Search

Article

x

留言板

姓名
邮箱
手机号码
标题
留言内容
验证码

Citation:

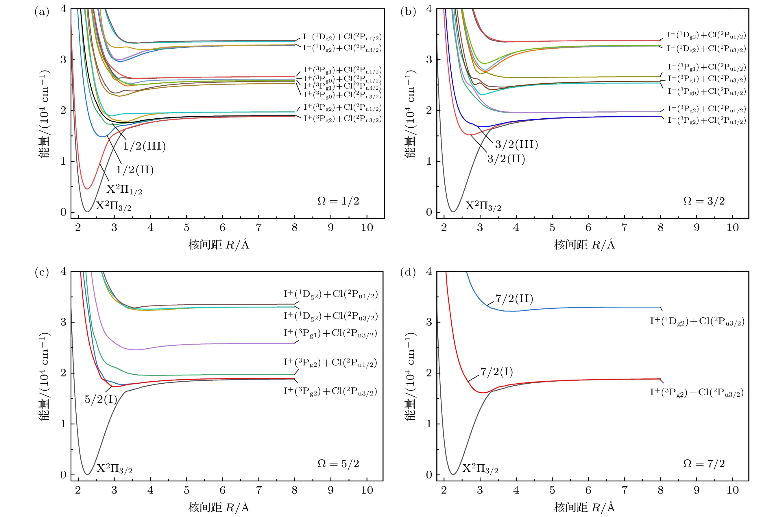
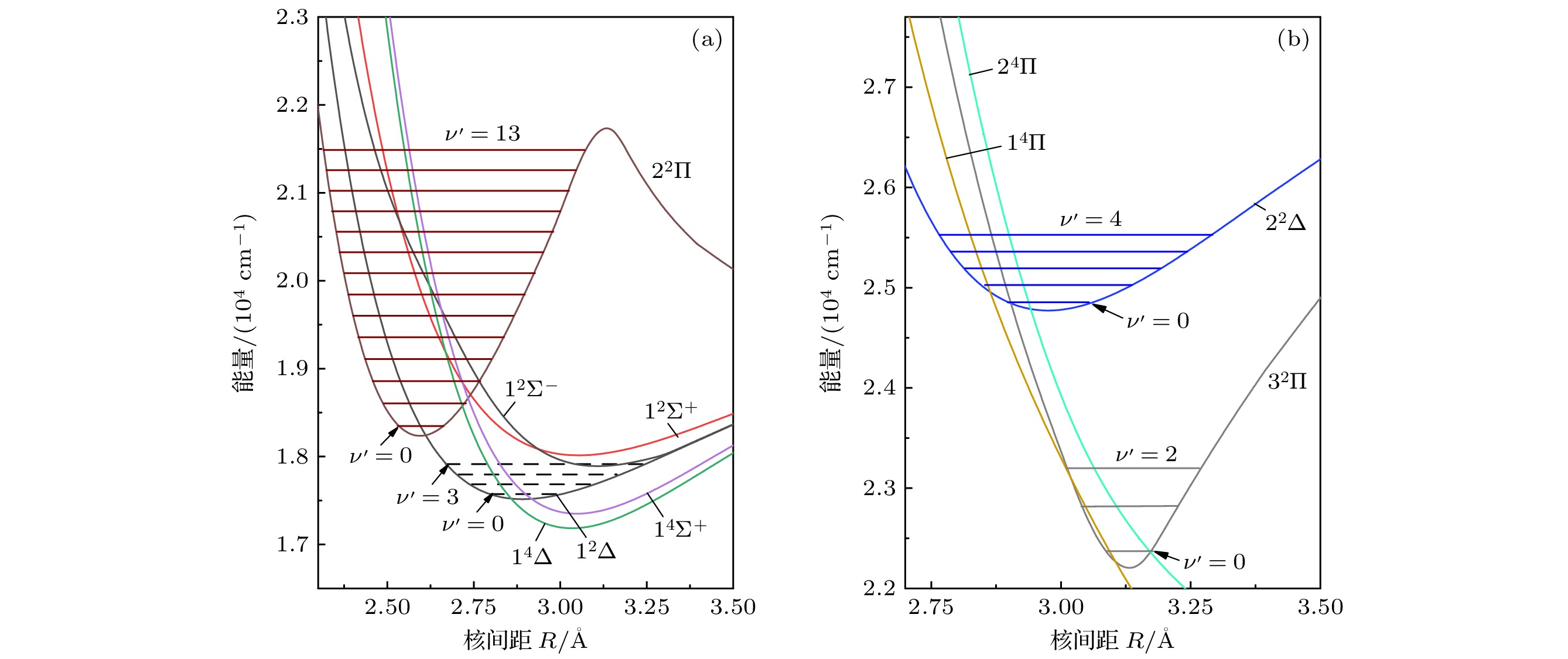
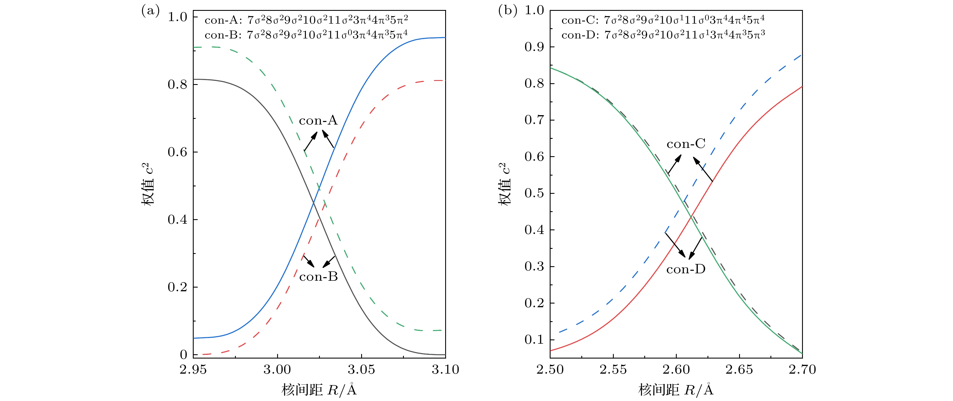
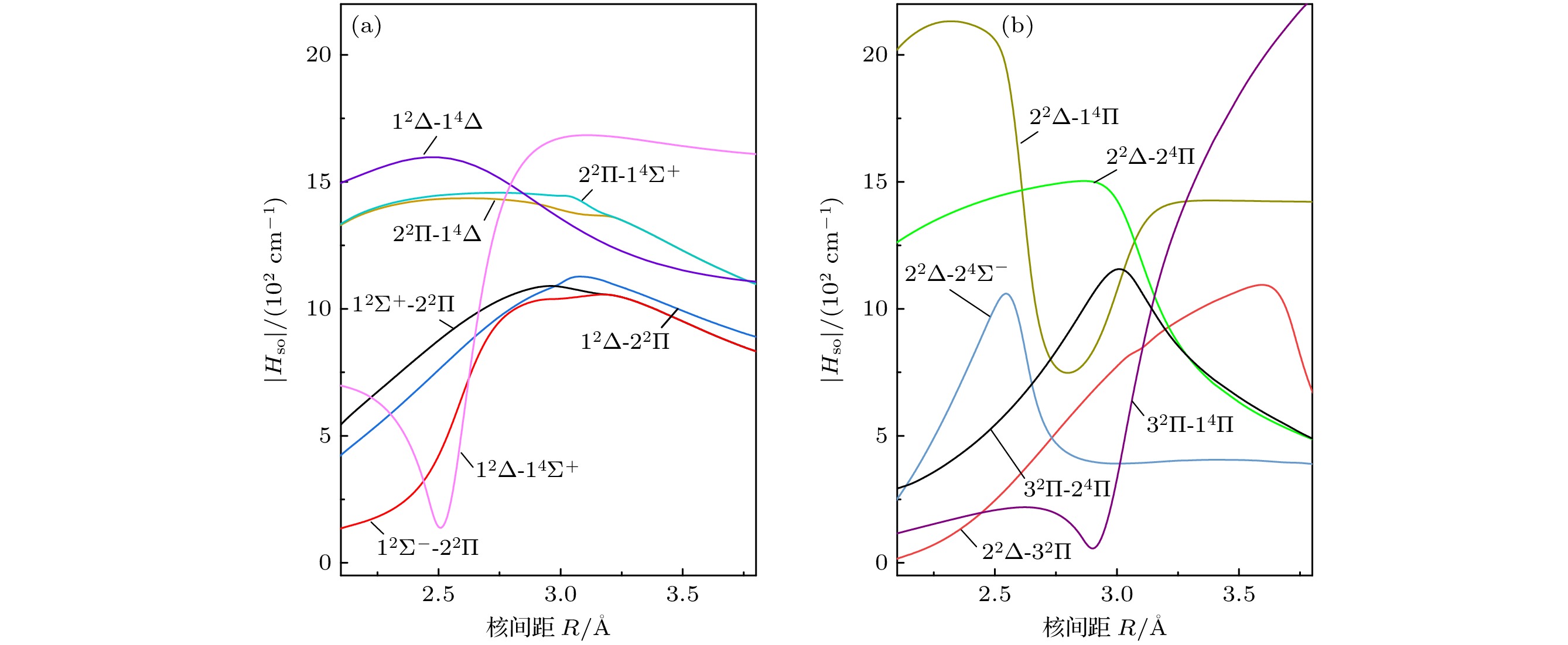
LI Rui, DOU Ronglong, GAO Ting, LI Qinan, SONG Chaoqun
cstr: 32037.14.aps.74.20250510
Article Text (iFLYTEK Translation)
PDF
HTML
Get Citation
Metrics
  • Abstract views:  951
  • PDF Downloads:  30
  • Cited By: 0
Publishing process
  • Received Date:  20 April 2025
  • Accepted Date:  20 May 2025
  • Available Online:  04 June 2025
  • Published Online:  20 June 2025
    返回文章
    返回