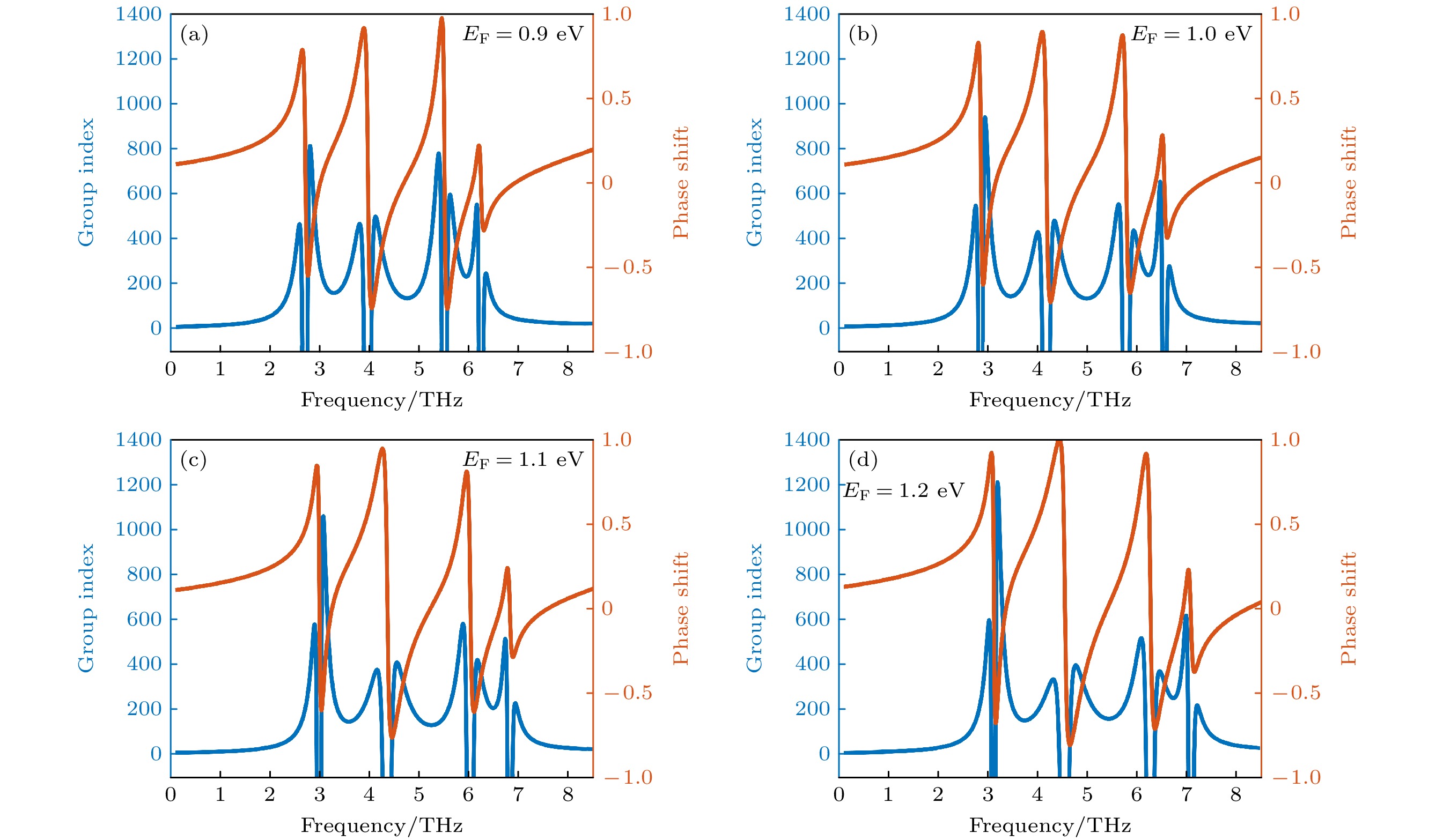
Surface plasmons (SPs) are generated by the interaction of conduction electrons on the surface of a metallic medium with photons in light wave, and they have an important phenomenon called plasmon-induced transparency (PIT). The PIT effect is crucial for improving the performance of nano-optical devices by strengthening the interaction between light and matter, thereby enhancing coupling efficiency. As is well known, traditional PIT is mainly achieved through two main ways: either through destructive interference between bright and dark modes, or through weak coupling between two bright modes. Therefore, it is crucial to find a new excitation method to break away from these traditional approaches. In this work, we propose a single-layer graphene metasurface composed of longitudinal graphene bands and three transverse graphene strips, which can excite a tripe-PIT through the synergistic effect between two single-PITs. We then leverage the synergistic effect between these two single-PITs to realize a triple-PIT. This approach breaks away from the traditional method of generating PIT through the coupling of bright and dark modes. The numerical simulation results are also obtained using the finite-difference time-domain, which are highly consistent with the results of the coupled-mode theory, thereby validating the accuracy of the results. In addition, by adjusting the Fermi level and carrier mobility of graphene, the dynamic transition from a five-frequency asynchronous optical switch to a six-frequency asynchronous optical switch is successfully achieved. The six-frequency asynchronous optical switch demonstrates exceptional performance: at frequency points of 3.77 THz and 6.41 THz, the modulation depth and insertion loss reach 99.31% and 0.12 dB, respectively, while at the frequency point of 4.58 THz, the dephasing time and extinction ratio are 3.16 ps and 21.53 dB, respectively. Additionally, when the tuning range is from 2.8 THz to 3.1 THz band, the triple-PIT system exhibits a remarkably high group index of up to 1212. These performance metrics exceed those of most traditional slow-light devices. Based on these results, the structure is expected to provide new theoretical ideas for designing high-performance devices, such as optical switches and slow-light devices.