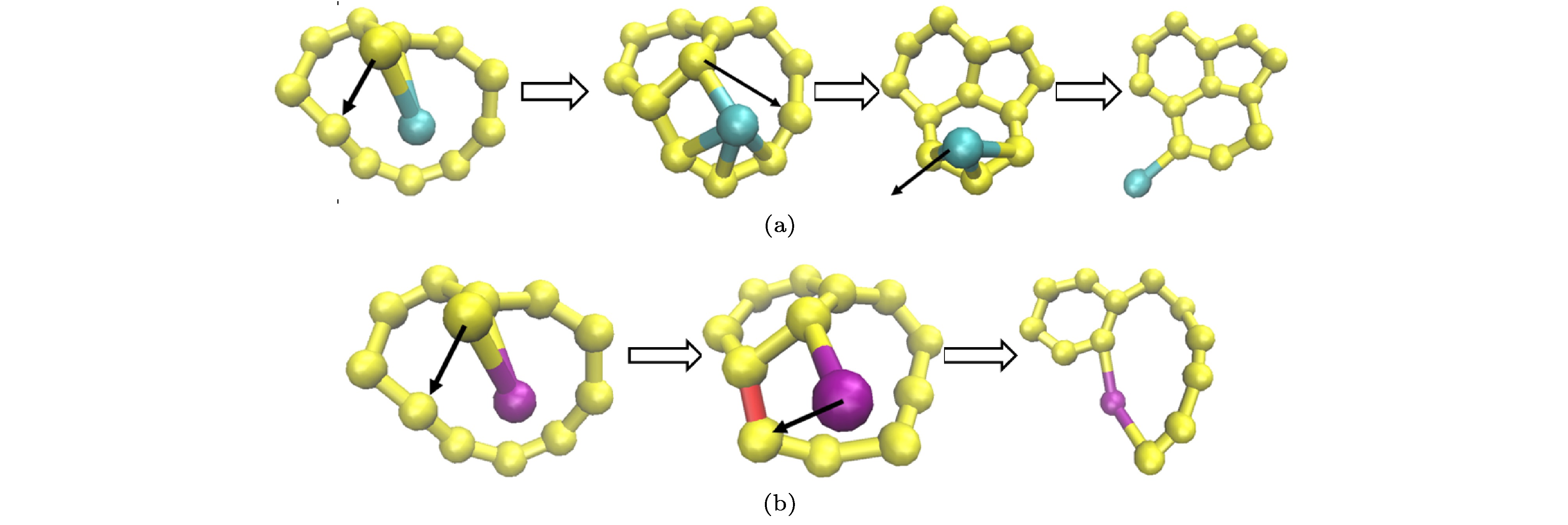
Single-atom catalysts play a crucial role in repairing defective graphene, but the existing research on the single-atom catalysts focuses on the reduction of energy barriers. The unique repairing behavior of the single-atom catalysts in the graphene-healing process and the different repair mechanisms between different catalyst atoms have not been studied in depth. In this paper, the molecular dynamics simulation is used to study the the self-repairing process of defective graphene in the presence of Ni and Pt atoms. By changing the system temperature, multiple sets of simulations are obtained. By observing the atomistic structure obtained at the end of the simulations, the different catalytic repair effects are studied. We calculate the variation of 5, 6 and 7-member rings of graphene in the repair process, it is found that at the appropriate temperatures (1600 K and 2000 K), Ni atom shows stronger catalytic repair capability than Pt atom, and as the temperature increases, the repair effect on defects is also improved. By comparing with the repair process without metal atoms, we find that the effect of metal atoms is significant especially in repairing the carbon chain. To figure out the reason, some typical structure evolutions are simulated. The simulations show that when Ni atom can capture carbon chains at 1600 K, Pt atom needs higher temperature at least 2000 K. Apart from that, Ni and Pt atoms respectively lead to local structural transformations of " jump from the ring” and " bond breakage”. This may be the reason why the 5, 6, and 7-membered rings in the final structure of Pt catalytic system are less than those of Ni catalytic system at 1600 K and 2000 K. In addition, we map the migration route of metal atoms and calculate the migration distance. By observing the different migration behaviors of the two metal atoms in and out of the plane, the different catalytic mechanisms are further studied. The research results in this paper conduce to understanding the catalytic mechanism of metal atoms in the repair of defective graphene. It is of theoretical significance for selecting the external conditions and catalysts for the repairing of defective graphene.