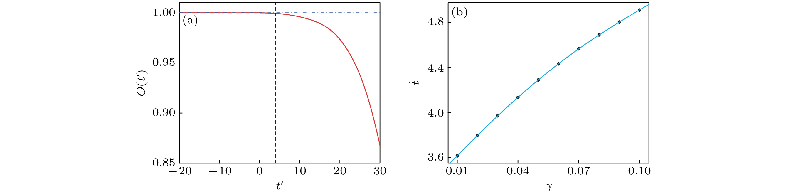
In this work, we study the non-equilibrium quench dynamics from the superfluid stripe phase to the supersolid phase of a two dimensional spin-orbital coupled interacting Bose-Einstein condensate in the presence of a one dimensional optical lattice. The quench protocol here is constructed through varying the lattice depth linearly with the evolution time. By using the time-dependent Gutzwiller method, various physical quantities, such as the vortex number and the overlap of wave-function, have been investigated with respect to the quench time. Through analyzing the dynamical behavior of the above physical quantities, we find out the transition time of the quench procedure, which captures the freeze out time indicating the moment that the system catches the quench speed beginning to evolve quickly. Before the transition time, the dynamics is frozen and the state of the system cannot follow the changes in the Hamiltonian. While passing the transition time, we find that there are significant alterations to both the vortex number and the wave-function. At the transition time, on one hand the vortex number abruptly increases from zero; on the other hand the overlap of wave-function departures from 1 shortly. These signatures indicate that the system evolves rapidly when passing the transition time. Furthermore, we also find that due to the presence of spin-orbital coupling, the spin texture represents a periodic magnetic structure accompanying with the emergence of the supersolid dynamically. It is shown that during the quench procedure, the density distribution of the system are always accompanied with the spatial structure of spin texture, i.e., the central position of topological spin skyrmion (antiskyrmion) corresponding to the minimum position of the density distribution. The topological charge of the above spin structures also shows interesting dynamical properties. We find that the quantized topological charge appears with the emergence of the supersolid dynamically.