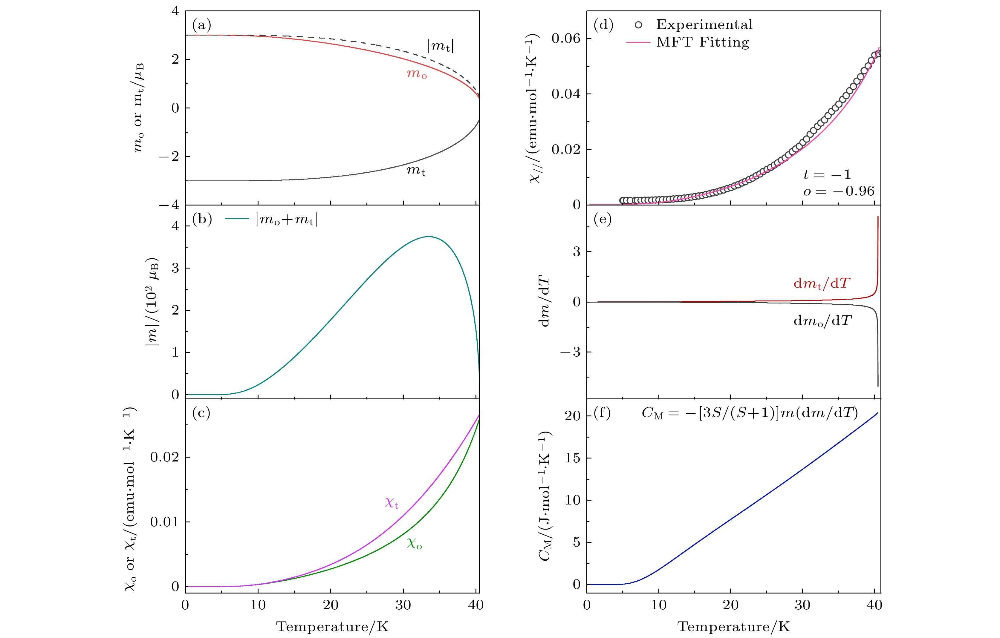
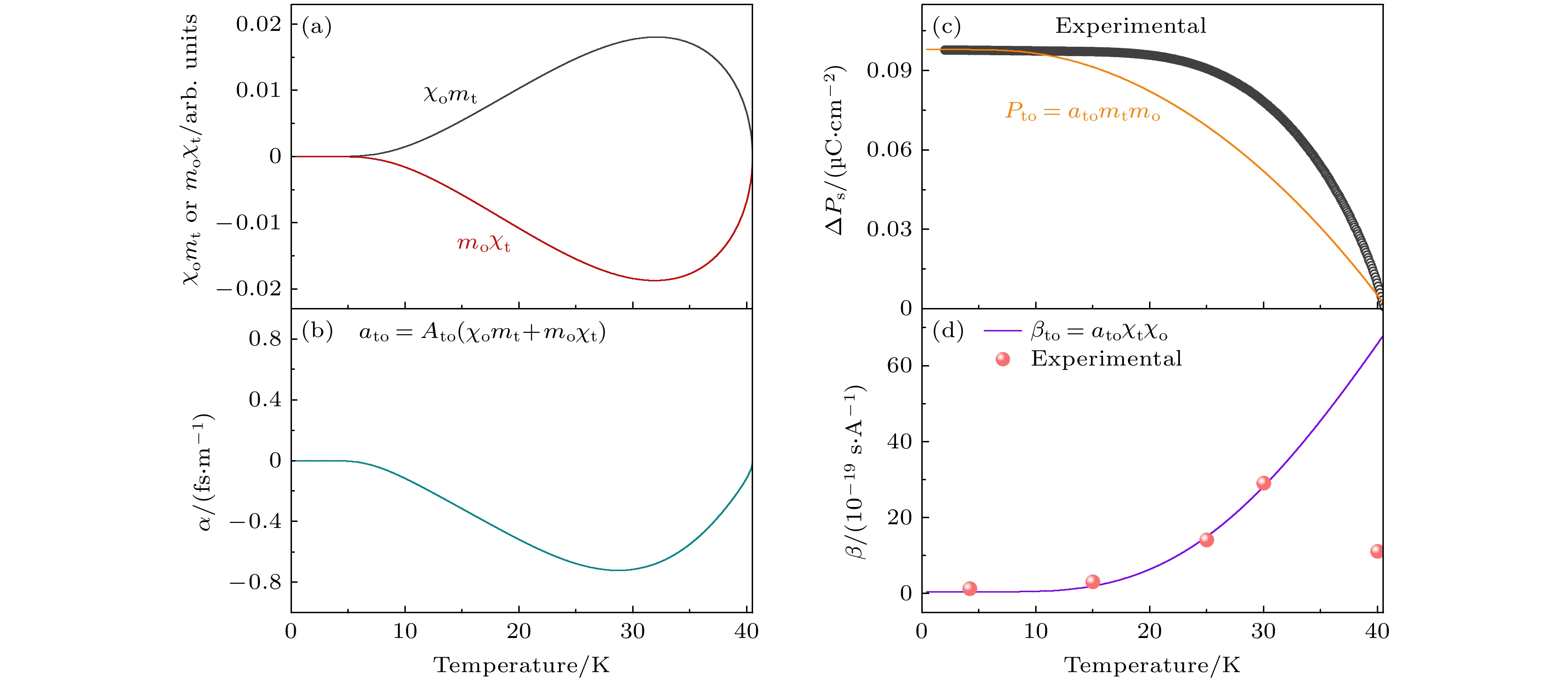
| [1] |
XIA Yongshun, CUI Huanqing, YANG Xiaokuo, GUO Baojun, DOU Shuqing, KANG Yan, WEI Bo, LIANG Bujia. Strain-driven reversible switching of Radial vortex in a bicomponent nanomagnet. Acta Physica Sinica,
2025, 74(16): 168503.
doi: 10.7498/aps.74.20250575
|
| [2] |
Ji Hui-Hui, Gao Xing-Guo, Li Zhi-Lan. Dimensionality driven exchange coupling effect in cuprate-manganite superlattices. Acta Physica Sinica,
2024, 73(21): 216102.
doi: 10.7498/aps.73.20240849
|
| [3] |
Shi Hong-Chao, Tang Bing, Liu Chao-Fei. Effect of interlayer exchange coupling interaction on topological phase of a bilayer honeycomb Heisenberg ferromagnet. Acta Physica Sinica,
2024, 73(13): 137501.
doi: 10.7498/aps.73.20240437
|
| [4] |
Feng Jia-Feng, Chen Xing, Wei Hong-Xiang, Chen Peng, Lan Gui-Bin, Liu Yao-Wen, Guo Jing-Hong, Huang Hui, Han Xiu-Feng. Key performance of tunneling magnetoresistance sensing unit modulated by exchange bias of free layer. Acta Physica Sinica,
2023, 72(19): 197103.
doi: 10.7498/aps.72.20231003
|
| [5] |
Zhang Jian-Qiang, Qin Yan-Jun, Fang Zheng, Fan Xiao-Zhen, Ma Yun, Li Wen-Zhong, Yang Hui-Ya, Kuang Fu-Li, Zhai Yao, Shi Ying-Long, Dang Wen-Qiang, Ye Hui-Qun, Fang Yun-Zhang. Regulation mechanism of giant magneto-impedance effect of multi-field coupling Fe-based alloy. Acta Physica Sinica,
2022, 71(23): 237501.
doi: 10.7498/aps.71.20221376
|
| [6] |
Shi Li-Yu, Wu Dong, Wang Zi-Xiao, Lin Tong, Zhang Si-Jie, Liu Qiao-Mei, Hu Tian-Chen, Dong Tao, Wang Nan-Lin. Terahertz emission spectrum of polar antiferromagnet Fe2Mo3O8. Acta Physica Sinica,
2020, 69(20): 204206.
doi: 10.7498/aps.69.20201545
|
| [7] |
Chen Tao, Yan Bo. Laser cooling and trapping of polar molecules. Acta Physica Sinica,
2019, 68(4): 043701.
doi: 10.7498/aps.68.20181655
|
| [8] |
Lu Bo, Wang Da-Jun. Ultracold dipolar molecules. Acta Physica Sinica,
2019, 68(4): 043301.
doi: 10.7498/aps.68.20182274
|
| [9] |
Chen Ai-Tian, Zhao Yong-Gang. Progress of converse magnetoelectric coupling effect in multiferroic heterostructures. Acta Physica Sinica,
2018, 67(15): 157513.
doi: 10.7498/aps.67.20181272
|
| [10] |
Shen Jian-Xin, Shang Da-Shan, Sun Young. Fundamental circuit element and nonvolatile memory based on magnetoelectric effect. Acta Physica Sinica,
2018, 67(12): 127501.
doi: 10.7498/aps.67.20180712
|
| [11] |
Wu Mei-Xia, Li Man-Rong. Multiferroic properties of exotic double perovskite A2BB' O6. Acta Physica Sinica,
2018, 67(15): 157510.
doi: 10.7498/aps.67.20180817
|
| [12] |
Yu Bin, Hu Zhong-Qiang, Cheng Yu-Xin, Peng Bin, Zhou Zi-Yao, Liu Ming. Recent progress of multiferroic magnetoelectric devices. Acta Physica Sinica,
2018, 67(15): 157507.
doi: 10.7498/aps.67.20180857
|
| [13] |
Zhang Yuan, Gao Yan-Jun, Hu Cheng, Tan Xing-Yi, Qiu Da, Zhang Ting-Ting, Zhu Yong-Dan, Li Mei-Ya. Optimization design for magnetoelectric coupling property of the magnet/bimorph composite. Acta Physica Sinica,
2016, 65(16): 167501.
doi: 10.7498/aps.65.167501
|
| [14] |
Li Yong-Chao, Zhou Hang, Pan Dan-Feng, Zhang Hao, Wan Jian-Guo. Exchange bias effect and magnetoelectric coupling behaviors in multiferroic Co/Co3O4/PZT composite thin films. Acta Physica Sinica,
2015, 64(9): 097701.
doi: 10.7498/aps.64.097701
|
| [15] |
Li Yan-Jie, Liu Jin-Ming. Tripartite quantum correlations of polar molecules in pendular states. Acta Physica Sinica,
2014, 63(20): 200302.
doi: 10.7498/aps.63.200302
|
| [16] |
Cui Ping, Lu Yang, Ji Ai-Ling, Sun Gang, Lu Kun-Quan, Wang Xue-Zhao, Shen Rong. Electrical conduction mechanism in polar molecule dominated electrorheological fluid. Acta Physica Sinica,
2010, 59(10): 7144-7148.
doi: 10.7498/aps.59.7144
|
| [17] |
Wang Xian-Jie, Sui Yu, Qian Zheng-Nan, Cheng Jin-Guang, Liu Zhi-Guo, Li Yan, Su Wen-Hui, Ong C. K.. Large intragranular low field magnetoresistance in polycrystalline Sr2Fe1-xAlxMoO6 compounds. Acta Physica Sinica,
2005, 54(2): 907-911.
doi: 10.7498/aps.54.907
|
| [18] |
WANG YI-ZHONG, HU JI-FAN, ZHANG SHAO-YING, ZHANG HONG-WEI, SHEN BAO-GEN. MAGNETIC PROPERTIES OF Nd-Fe(Co,Nb)-B EXCHANGE COUPLING MAGNET. Acta Physica Sinica,
1999, 48(3): 520-526.
doi: 10.7498/aps.48.520
|
| [19] |
HUANG ZHUO-HE, CHEN CHUAN-YU, LIANG SHI-DONG. STRONG COUPLING POLARON WITHIN POLAR CRYSTAL SLAB IN A MAGNETIC FIELD. Acta Physica Sinica,
1997, 46(4): 715-723.
doi: 10.7498/aps.46.715
|
| [20] |
CHEN HUI-YU, LUO YOU-QUAN, ZHU HONG, WEN LIN-QING. UNIDIRECTIONAL ANISOTROPY MAGNETORESISTANCE AND EXCHANGE COUPLING IN 81 NiFe/Cr MULTILAYER. Acta Physica Sinica,
1994, 43(7): 1185-1191.
doi: 10.7498/aps.43.1185
|