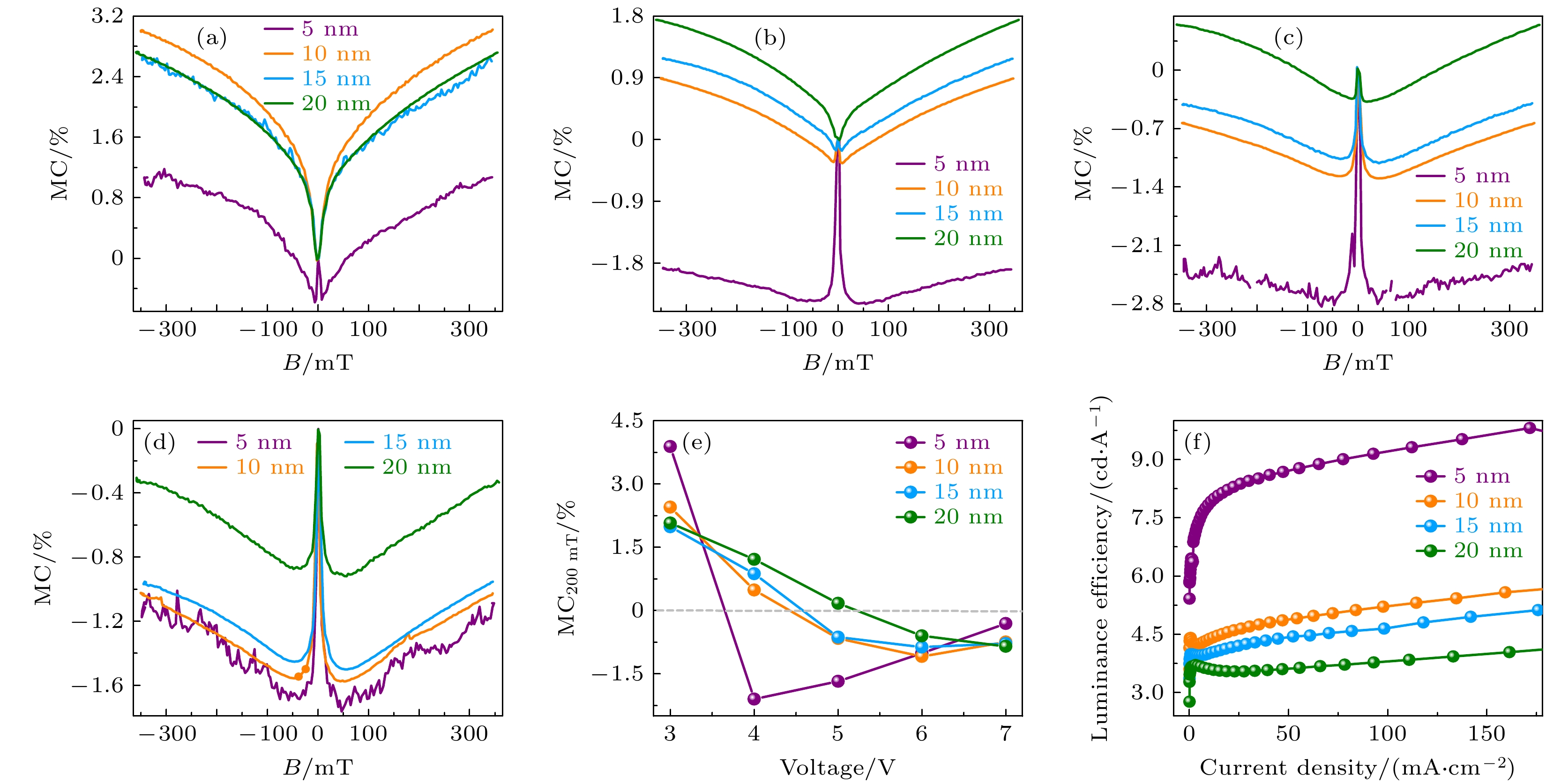
Triplet exciton-charge interaction (TQI) has two forms: dissociation and scattering, However, it is still unclear how the hole injection layer affects the dissociation and scattering of triplet excition and the transition between positive and negative values of magneto-conductance (MC). In this paper, HAT-CN, which can produce carrier ladder effect, is used as hole injection layer (HIL), and magnetic effect is used as a tool to study it. The results show that there are three characteristic magnetic fields in the device: hyperfine, dissociation and scattering, which are verified by fitting the MC with Lorentzian and non-Lorentzian functions. The hyperfine characteristic magnetic field results from the magnetic field suppressing superfine field-induced charge-spin mixing. With the enhancement of magnetic field, hole injection layer/hole transport layer interface produces carrier ladder effect, which improves the hole injection efficiency. The triplet excitions are separated by the hole, then the secondary carriers are produced, which makes the device’s luminous brightness and efficiency reach to 43210 cd/m
2and 9.8 cd/A, respectively. The carrier ladder effect will also lead to a large accumulation of injected charges, resulting in the scattering of charge carriers by triplet excition, thereby reducing their mobility, which is not conducive to the formation of excited states nor device luminescence. The MC is modulated by
K
S/
K
T(recombination rate ratio), and when the electric field is small
$ {K}_{{\rm{S}}}\gg {K}_{{\rm{T}}} $
, the recombination ratio is relatively large, resulting in positive MC. With the increase of electric field
$ {K}_{{\rm{S}}}\approx {K}_{{\rm{T}}}=K$
,
K
S/
K
Tapproaches 1 at this time, resulting in an MC, which is negative in a low temperature environment. This work provides a novel approach for regulating and effectively utilizing triplet excitons.