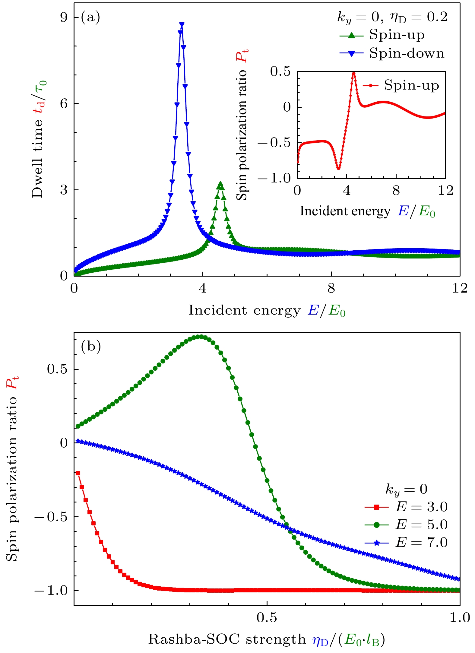
Because digital information in semiconductor spintronics is encoded, stored, processed, and transferred by electron spins instead of its charge, the operation of a spintronic device requires that electrons in semiconductors be spin polarized. But spin states of electrons in traditional semiconductor materials are usually degenerate, therefore, conventional semiconductors cannot be directly used to design spintronic devices. Thus, how to spin polarized electrons in ordinary semiconductors (also called spin injection) including its effective manipulation, has become an important direction of research. In physics, either Zeeman effect between electron spins and external magnetic fields or spin-orbit coupling of electron spins and its spatial momentums can be employed to achieve electron-spin polarization. According to these physical mechanisms, some effective schemes have been developed successfully, such as spin filtering, temporally separating electron-spins, and spatial separations of electron spins. Utilizing the combination of theoretical analysis and numerical calculation, transmission time is investigated by considering both Zeeman effect as well as Rashba and Dresselhaus spin-orbit couplings for electron in magnetically confined semiconductor nanostructure, which is constructed on the GaAs/Al
xGa
1–xAs heterostructure. Schrödinger equation of an electron is numerically solved by matrix diagonalization and improved transfer-matrix method. Adopting H.G. Winful’s theory, dwell time of electron is calculated and spin polarization ratio is given. Due to Zeeman effect and spin-orbit coupling, dwell time of electron is obviously associated with the spins, which is used to separate electron-spins in time dimension and to realize spin polarization of electrons in semiconductors. Because the semiconductor GaAs has a small effective g-factor, which is about 4 times larger than that induced by Zeeman effect, electron-spin polarization originates mainly from spin-orbit coupling including Rashba and Dresselhaus types. Dwell time of electron and its spin polarization can be efficaciously modified by interfacial confining electric-field or strain engineering, because the effective potential of electron is related to spin-orbit coupling’s strength. These interesting findings not only have some references for spin injection into semiconductors, but also provide a controllable temporal electron-spin splitter for semiconductor spintronics device applications.