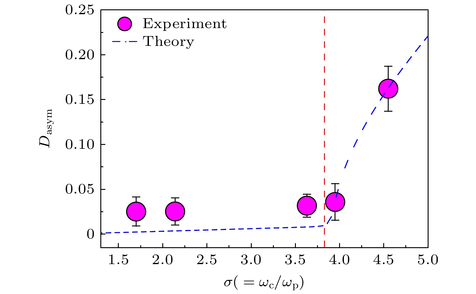
\begin{document}$\left| {6{{\mathrm{S}}_{1/2}}, F = 3} \right\rangle $\end{document},\begin{document}$\left| {6{{\mathrm{P}}_{3/2}}, F' = 4} \right\rangle $\end{document}and an excited state \begin{document}$\left| {6{{\mathrm{P}}_{3/2}}, F' = 4} \right\rangle $\end{document}of cesium atom, to investigate the partial PT symmetry. A probe laser with the detuning of Δ3 = 607 MHz and a coupling laser satisfy the condition of two-photon Raman absorption of cesium atom, forming a loss channel. In order to construct the gain channel, we add the repumping laser that resonates during the transition of \begin{document}$\left| {6{{\mathrm{S}}_{1/2}}, F = 3} \right\rangle $\end{document}to \begin{document}$\left| {6{{\mathrm{P}}_{3/2}}, F' = 4} \right\rangle $\end{document}, changing the population of the two ground state energy levels, thus reducing the absorption of the Λ level system and forming the gain channel of the atomic system under certain conditions. In order to obtain the equilibrium condition of the partial PT-symmetric system, firstly, the light spot of the repumping laser in the experiment is covered by the probe laser, and then the repumping laser is moved to overlap with half of the probe laser of the detection light. When the gain and loss are balanced, the partial PT-symmetric system is in equilibrium.By changing the beam-waist ratio σ of the coupling laser to the probe laser, the transition from symmetry to broken phase is observed in partial PT-symmetric systems. By measuring the asymmetry of the detection-beam intensity distribution Dasym, we can accurately determine the partial PT symmetry breaking point, and the breaking point is located at \begin{document}$\sigma = {\sigma _{{\mathrm{cr}}}} \approx 3.8$\end{document}. The theoretical calculations are in good agreement with the experimental measurements. The results of partial PT symmetry and its phase transition, reported in this study, open up a way to actively manipulate multidimensional laser beams in non-Hermitian systems and have potential applications in the design of optical devices for laser amplification and attenuation in different parts of the laser."> - 必威体育下载

Search

Article

x

留言板

姓名
邮箱
手机号码
标题
留言内容
验证码

downloadPDF
Citation:

Xue Yong-Mei, He Yun-Hui, Han Xiao-Xuan, Bai Jing-Xu, Jiao Yue-Chun, Zhao Jian-Ming
cstr: 32037.14.aps.73.20241200
PDF
HTML
Get Citation
Metrics
  • Abstract views:398
  • PDF Downloads:20
  • Cited By:0
Publishing process
  • Received Date:28 August 2024
  • Accepted Date:09 October 2024
  • Available Online:23 October 2024
  • Published Online:20 November 2024

    返回文章
    返回