-
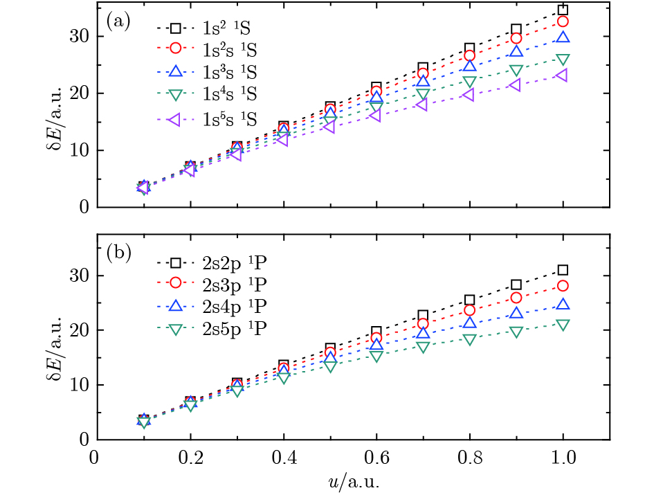
A systematical knowledge of the atomic properties in plasma is of great interest for various research areas, such as the explanation of the X-ray radiation from universe, plasma diagnostics, extreme ultraviolet (EUV) and X-ray sources and so on. Among these researches, the detailed information about how the plasma influences the atomic energy level and transition spectrum are crucial for understanding the X-ray emission mechanism and the state of plasma. An analytic calculation method of treating the non-relativistic energy and its relativistic corrections for the multi-electron atoms embedded in weakly coupled plasma is developed based on the Rayleigh-Ritz variation method. The systematical investigations are performed for the ground state 1s 2 1S, single excited states 1sns 1,2S ( n= 2−5), 1s np 1,3P ( n= 2−5) and double excited state 2s2p 1P of Ar 16+ion in weak coupled plasma. The analytic formulas for calculating the non-relativistic energy and its relativistic correction energy are derived, which include mass correction, one and two-body Darwin correction, spin-spin contact interaction and orbit-orbit interaction. All the angular integration spin sums involved in the problem are worked out explicitly by using the irreducible theory. The influence of plasma on non-relativistic energy and relativistic correction energy are discussed. The results show that the mass correction and the one-body Darwin correction are the main ones among the terms of relativistic correction, and are three orders of magnitude greater than the other relativistic terms. The plasma shielding effect mainly affects the non-relativistic energy, and has little effect on the relativistic correction. At the same time, it has a more significant selectivity for the electronic configuration. Further research shows that the influence of plasma on the energy of the outer shell electron is greater than that of the inner shell electron. With the increase of the plasma shielding parameters, the outer shell electron extends outward, and the higher the excited state, the greater the degree of extension is. This work should be useful for astrophysical applications where such a plasma environment exists.
-
Keywords:
- plasma/
- energy level/
- relativistic correction
[1] [2] [3] [4] [5] [6] [7] [8] [9] [10] [11] [12] [13] [14] [15] [16] [17] [18] [19] [20] [21] [22] [23] [24] [25] [26] -
u ${\alpha _{1{\rm{s}}}}$ ENR EMC ED1 ΔERS ET Ref.[20] Ref.[25,26] 0 5.6875 −32.3477 −0.0696508 0.0587822 −0.01087 −32.35857 −32.4176 −32.3612 0.1 5.68614 −31.1633 −0.0695843 0.0587401 −0.01084 −31.17414 −31.2324 −31.177 0.2 5.68218 −30.0095 −0.0693905 0.0586174 −0.01077 −30.02027 −30.079 −30.0237 0.3 5.67577 −28.8854 −0.0690781 0.0584193 −0.01066 −28.89606 −28.9557 — 0.4 5.66706 −27.7899 −0.0686549 0.0581507 −0.01050 −27.80040 −27.8614 — 0.5 5.65616 −26.7223 −0.0681282 0.0578158 −0.01031 −26.73261 −26.7963 −26.7395 0.6 5.64318 −25.6817 −0.067505 0.0574187 −0.01009 −25.69179 −25.7576 — 0.7 5.62821 −24.6674 −0.0667916 0.0569630 −0.00983 −24.67723 −24.7457 — 0.8 5.61134 −23.6788 −0.0659942 0.0564522 −0.00954 −23.68834 −23.7006 −23.7594 0.9 5.59263 −22.7151 −0.0651186 0.0558895 −0.00923 −22.72433 −22.7986 — 1.0 5.57215 −21.7758 −0.0641701 0.0552778 −0.00889 −21.78469 −21.8629 — 2S+1 n 1sns2S+1S 1snp2S+1P 2snp2S+1P ${\alpha _{1{\rm{s}}}}$ ${\alpha _{n{\rm{s}}}}$ ENR ${\alpha _{1{\rm{s}}}}$ ${\alpha _{n{\rm{p}}}}$ ENR ${\alpha _{2{\rm{s}}}}$ ${\alpha _{n{\rm{p}}}}$ ENR 1 1 17.6875 — −312.848 — — — — — — 2 17.9324 17.3433 −198.384 18.0107 16.9176 −197.969 17.4113 17.8229 −77.601 3 17.9815 17.2194 −178.14 18.0008 16.9725 −178.018 17.9428 17.2934 −56.8575 4 17.9924 17.1623 −171.068 18.0001 16.9852 −171.017 17.9766 17.2143 −49.655 5 17.9961 17.129 −167.799 18 16.9901 −167.773 17.9882 17.1692 −46.3425 3 2 18.0137 17.1931 −199.196 17.9577 17.266 −198.504 — — — 3 18.0031 17.1286 −178.355 17.99 17.1509 −178.162 — — — 4 18.0012 17.0962 −171.155 17.9961 17.1079 −171.076 — — — 5 18.0006 17.0768 −167.843 17.9981 17.0845 −167.803 — — — u ${\alpha _{1{\rm{s}}}}$ ENR EMC ED1 ΔERS ET 0 17.6875 −312.848 −6.51488 5.30399 −1.21089 −314.05889 0.1 17.6871 −309.263 −6.51425 5.30360 −1.21065 −310.47365 0.2 17.6858 −305.708 −6.51238 5.30246 −1.20992 −306.91792 0.3 17.6837 −302.184 −6.50929 5.30057 −1.20872 −303.39272 0.4 17.6808 −298.688 −6.50501 5.29796 −1.20705 −299.89505 0.5 17.6771 −295.222 −6.49957 5.29463 −1.20494 −296.42694 0.6 17.6726 −291.785 −6.49299 5.29061 −1.20238 −292.98738 0.7 17.6674 −288.377 −6.48530 5.28591 −1.19939 −289.57639 0.8 17.6614 −284.997 −6.47652 5.28055 −1.19597 −286.19297 0.9 17.6547 −281.645 −6.46668 5.27453 −1.19215 −282.83715 1.0 17.6473 −278.32 −6.45580 5.26787 −1.18793 −279.50793 u ${\alpha _{2{\rm{s}}}}$ ${\alpha _{2{\rm{p}}}}$ ENR EMC ED1 ED2 ESSC EOO ΔERS ET 0 17.4113 17.8229 −77.6010 −0.59499 0.31621 −8.39310 × 10−4 1.67862 × 10−3 −0.0006009 −0.27854 −77.87954 0.1 17.4043 17.8174 −74.0566 −0.59406 0.31583 −8.38360 × 10−4 1.67672 × 10−3 −6.00393 × 10−4 −0.27800 −74.33460 0.2 17.3839 17.8014 −70.6207 −0.59139 0.31472 −8.35602 × 10−4 1.67120 × 10−3 −5.98927 × 10−4 −0.27644 −70.89714 0.3 17.351 17.7755 −67.2898 −0.58711 0.31294 −8.31163 × 10−4 1.66233 × 10−3 −5.96551 × 10−4 −0.27393 −67.56373 0.4 17.3064 17.7402 −64.0605 −0.58132 0.31053 −8.25157 × 10−4 1.65031 × 10−3 −5.93313 × 10−4 −0.27055 −64.33105 0.5 17.2508 17.6959 −60.9298 −0.57415 0.30754 −8.17686 × 10−4 1.63537 × 10−3 −5.89259 × 10−4 −0.26637 −61.19617 0.6 17.1845 17.6429 −57.8948 −0.56569 0.30401 −8.08845 × 10−4 1.61769 × 10−3 −5.84432 × 10−4 −0.26146 −58.15626 0.7 17.1081 17.5816 −54.9531 −0.55606 0.29998 −7.98720 × 10−4 1.59744 × 10−3 −5.78871 × 10−4 −0.25586 −55.20896 0.8 17.0219 17.5122 −52.1022 −0.54534 0.29546 −7.87391 × 10−4 1.57478 × 10−3 −5.72611 × 10−4 −0.24966 −52.35186 0.9 16.9262 17.4349 −49.3398 −0.53361 0.29051 −7.74933 × 10−4 1.54987 × 10−3 −5.65688 × 10−4 −0.24289 −49.58269 1.0 16.8213 17.3499 −46.6639 −0.52098 0.28514 −7.61414 × 10−4 1.52283 × 10−3 −5.58134 × 10−4 −0.23563 −46.89953 u ${\alpha _{1{\rm{s}}}}$ ${\alpha _{2{\rm{s}}}}$ ENR EMC ED1 ED2 ESSC ΔERS ET 0 17.9324 17.3433 −198.384 −3.93094 3.07620 −7.249983 × 10−3 1.450003 × 10−2 −0.84749 −199.23149 0.1 17.9319 17.3364 −194.822 −3.92982 3.07562 −7.245793 × 10−3 1.44916 × 10−2 −0.84695 −195.66895 0.2 17.9306 17.3164 −191.335 −3.92657 3.07394 −7.233613 × 10−3 1.44672 × 10−2 −0.84540 −192.18040 0.3 17.9285 17.284 −187.921 −3.92130 3.07121 −7.213953 × 10−3 1.44279 × 10−2 −0.84288 −188.76388 0.4 17.9256 17.2401 −184.577 −3.91415 3.06749 −7.187233 × 10−3 1.43745 × 10−2 −0.83947 −185.41647 0.5 17.9218 17.1852 −181.301 −3.90522 3.06284 −7.153833 × 10−3 1.43077 × 10−2 −0.83523 −182.13623 0.6 17.9173 17.1198 −178.092 −3.89462 3.05729 −7.114063 × 10−3 1.42281 × 10−2 −0.83022 −178.92222 0.7 17.912 17.0445 −174.947 −3.88245 3.05090 −7.068203 × 10−3 1.41364 × 10−2 −0.82448 −175.77148 0.8 17.906 16.9594 −171.866 −3.86880 3.04371 −7.016463 × 10−3 1.40329 × 10−2 −0.81807 −172.68407 0.9 17.8992 16.865 −168.847 −3.85377 3.03575 −6.959053 × 10−3 1.39181 × 10−2 −0.81106 −169.65806 1.0 17.8918 16.7615 −165.889 −3.83745 3.02706 −6.896133 × 10−3 1.37923 × 10−2 −0.80349 −166.69249 u ${\alpha _{1{\rm{s}}}}$ ${\alpha _{2{\rm{s}}}}$ ENR EMC ED1 ΔERS ET 0 18.0137 17.1931 −199.196 −3.97703 3.10590 −0.87113 −200.06713 0.1 18.0133 17.1858 −195.635 −3.97594 3.10534 −0.87060 −196.50560 0.2 18.0122 17.1646 −192.149 −3.97276 3.10370 −0.86906 −193.01806 0.3 18.0104 17.1305 −188.735 −3.96761 3.10104 −0.86657 −189.60157 0.4 18.0078 17.0841 −185.392 −3.96062 3.09742 −0.86320 −186.25520 0.5 18.0046 17.0263 −182.119 −3.95189 3.09289 −0.85900 −182.97800 0.6 18.0006 16.9574 −178.912 −3.94152 3.08748 −0.85404 −179.76604 0.7 17.996 16.878 −175.77 −3.92962 3.08124 −0.84838 −176.61838 0.8 17.9907 16.7885 −172.692 −3.91627 3.07421 −0.84206 −173.53406 0.9 17.9847 16.6891 −169.676 −3.90156 3.06643 −0.83513 −170.51113 1.0 17.9781 16.5803 −166.721 −3.88557 3.05792 −0.82765 −167.54865 u ${\alpha _{1{\rm{s}}}}$ ${\alpha _{2{\rm{p}}}}$ ENR EMC ED1 ED2 ESSC EOO ΔERS ET 0 18.0107 16.9176 −197.969 −3.58167 2.80005 −2.073823 × 10−3 4.147643 × 10−3 −0.0064010 −0.78595 −198.75495 0.1 18.0103 16.9115 −194.403 −3.58123 2.79986 −2.071283 × 10−3 4.142563 × 10−3 −6.394563 × 10−3 −0.78569 −195.18869 0.2 18.0091 16.8936 −190.903 −3.57994 2.79929 −2.063883 × 10−3 4.127763 × 10−3 −6.375753 × 10−3 −0.78496 −191.68796 0.3 18.007 16.8646 −187.467 −3.57782 2.79834 −2.051933 × 10−3 4.103873 × 10−3 −6.345353 × 10−3 −0.78377 −188.25077 0.4 18.0042 16.8251 −184.094 −3.57490 2.79703 −2.035733 × 10−3 4.071453 × 10−3 −6.304033 × 10−3 −0.78214 −184.87614 0.5 18.0007 16.7755 −180.783 −3.57121 2.79536 −2.015513 × 10−3 4.031023 × 10−3 −6.252373 × 10−3 −0.78009 −181.56309 0.6 17.9963 16.7162 −177.532 −3.56677 2.79335 −1.991533 × 10−3 3.983063 × 10−3 −6.190923 × 10−3 −0.77762 −178.30962 0.7 17.9913 16.6477 −174.339 −3.56161 2.79099 −1.963993 × 10−3 3.927983 × 10−3 −6.120133 × 10−3 −0.77478 −175.11378 0.8 17.9855 16.57 −171.203 −3.55574 2.78830 −1.933093 × 10−3 3.866193 × 10−3 −6.040453 × 10−3 −0.77155 −171.97455 0.9 17.979 16.4835 −168.124 −3.54919 2.78527 −1.899033 × 10−3 3.798063 × 10−3 −5.952253 × 10−3 −0.76797 −168.89197 1.0 17.9718 16.3883 −165.101 −3.54198 2.78193 −1.861983 × 10−3 3.723953 × 10−3 −5.855883 × 10−3 −0.76404 −165.86504 u ${\alpha _{1{\rm{s}}}}$ ${\alpha _{2{\rm{p}}}}$ ENR EMC ED1 EOO ΔERS ET 0 17.9577 17.266 −198.504 −3.54736 2.77539 6.7643 × 10−3 −0.76521 −199.26921 0.1 17.9573 17.26 −194.937 −3.54694 2.77522 6.75783 × 10−3 −0.76496 −195.70196 0.2 17.9562 17.2424 −191.436 −3.54571 2.77469 6.738923 × 10−3 −0.76428 −192.20028 0.3 17.9543 17.2138 −187.998 −3.54369 2.77381 6.70833 × 10−3 −0.76317 −188.76117 0.4 17.9517 17.1749 −184.622 −3.54091 2.77260 6.66673 × 10−3 −0.76164 −185.38364 0.5 17.9483 17.1261 −181.306 −3.53739 2.77106 6.61473 × 10−3 −0.75972 −182.06572 0.6 17.9443 17.0678 −178.05 −3.53315 2.76919 6.55273 × 10−3 −0.75741 −178.80741 0.7 17.9396 17.0002 −174.852 −3.52822 2.76700 6.48123 × 10−3 −0.75474 −175.60674 0.8 17.9342 16.9237 −171.71 −3.52262 2.76450 6.40083 × 10−3 −0.75172 −172.46172 0.9 17.9281 16.8384 −168.624 −3.516370 2.76170 6.31163 × 10−3 −0.74836 −169.37236 1.0 17.9214 16.7445 −165.593 −3.509490 2.75859 6.21423 × 10−3 −0.74469 −166.33769 -
[1] [2] [3] [4] [5] [6] [7] [8] [9] [10] [11] [12] [13] [14] [15] [16] [17] [18] [19] [20] [21] [22] [23] [24] [25] [26]
Catalog
Metrics
- Abstract views:11380
- PDF Downloads:43
- Cited By:0













DownLoad:

