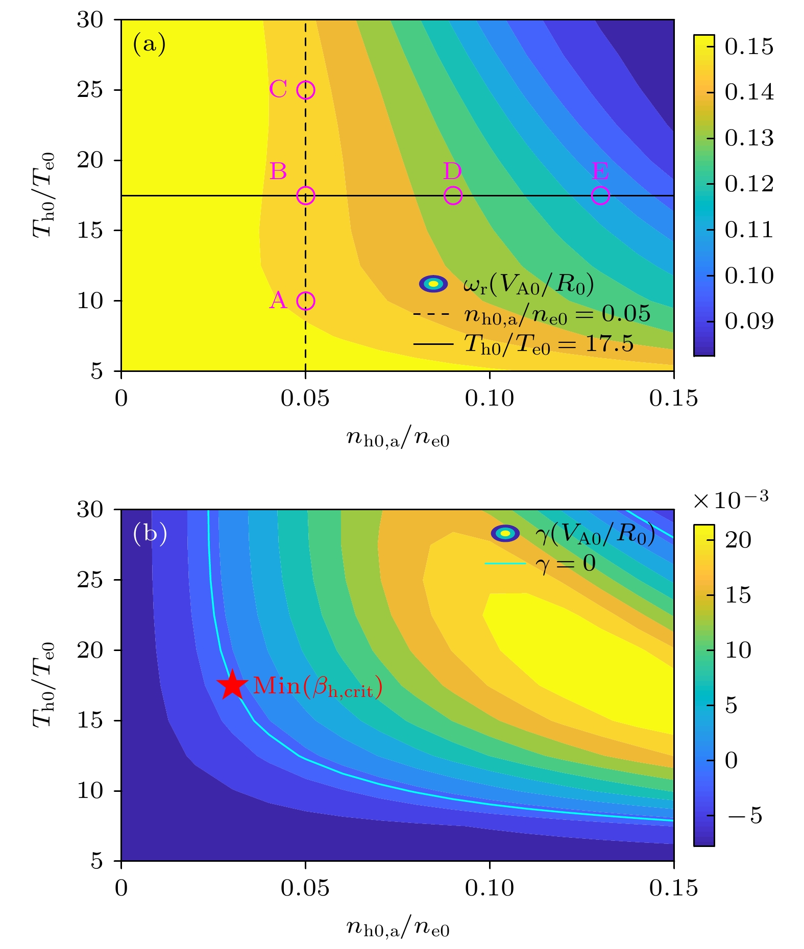
The energetic electron (EE) excitation of beta-induced Alfvén eigenmodes is investigated by using the newly developed global eigenvalue code MAS, which is based on a hybrid model that consists of Landau fluid bulk plasma and drift kinetic EE. Specifically, the bulk plasma kinetic effects such as finite Larmor radius, diamagnetic drifts and Landau dampings, and the EE adiabatic fluid response of convection and non-adiabatic kinetic response of precessional drift resonance are incorporated in the simulations. The global eigenmode equation is solved for e-BAE mode structure and linear dispersion relation in tokamak non-perturbatively. The radial width of e-BAE mode structure becomes narrower as the toroidal mode number increases, which can be explained by the change of Alfvén continuous spectra that interact with kinetic Alfvén waves for corresponding eigenmode formation. The e-BAE growth rate exhibits a non-monotonic variation with toroidal mode number for precessional drift resonance destabilization, while the e-BAE real frequency is close to the continuum accumulation point that almost remains the same. The parametric dependence of e-BAE stability on EE density and that on temperature are analyzed by MAS non-perturbative simulations, which shows that the EE density can affect e-BAE real frequency and thus changes the resonance condition, resulting in e-BAE stabilization in the strong EE drive regime. Further, the EE non-perturbative effect on the symmetry breaking of e-BAE mode structure is reported. The poloidal symmetry breaking characterized by the ‘boomerang’ shape two-dimensional (2D) structure can be greatly enhanced by increasing EE temperature, together with the large radial variation of the poloidal phase angle of dominant principal poloidal harmonic. The radial symmetry breaking of e-BAE mode structure arises when EE density/temperature drive is not symmetric with respect to corresponding rational surface, which can lead to a net volume-averaged value of e-BAE parallel wave number which drives plasma intrinsic rotation. These results are helpful in understanding the e-BAE dynamics observed in recent experiments.