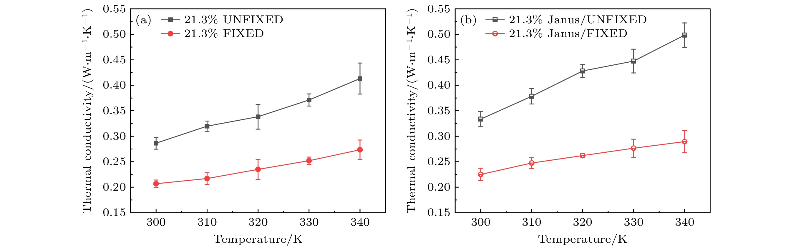
The excellent thermal conductivity of the carbon nanotubes leads to the high thermal conductivity of the nanofluids prepared by carbon nanotubes. The addition of functional groups on the surface of the carbon nanotubes canimprove the stability of the water/CNT nanofluids. The excellent diffusion properties of the Janus particles result in the elevated thermal conductivity of the Janus nanofluids. In thiswork, hydroxylated single-walled carbon nanotube (SWCNT-OH) particles, as Janus particles, are constructed and a water/SWCNT-OH-Janus nanofluid model is proposed by introducing SWCNT-OH particles into a base fluid (water). By using equilibrium molecular dynamics simulations, the thermal conductivity of nanofluids is calculated. The mechanism of the enhanced thermal conductivity is investigated by analyzing the solid-like liquid layers formed by liquid molecules around particles, Brownian motion of CNT particles, and CNT/water interfacial thermal resistance. It can be concluded that the thermal conductivity of the nanofluids with SWCNT-OH particles can be enhanced compared with that of the nanofluids with normal SWCNT particles. The hydrogen bond between hydroxyl group and water molecules results in the adsorption of water molecules onto the surface of carbon nanotube. This process increases the density of the liquid adsorption layer on the CNT surface, thereby enhancing the effect of the solid-liquid layer. The hydroxyl groups on the CNT surface degrade the solid-liquid interfacial thermal resistance, which promotes the heat transfer within the nanofluids. Moreover, the hydroxyl groups also enhance the interaction between the CNT particles and the water molecules,leading to stronger Brownian motionof particles. The combination of these factors will be responsible for the enhancement thermal conductivity of the water/SWCNT-OH nanofluids.For SWCNT-OH-Janus nanofluids, the thermal conductivity can be further enhanced, owing to the strong Brownian motion of the Janus particles.