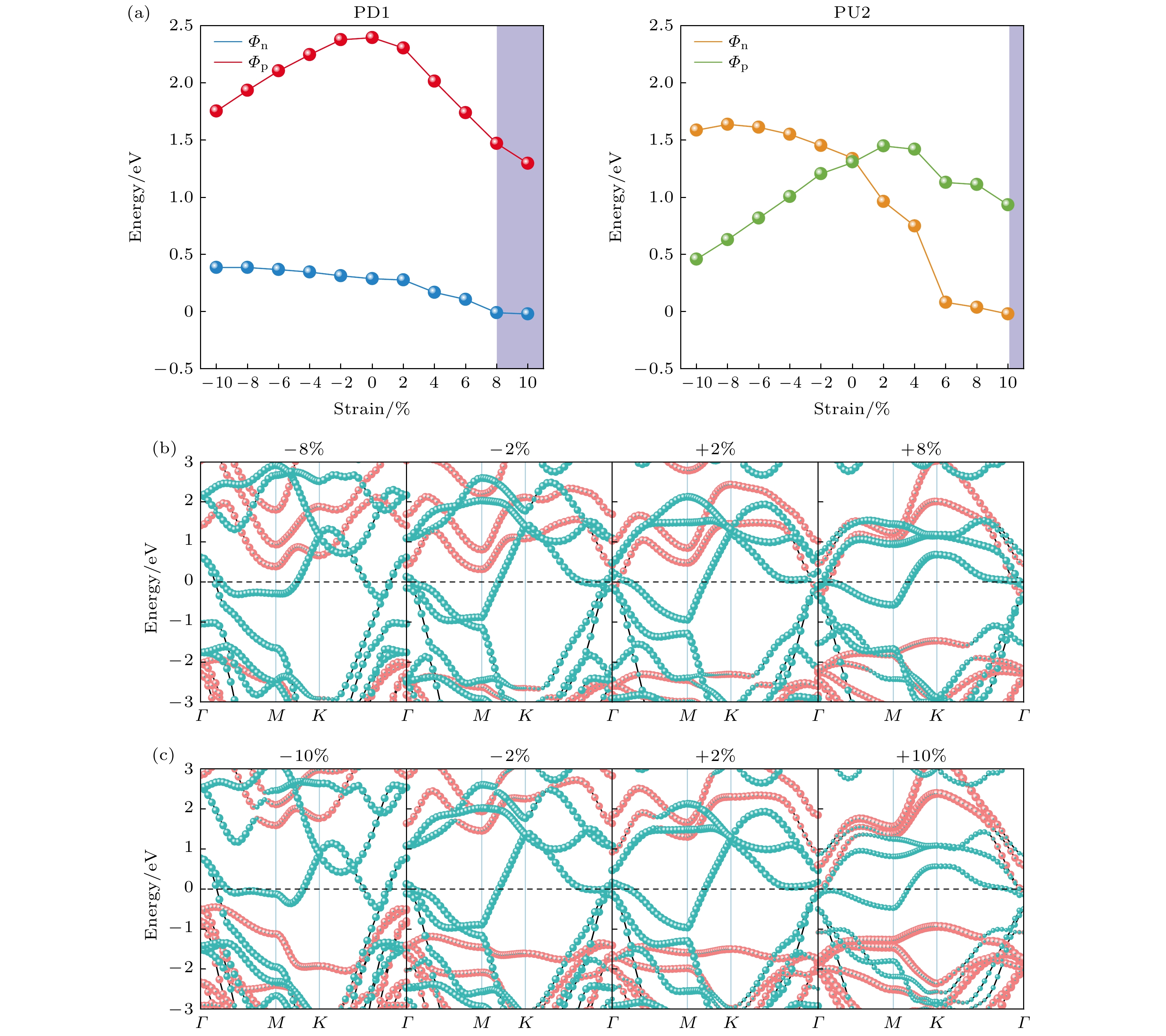
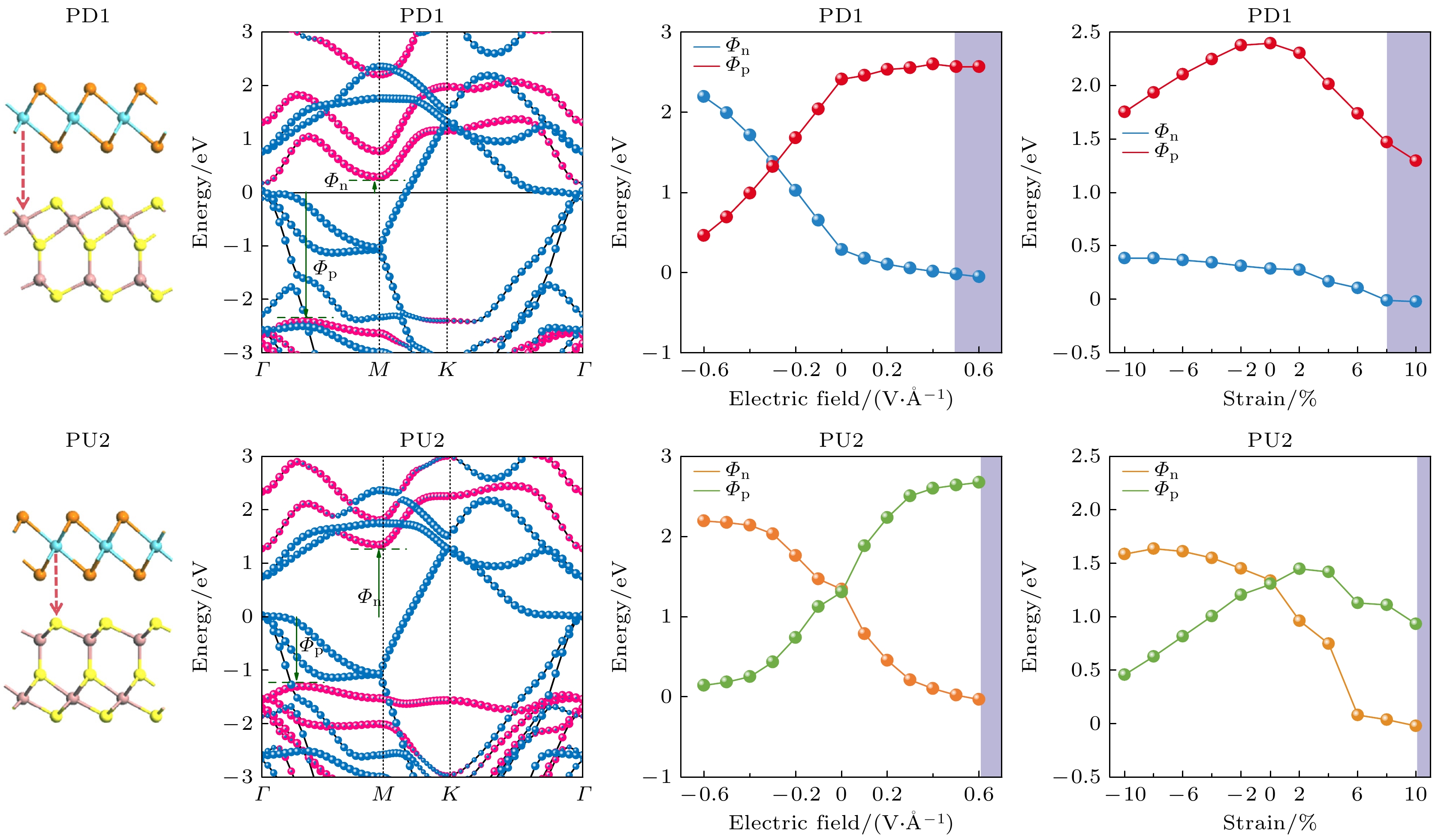
| [1] |
Li Jing-Hui, Cao Sheng-Guo, Han Jia-Ning, Li Zhan-Hai, Zhang Zhen-Hua. Electrical contact properties of 2D metal-semiconductor heterojunctions composed of different phases of NbS2 and GeS2. Acta Physica Sinica,
2024, 73(13): 137102.
doi: 10.7498/aps.73.20240530
|
| [2] |
Tang Jia-Xin, Li Zhan-Hai, Deng Xiao-Qing, Zhang Zhen-Hua. Electrical contact characteristics and regulatory effects of GaN/VSe2 van der Waals heterojunction. Acta Physica Sinica,
2023, 72(16): 167101.
doi: 10.7498/aps.72.20230191
|
| [3] |
Huang Min, Li Zhan-Hai, Cheng Fang. Tunable electronic structures and interface contact in graphene/C3N van der Waals heterostructures. Acta Physica Sinica,
2023, 72(14): 147302.
doi: 10.7498/aps.72.20230318
|
| [4] |
Huang Ling-Qin, Zhu Jing, Ma Yue, Liang Ting, Lei Cheng, Li Yong-Wei, Gu Xiao-Gang. Research status and progress of metal contacts of SiC power devices. Acta Physica Sinica,
2021, 70(20): 207302.
doi: 10.7498/aps.70.20210675
|
| [5] |
Wang Su-Jie, Li Shu-Qiang, Wu Xiao-Ming, Chen Fang, Jiang Feng-Yi. Study on the effect of thermal annealing process on ohmic contact performance of AuGeNi/n-AlGaInP. Acta Physica Sinica,
2020, 69(4): 048103.
doi: 10.7498/aps.69.20191720
|
| [6] |
Guo Li-Juan, Hu Ji-Song, Ma Xin-Guo, Xiang Ju. Interfacial interaction and Schottky contact of two-dimensional WS2/graphene heterostructure. Acta Physica Sinica,
2019, 68(9): 097101.
doi: 10.7498/aps.68.20190020
|
| [7] |
Wang Chen, Xu Yi-Hong, Li Cheng, Lin Hai-Jun, Zhao Ming-Jie. Improved performance of Al/n+Ge Ohmic contact andGe n+/p diode by two-step annealing method. Acta Physica Sinica,
2019, 68(17): 178501.
doi: 10.7498/aps.68.20190699
|
| [8] |
Wei Zheng-Hong, Yun Feng, Ding Wen, Huang Ya-Ping, Wang Hong, Li Qiang, Zhang Ye, Guo Mao-Feng, Liu Shuo, Wu Hong-Bin. Reflective Ni/Ag/Ti/Au electrode with low specific contact resistivity. Acta Physica Sinica,
2015, 64(12): 127304.
doi: 10.7498/aps.64.127304
|
| [9] |
Lu Wu-Yue, Zhang Yong-Ping, Chen Zhi-Zhan, Cheng Yue, Tan Jia-Hui, Shi Wang-Zhou. Effect of different annealing treatment methods on the Ni/SiC contact interface properties. Acta Physica Sinica,
2015, 64(6): 067303.
doi: 10.7498/aps.64.067303
|
| [10] |
Zhu Yan-Xu, Cao Wei-Wei, Xu Chen, Deng Ye, Zou De-Shu. Effect of different ohmic contact pattern on GaN HEMT electrical properties. Acta Physica Sinica,
2014, 63(11): 117302.
doi: 10.7498/aps.63.117302
|
| [11] |
Huang Ya-Ping, Yun Feng, Ding Wen, Wang Yue, Wang Hong, Zhao Yu-Kun, Zhang Ye, Guo Mao-Feng, Hou Xun, Liu Shuo. The reflectivity and ohmic contact resistivity of Ni/Ag/Ti/Au in contact with p-GaN. Acta Physica Sinica,
2014, 63(12): 127302.
doi: 10.7498/aps.63.127302
|
| [12] |
Li Xiao-Jing, Zhao De-Gang, He Xiao-Guang, Wu Liang-Liang, Li Liang, Yang Jing, Le Ling-Cong, Chen Ping, Liu Zong-Shun, Jiang De-Sheng. Influence of different annealing temperature and atmosphere on the Ni/Au Ohmic contact to p-GaN. Acta Physica Sinica,
2013, 62(20): 206801.
doi: 10.7498/aps.62.206801
|
| [13] |
Wang Xiao-Yong, Chong Ming, Zhao De-Gang, Su Yan-Mei. Two-dimensional hole gas in p-GaN/p-AlxGa1-xN heterojunctions and its influence on Ohmic contact. Acta Physica Sinica,
2012, 61(21): 217302.
doi: 10.7498/aps.61.217302
|
| [14] |
Pan Shu-Wan, Qi Dong-Feng, Chen Song-Yan, Li Cheng, Huang Wei, Lai Hong-Kai. Se ultrathin film growth on Si(100) substrate and its application in Ti/n-Si(100) ohmic contact. Acta Physica Sinica,
2011, 60(9): 098108.
doi: 10.7498/aps.60.098108
|
| [15] |
Wang Guang-Xu, Jiang Feng-Yi, Feng Fei-Fei, Liu Jun-Lin, Qiu Chong. N-polar n-type ohmic contact of GaN-based LED on Si substrate. Acta Physica Sinica,
2010, 59(8): 5706-5709.
doi: 10.7498/aps.59.5706
|
| [16] |
Huang Wei, Chen Zhi-Zhan, Chen Yi, Shi Er-Wei, Zhang Jing-Yu, Liu Qing-Feng, Liu Qian. Effect of Ni thickness on the contact properties of Ni/6H-SiC analyzed by combinatorial method. Acta Physica Sinica,
2010, 59(5): 3466-3472.
doi: 10.7498/aps.59.3466
|
| [17] |
Huang Wei, Chen Zhi-Zhan, Chen Bo-Yuan, Zhang Jing-Yu, Yan Cheng-Feng, Xiao Bing, Shi Er-Wei. Effect of hydrofluoric acid etching time on Ni/6H-SiC contacts. Acta Physica Sinica,
2009, 58(5): 3443-3447.
doi: 10.7498/aps.58.3443
|
| [18] |
Ding Zhi-Bo, Wang Kun, Chen Tian-Xiang, Chen Di, Yao Shu-De. Investigation on the formation mechanism and diffusion of the electrode metal of oxidized Au/Ni/p-GaN ohmic contact in different alloying time. Acta Physica Sinica,
2008, 57(4): 2445-2449.
doi: 10.7498/aps.57.2445
|
| [19] |
Wang Chong, Feng Qian, Hao Yue, Wan Hui. Effect of pre-metallization processing and annealing on Ni/Au Schottky contacts in AlGaN/GaN heterostructures. Acta Physica Sinica,
2006, 55(11): 6085-6089.
doi: 10.7498/aps.55.6085
|
| [20] |
WANG YIN-YUE, ZHEN CONG-MIAN, GONG HENG-XIANG, YAN ZHI-JUN, WANG YA-FAN, LIU XUE-QIN, YANG YING-HU, HE SHAN-HU. MEASUREMENT OF THE SPECIFIC CONTACT RESISTANCE OF Au/Ti/p-DIAMOND USING TRANSMIS SION LINE MODEL. Acta Physica Sinica,
2000, 49(7): 1348-1351.
doi: 10.7498/aps.49.1348
|