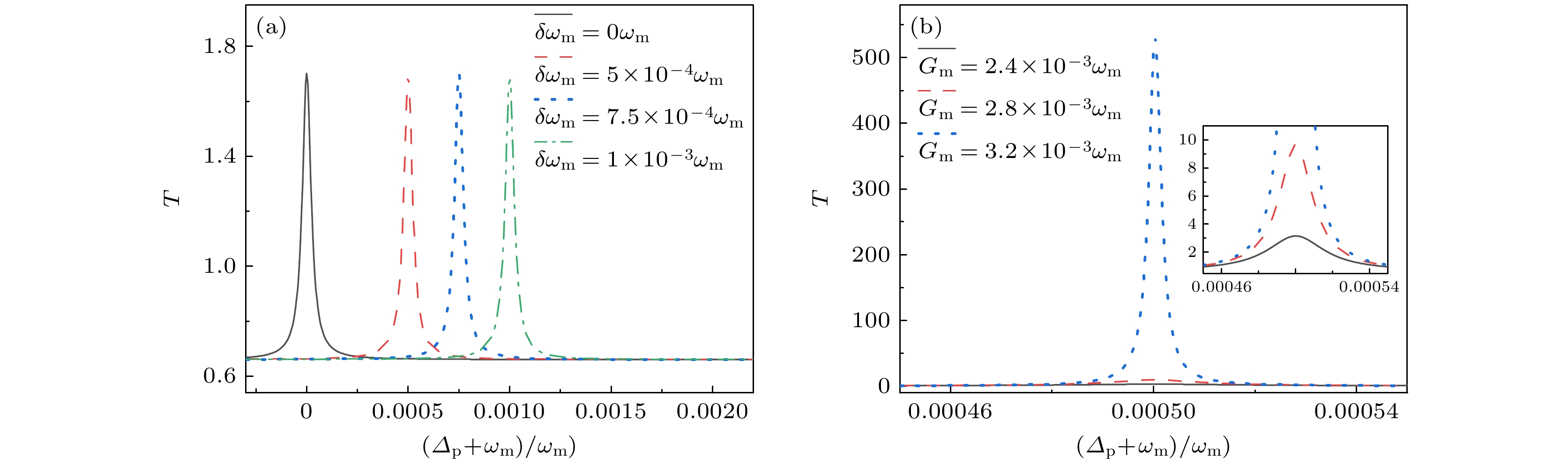
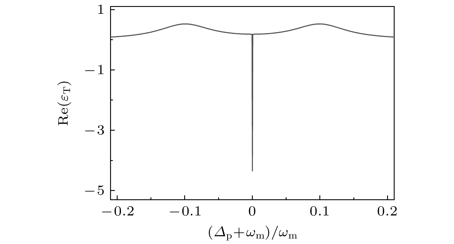
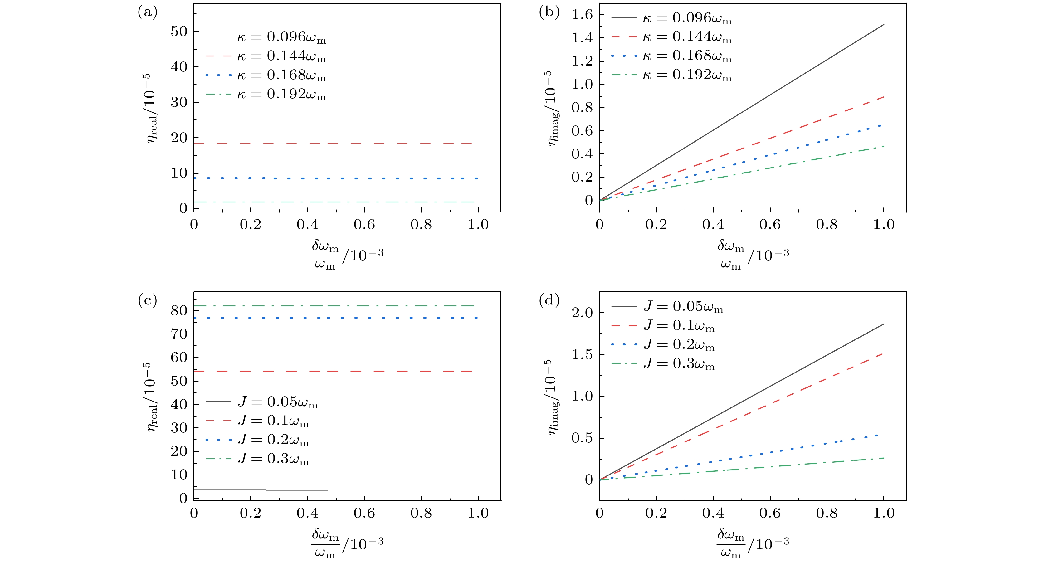
Resolution is one of the key indicators in the cavity optomechanical mass sensing. The bound states in the continuum (BIC) enable extremely narrow linewidths, which have great potential for enhancing the resolution of cavity optomechanical mass sensors. In order to enhance the resolution of cavity optomechanical mass sensing, we propose a simple double-cavity optomechanical system under the blue-detuning condition to realize the BIC singularity, and present an ultrahigh-resolution mass sensing scheme based on BIC in this paper. By solving the linearized Heisenberg-Langevin equations, the expressions for the susceptibility and transmission rate of the system are derived. Based on the system’s susceptibility, we study the absorption characteristics of the probe field under the blue-detuning condition. The absorption spectrum of the system exhibits three peaks, among which the central narrow peak exhibits optical gain characteristics, collectively forming a phenomenon analogous to double optomechanically induced transparency. Then, analysis of the dressed-state energy-level structure reveals that the formation of the central narrow peak stems from quantum interference effects in a double-Λ-type dark-state resonance. The linewidth evolution of the quasi-BIC central narrow peak is investigated by analyzing the dependence of the real part and imaginary part of the corresponding eigenvalue on the optomechanical coupling strength. It can be found that the imaginary part of the eigenvalue for the central narrow peak becomes zero when the optomechanical cooperativity coefficient equals the double-cavity cooperativity coefficient plus one, enabling the realization of BIC. The linewidth of the central peak is ultrasmall under this BIC condition, and the shift of the transmission peak in the transmission spectrum is linearly related to the adsorbed mass. Based on these characteristics, the system under the BIC condition can achieve mass sensing with an ultrahigh resolution, with a resolution of approximately 1 ag. Meanwhile, the linewidth of the transmission peak can be suppressed below 1 Hz, which is superior to the traditional optomechanical mass sensing schemes based on four-wave mixing, photonic molecules, and plasmon polaritons. Systematic investigation of eigenvalue variations and the corresponding sensitivity enhancement factors under mechanical resonator frequency shift reveals that the real part and the imaginary part of the eigenvalue associated with the central peak exhibit negligible variations under such perturbations. This indicates that the mass sensing scheme based on BIC in the double-cavity optomechanical system can maintain ultrahigh resolution and precise mass measurement under mechanical resonator frequency shift. Our scheme provides an approach for realizing the BIC singularity in optomechanical systems, and presents a new route to improving the resolution of mass sensors based on cavity optomechanical systems.