μm. A smaller grain size and a larger bandgap width are beneficial for improving the breakdown strength. The 0.75(NN-BMS)-0.25BNST ceramic shows the excellent dielectric temperature stability (25–160 ℃, Δε/ε25 ℃ ≤ ±15%) and dielectric frequency stability, which can meet the EIAZ8U standard and hence work in a special environment (high temperature and high frequency). Meanwhile, 0.75(NN-BMS)-0.25BNST ceramic exhibits excellent energy storage performance at high field strength (390 kV/cm): recoverable energy density Wrec = 2.73 J/cm3, energy storage efficiency η = 82.6%, and high temperature stability in a temperature range of 20–100 ℃. The research results indicate that 0.75(NN-BMS)-0.25BNST ceramics have broad prospects of applications in lead-free dielectric energy storage capacitors.
Sodium niobate-based dielectric energy storage materials, as key components in capacitors, have the advantages such as low relative density, lead-free, low cost, and excellent energy storage density, and can meet the important requirements of electronic components for miniaturization, harmlessness, integration and light weight. Therefore, they have received extensive attention from the scientific community in recent years. In this work, by introducing both Bi(Mg0.5Sn0.5)O3 and (Bi0.5Na0.5)0.7Sr0.3TiO3 components into NaNbO3 ceramics, a conventional solid-phase sintering method is used to prepare (1–x)[0.93NaNbO3-0.07Bi(Mg0.5Sn0.5)O3]-x(Bi0.5Na0.5)0.7Sr0.3TiO3 (Abbreviated as (1–x)(NN-BMS)-xBNST, 0 ≤ x ≤ 0.3) relaxation ferroelectric ceramics, and the ceramics are characterized by using X-ray diffraction, scanning electron microscopy, UV spectroscopy and Raman spectroscopy so as to study the effects of (Bi0.5Na0.5)0.7Sr0.3TiO3 doping on the physical phase composition, microstructure, and electrical properties of NaNbO3 ceramics, such as dielectric and energy storage. The (1–x)(NN-BMS)-xBNST ceramics exhibit a single perovskite structure, with cell volume a first increasing and then decreasing. The coexistence of Pbma and Pnma phases (1–x)(NN-BMS)-xBNST ceramics exhibits a dense microstructure and clear grain boundaries at an optimal sintering temperature. The average grain size first increases to 4.73 μm, then decreases to 2.17 μm, and finally increases to 3.06 μm. A smaller grain size and a larger bandgap width are beneficial for improving the breakdown strength. The 0.75(NN-BMS)-0.25BNST ceramic shows the excellent dielectric temperature stability (25–160 ℃, Δε/ε25 ℃ ≤ ±15%) and dielectric frequency stability, which can meet the EIAZ8U standard and hence work in a special environment (high temperature and high frequency). Meanwhile, 0.75(NN-BMS)-0.25BNST ceramic exhibits excellent energy storage performance at high field strength (390 kV/cm): recoverable energy density Wrec = 2.73 J/cm3, energy storage efficiency η = 82.6%, and high temperature stability in a temperature range of 20–100 ℃. The research results indicate that 0.75(NN-BMS)-0.25BNST ceramics have broad prospects of applications in lead-free dielectric energy storage capacitors.
2025, 74(1): 018401.
doi: 10.7498/aps.74.20241494
Abstract:
To solve the problem of small frequency turning ratio of the frequency-reconfigurable antenna operating in the millimeter-wave band, a millimeter-wave dual-band frequency-reconfigurable filtering antenna is proposed in this work. The proposed filtering antenna consists of a reconfigurable bandpass filter and an ultra-wideband double layer Vivaldi antenna. The reconfigurable bandpass filter is comprised of several components, including parallel coupled lines, stepped impedance resonator (SIR), PIN diodes, U-shaped branches, and bias network. The reconfigurable filter is integrated in the feedline of the Vivaldi antenna, which provides a simple structure and possesses flexibility for further expansion. The reconfigurable characteristic is realized by controlling the electrical length of the open circuit stepped impedance resonator through two PIN diodes, which not only acts as a switch but also affects the impedance matching within the millimeter wave band. Firstly, the equivalent circuit model of the SIR loaded with PIN diode and bias network is analyzed and simulated to achieve dual-band reconfigurability in the Ka-band. The bias network consists of fan-shaped branches and high-impedance microstrip lines, which suppresses the flow of RF signals. Two notches are introduced by the two U-shaped branches, which are arranged beside the parallel coupling line without affecting the performance of the reconfigurable filter. The realized two notches are located in the non-operating frequency band between the two reconfigurable bands, which enhances the out-of band performances of the reconfigurable filter. Then, to suppress the unnecessary coupling effect and concentrate the energy on the feedline of the Vivaldi antenna, some metallized vias are loaded on the two sides of the feedline. Finally, a metal cavity is introduced to isolate the radiation from filtering components, and some metal columns are loaded inside the cavity for improving the self-resonance of the metal cavity, which effectively improves the cross-polarization level of the filtering antenna. The measured results show that the proposed antenna operates in a range from 25.9 to 28.6 GHz with a maximum gain of 8.83 dBi when the PIN diodes are in the on state, and in a range from 32.6 to 35.9 GHz with a maximum gain of 9.97 dBi when the PIN diodes are in the off state. The center frequency ratio between two reconfigurable frequency bands reaches 1∶1.26, and the cross-polarization levels are all less than –20 dB in both operating bands.
To solve the problem of small frequency turning ratio of the frequency-reconfigurable antenna operating in the millimeter-wave band, a millimeter-wave dual-band frequency-reconfigurable filtering antenna is proposed in this work. The proposed filtering antenna consists of a reconfigurable bandpass filter and an ultra-wideband double layer Vivaldi antenna. The reconfigurable bandpass filter is comprised of several components, including parallel coupled lines, stepped impedance resonator (SIR), PIN diodes, U-shaped branches, and bias network. The reconfigurable filter is integrated in the feedline of the Vivaldi antenna, which provides a simple structure and possesses flexibility for further expansion. The reconfigurable characteristic is realized by controlling the electrical length of the open circuit stepped impedance resonator through two PIN diodes, which not only acts as a switch but also affects the impedance matching within the millimeter wave band. Firstly, the equivalent circuit model of the SIR loaded with PIN diode and bias network is analyzed and simulated to achieve dual-band reconfigurability in the Ka-band. The bias network consists of fan-shaped branches and high-impedance microstrip lines, which suppresses the flow of RF signals. Two notches are introduced by the two U-shaped branches, which are arranged beside the parallel coupling line without affecting the performance of the reconfigurable filter. The realized two notches are located in the non-operating frequency band between the two reconfigurable bands, which enhances the out-of band performances of the reconfigurable filter. Then, to suppress the unnecessary coupling effect and concentrate the energy on the feedline of the Vivaldi antenna, some metallized vias are loaded on the two sides of the feedline. Finally, a metal cavity is introduced to isolate the radiation from filtering components, and some metal columns are loaded inside the cavity for improving the self-resonance of the metal cavity, which effectively improves the cross-polarization level of the filtering antenna. The measured results show that the proposed antenna operates in a range from 25.9 to 28.6 GHz with a maximum gain of 8.83 dBi when the PIN diodes are in the on state, and in a range from 32.6 to 35.9 GHz with a maximum gain of 9.97 dBi when the PIN diodes are in the off state. The center frequency ratio between two reconfigurable frequency bands reaches 1∶1.26, and the cross-polarization levels are all less than –20 dB in both operating bands.
2025, 74(1): 018402.
doi: 10.7498/aps.74.20241297
Abstract:
Superconducting rotor has great potential applications in the field of precision measurement due to its unique physical properties. The superconducting rotor magnetic levitation device can be used to fabricate high-precision angular velocity sensors. Under the action of external interference torque, the pole-axis deviation from the initial position is the cause of the superconducting rotor pole-axis drift error, in which the spherical surface error and the earth’s rotation belong to the main sources of error, and compensating for the pole-axis drift speed caused by the spherical surface error of the superconducting rotor is a key step in realizing the high-precision superconducting rotor magnetic levitation device. Based on this, the factors affecting the spherical surface error of a complete spherical superconducting rotor and the rotation of the earth on the pole-axis offset characteristics of a superconducting rotor are investigated. First, the magnetic support structure of the superconducting rotor is modeled based on the vector magnetic potential equation, the magnetic field strength distribution on the surface of the superconducting rotor in the ideal state (i.e. suspended in the center of the spherical cavity) is analyzed, and the magnetic support force characteristics are investigated. Then the magnetic support interference moment of the superconducting rotor caused by the spherical surface error is analyzed, and a superconducting rotor dynamics model is established based on the superconducting rotor dynamics equations, and the distribution law of the superconducting rotor pole-axis drift error under different rotor structural parameters is given. Finally, the influence of the earth’s rotation on the superconducting rotor drift test is investigated. The results provide a reference for subsequently improving rotor drift accuracy, optimizing rotor structure design and improving drift test methods.
Superconducting rotor has great potential applications in the field of precision measurement due to its unique physical properties. The superconducting rotor magnetic levitation device can be used to fabricate high-precision angular velocity sensors. Under the action of external interference torque, the pole-axis deviation from the initial position is the cause of the superconducting rotor pole-axis drift error, in which the spherical surface error and the earth’s rotation belong to the main sources of error, and compensating for the pole-axis drift speed caused by the spherical surface error of the superconducting rotor is a key step in realizing the high-precision superconducting rotor magnetic levitation device. Based on this, the factors affecting the spherical surface error of a complete spherical superconducting rotor and the rotation of the earth on the pole-axis offset characteristics of a superconducting rotor are investigated. First, the magnetic support structure of the superconducting rotor is modeled based on the vector magnetic potential equation, the magnetic field strength distribution on the surface of the superconducting rotor in the ideal state (i.e. suspended in the center of the spherical cavity) is analyzed, and the magnetic support force characteristics are investigated. Then the magnetic support interference moment of the superconducting rotor caused by the spherical surface error is analyzed, and a superconducting rotor dynamics model is established based on the superconducting rotor dynamics equations, and the distribution law of the superconducting rotor pole-axis drift error under different rotor structural parameters is given. Finally, the influence of the earth’s rotation on the superconducting rotor drift test is investigated. The results provide a reference for subsequently improving rotor drift accuracy, optimizing rotor structure design and improving drift test methods.








