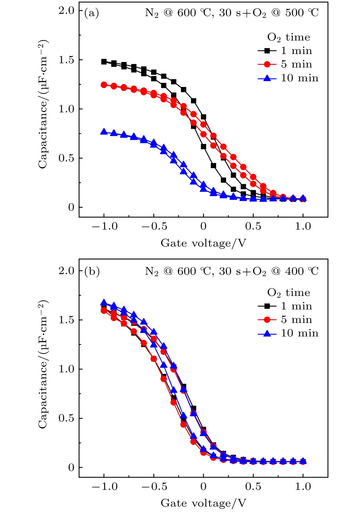
Germanium material holds great potential applications in low-power, high-mobility field-effect transistors because of their advantages of high electron and hole mobility, narrow bandgap, and compatibility with silicon CMOS technologies. The development of high-quality gate oxide processes is crucial in fabricating high-mobility Ge-based transistors, especially those with high dielectric constant for superior gate control and preferable gate stability. Rare-earth oxides represented by LaLuO3 have high dielectric constants and high crystallization temperatures, making them potential candidates for Ge-based metal-oxide-semiconductor field-effect transistor (MOSFET) gate technology. In this work, a germanium (Ge)-based oxide dielectric LaLuO3 is fabricated utilizing a p-type Ge substrate with a (111) crystal orientation and a doping concentration of 1×1016 cm–3, and radio-frequency (RF) co-sputtering 2-inch 99.9% La2O3 and Lu2O3 targets. Systematical investigations are conducted to evaluate the effects of annealing process conditions on the characteristics of the LaLuO3/Ge MOS gate structure under three specifically designed annealing atmospheres, i.e. nitrogen, oxygen, and a nitrogen-oxygen mixed gas with an N2:O2 ratio of 0.999∶0.001. Meanwhile, the influence of annealing pressure is also explored. The results show that annealing in pure oxygen at atmospheric pressure can reduce the hysteresis of gate capacitance, but it can lead to the formation of interface layers. Correspondingly, annealing technique based on high-pressure and low-oxygen-content (0.1% O2) atmosphere is developed, which not only improves the LaLuO3/Ge interface quality and suppresses the oxygen vacancy generation, but also achieves an extremely low equivalent oxide thickness (EOT) of 1.8 nm and a hysteresis voltage of only 40 mV, resulting in an ideal LaLuO3/Ge MOS structure. This work thus provides a high-performance LaLuO3/Ge gate process solution for Ge MOSFETs.