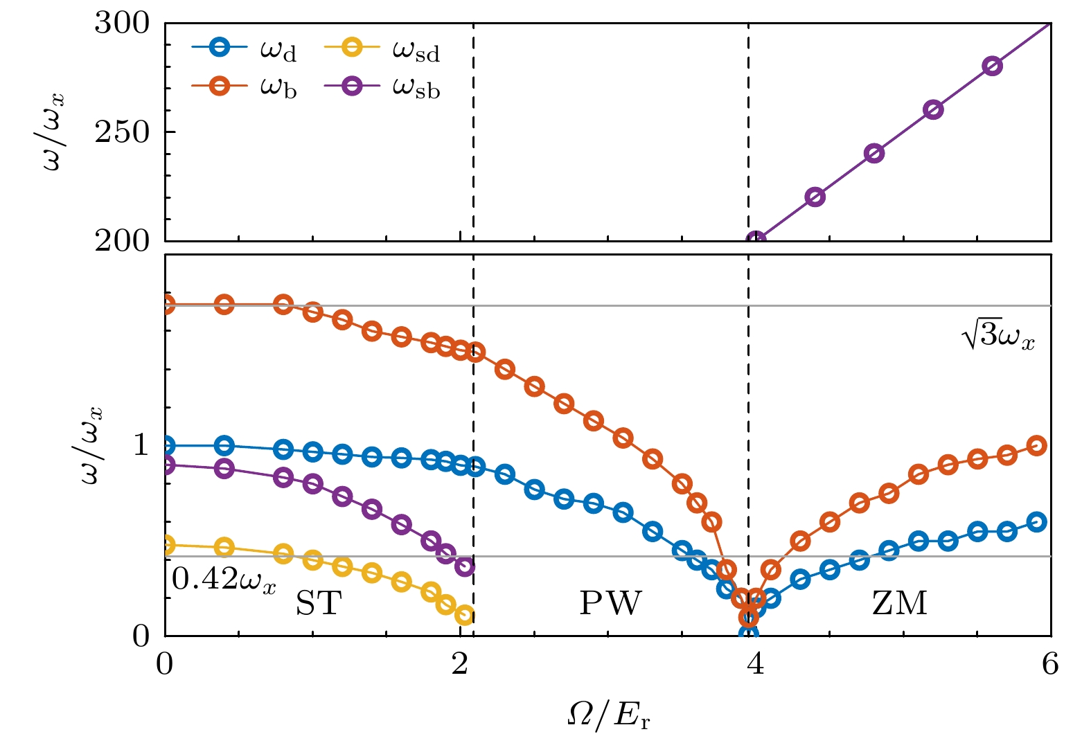
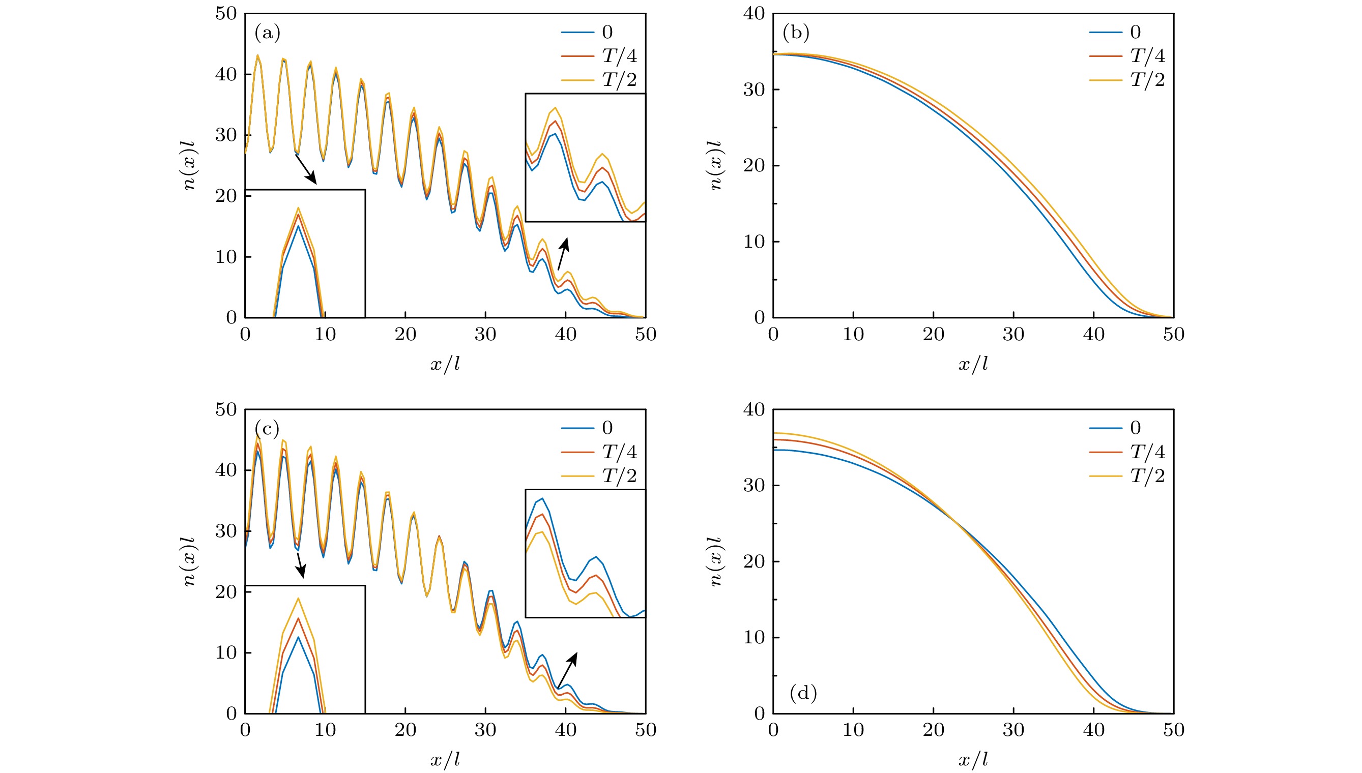
The ground-state properties and collective excitations in a weakly interacting Bose gas with Raman-type spin-orbit coupling in one dimension are systematically investigated by numerically solving static and time-dependent Gross-Pitaevskii equations in this work. Our analysis focuses on three different quantum phases, i.e., stripe phase, plane-wave phase, and zero-momentum phase, which are characterized by key static properties including condensate momentum, spin polarization, and ground-state energy. The dynamic behaviors of total-density collective modes, i.e., the dipole mode that drives harmonic oscillations of the atomic cloud's center of mass and the breathing mode that is responsible for periodic expansion and contraction of density profile, are all explored using time-dependent simulations. Mode frequencies exhibit non-monotonic dependence on Rabi frequency in the three phases, and are significantly suppressed at the transition point between the plane-wave and the zero-momentum phases. Additionally, the spin-dependent collective excitations, particularly the spin-dipole and spin-breathing modes, are studied, which are governed by the time-dependent spin density distribution $(\delta n(x, t) \equiv n_\uparrow(x, t)-n_\downarrow(x, t)\,)$ as shown in the following figure. The results indicate that two spin oscillation modes exist only in the stripe phase and the zero-momentum phase, with the latter exhibiting substantially higher frequencies. Notably, mode frequencies decrease monotonically with the increase of Rabi frequency in the stripe phase, whereas they rise linearly in the zero-momentum phase. The spin-dipole mode induces rigid, out-of-phase oscillations of the two spin components, while the spin-breathing mode modulates the spin density distribution periodically. These findings offer fundamental theoretical insights into the dynamic behaviors of spin-orbit-coupled quantum gases, particularly regarding spin-related collective excitations, and provide valuable guidance for future cold-atom experiments.