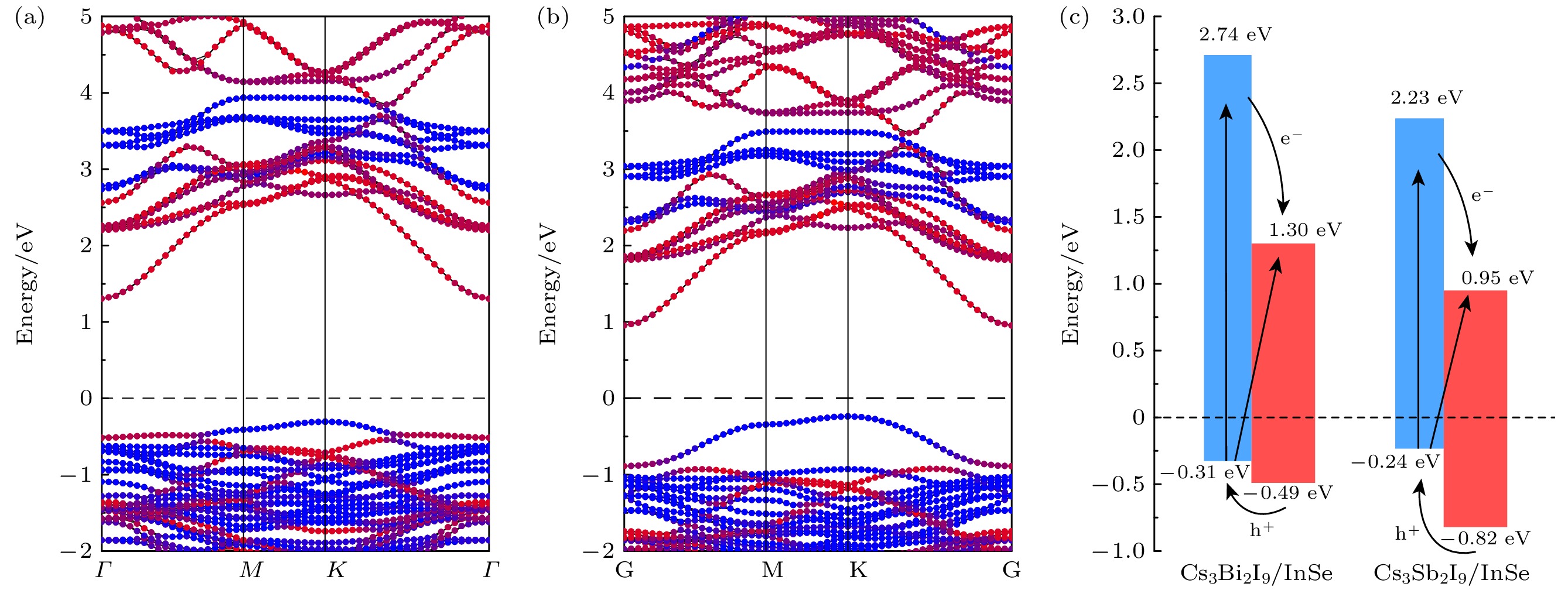
Two-dimensional semiconductor heterostructures have excellent physical properties such as high light absorption coefficients, large diffusion lengths, high carrier mobility rates, and tunable energy band structures, which have great potential in the field of optoelectronic devices. Therefore, designing two-dimensional (2D) semiconductor van der Waals heterostructures is an effective strategy for realizing multifunctional microelectronic devices. In this work, the 2D van der Waals heterostructure Cs
3
X
2I
9/InSe of non-lead Perovskite Cs
3
X
2I
9and indium-tin InSe is constructed to avoid the toxicity and stability problems of lead-based Perovskites. The geometry, electronic structure, and optical properties are calculated based on the first-principles approach of density-functional theory. It is shown that the 2D Cs
3Bi
2I
9/InSe and Cs
3Sb
2I
9/InSe heterostructures are of type-II energy band arrangement and have band gaps of 1.61 eV and 1.19 eV, respectively, with high absorption coefficients in the visible range and UV range reaching to 5×10
5cm
–1. The calculation results from the deformation potential theory and the hydrogen-like atom model show that the 2D Cs
3
X
2I
9/InSe heterostructure has a high exciton binding energy (~0.7 eV) and electron mobility rate (~700 cm
2/(V·s)). The higher light absorption coefficient, carrier mobility, and exciton energy make the 2D Cs
3
X
2I
9/InSe heterostructures suitable for photoluminescent devices. However, the energy band structure based on the Shockley-Queisser limit and type-II arrangement shows that the intrinsic photoelectric conversion efficiency (PCE) of the 2D Cs
3
X
2I
9/InSe heterostructure is only about 1.4%, which is not suitable for photovoltaic solar energy. In addition, the modulation and its effect of biaxial strain on the photovoltaic properties of 2D Cs
3
X
2I
9/InSe heterostructures are further investigated. The results show that biaxial strain can improve the visible absorption coefficient of 2D Cs
3
X
2I
9/InSe heterostructure, but cannot effectively improve its energy band structure, and the PCE only increases to 3.3% at –5% biaxial strain. The above study provides a theoretical basis for designing efficient 2D van der Waals optoelectronic devices in future.