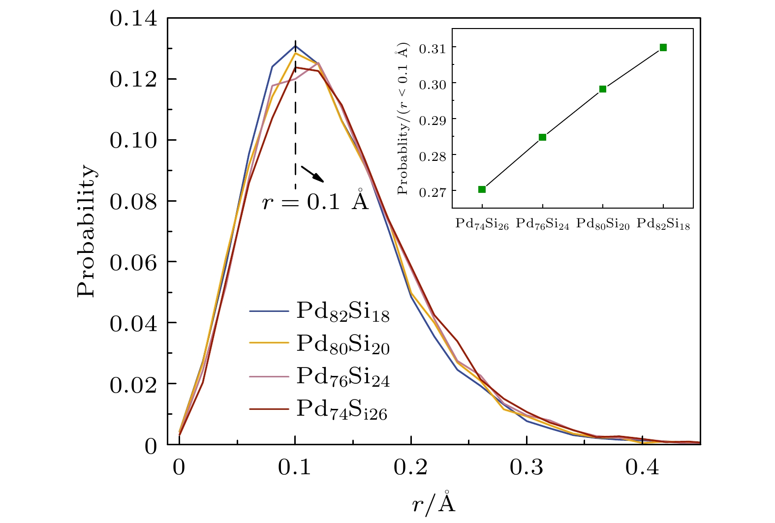
In amorphous alloys, the atomic arrangement exhibits short-range order while lacking long-range order. Despite the lack of long-range order, the local atomic arrangements and interactions can still significantly affect the motion of atoms. The microstructural features and structural evolution mechanisms of amorphous materials are key areas of research, and the dynamics of amorphous alloys can provide insights into their formation process and structural evolution. The cage effect refers to the phenomenon where atoms are trapped by their surrounding atoms, making them difficult to migrate or diffuse freely. This leads to slower diffusion rates and higher viscosities in these materials. Atomic concentration is one of the crucial factors that influence the structures and properties of amorphous materials. Variation in concentration can significantly change the material’s structure. Adjusting the atomic concentration can lead to the difference in diffusion rate between elements in the amorphous alloys, resulting in heterogeneous distributions of elements in different regions, which in turn affects the deformation characteristics of amorphous materials. This study aims to investigate the effect of Pd atomic concentration on the diffusion hindrance of Si atoms, as well as its influence on the local symmetry and order of the system. To achieve this objective, molecular dynamics simulations are employed to explore the relaxation process of atoms in Pd-Si amorphous alloys at different Pd atomic concentrations, and parameters related to atomic diffusion, displacement distribution, system symmetry, and order are analyzed. The results show that increasing the concentration of Pd atoms leads to a more significant hindrance to the diffusion of Si atoms, manifested as an increase in the abnormal peak values of the non-Gaussian parameters and a decrease in the standard deviation of the displacement. This indicates that a higher Pd atom concentration enhances the cage effect of Si atoms, thus restricting their diffusion. Additionally, the increase in Pd concentration promotes the transition from unsaturated to saturated bond type in the Pd-Si amorphous alloy, and also leads the system’s configurational entropy to decrease. This consequently enhances the local symmetry and order of the Pd-Si amorphous alloys, leading Si atoms to be located in the center of more closed, higher-symmetry, and more compact cluster structure, which strengthens their cage effect and local symmetry. This study investigates the influence of Pd atom concentration on the diffusion behavior and local environment of Si atoms, providing a new insight into the structural evolution of amorphous alloys.