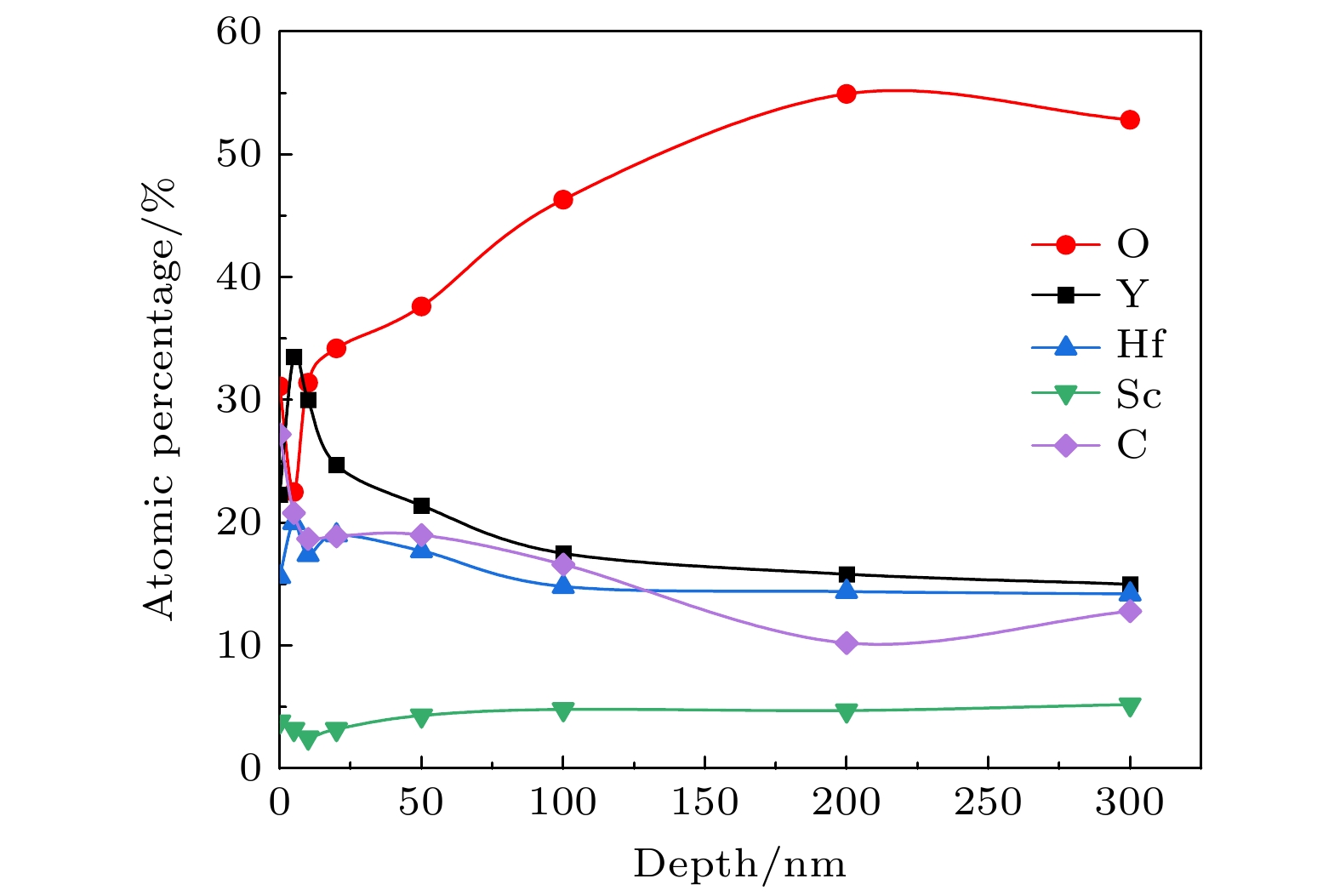
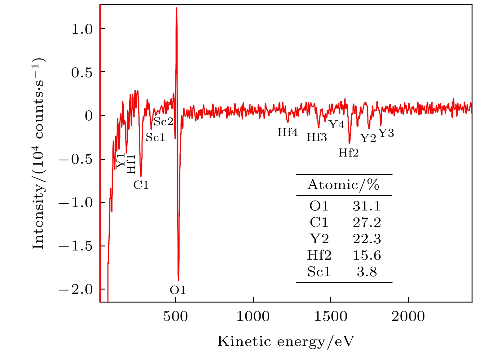
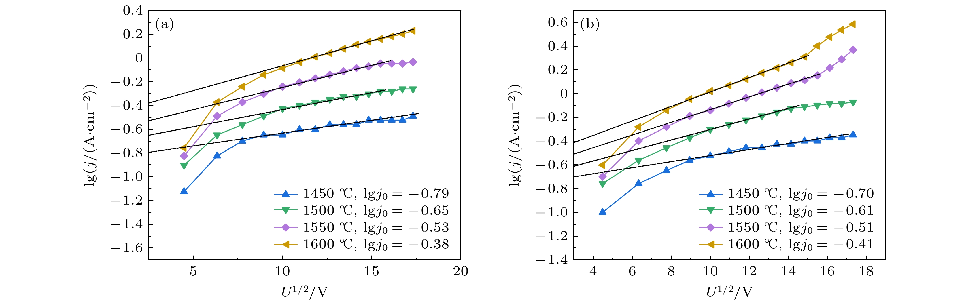
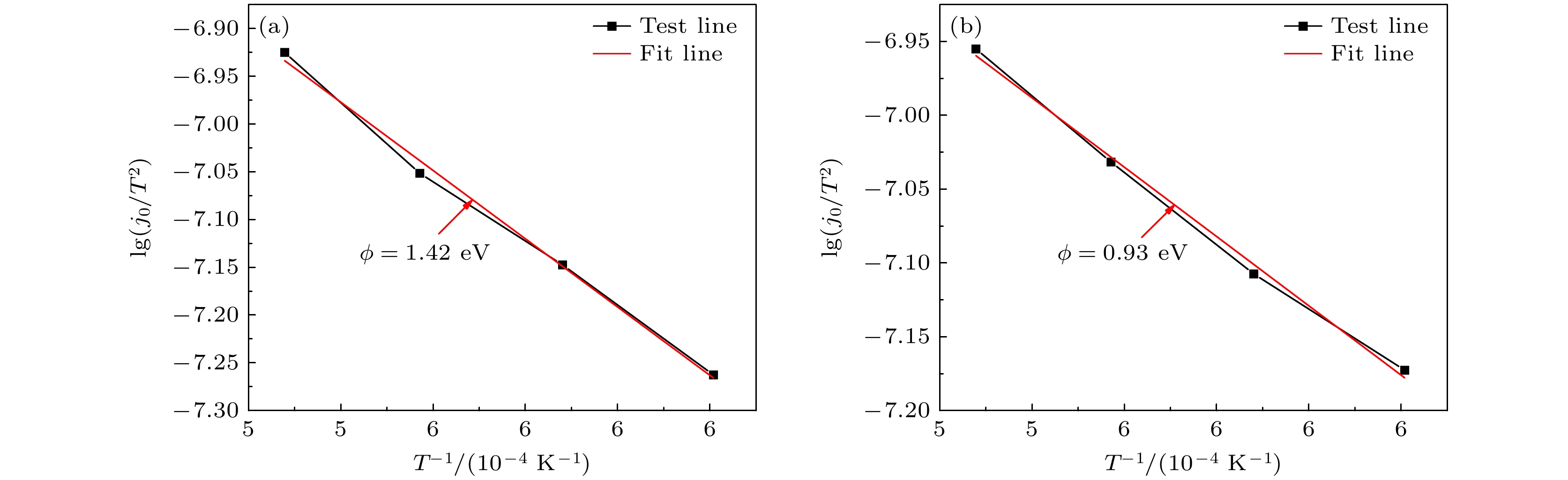
To improve the thermionic emission performance of the rare-earth refractory yttrium salt cathode used in the magnetron, the influence of Sc2O3 doping on its thermionic emission properties is investigated. Cathodes are fabricated by incorporating different weight percentages of Sc2O3 into the rare-earth refractory yttrium salt matrix, and their thermionic emission properties are systematically evaluated. The experimental findings reveal that the doping of Sc2O3 significantly enhances the thermionic emission capability of the cathode. Notably, Sc2O3 with a doping concentration of 3% has the most significant improvement in emission performance. The 3% Sc2O3-doped cathode can achieve a thermionic emission current density of 3.85 A/cm2 under an anode voltage of 300 V at 1600 ℃. In contrast, under the same conditions, the undoped cathode provides a current density of only 1.66 A/cm2, indicating a 132% increase in thermionic emission efficiency when doped with 3% Sc2O3. By using the Richardson line method coupled with data-fitting algorithms, the absolute zero work functions for undoped and Sc2O3-doped cathodes (3%, 7%, and 11%) are determined to be 1.42, 0.93, 0.98, and 1.11 eV, respectively. The lifespan assessment indicates that at 1400℃ the cathode doped with 3% Sc2O3 remains stable for over 4200 h under an initial load of 0.5 A/cm2 without significant degradation. Finally, those cathodes are analyzed by the XRD, SEM, EDS, AES respectively. The analyses show that during thermionic emission testing, the Sc2O3 and Y2Hf2O7 undergo substitutional solid solution reactions, forming the ScxY(2–x)Hf2O[7+(3/2)x] solid solution. This process causes lattice distortion in the Y2Hf2O7, which makes it in a high-energy state, thus reducing the work function on the cathode surface. At the same time, Sc from Sc2O3 displaces Y in the Y2Hf2O7 unit cells, with the displaced Y existing in the form of metal, which enhances the electrical conductivity of the cathode surface. Additionally, the ScxY(2–x)Hf2O[7+(3/2)x] solid solution generates a substantial number of Vo2+ oxygen vacancies and free electrons, thereby further augmenting surface conductivity. All in all, these mechanisms contribute to significantly improving the thermionic emission capability of the cathode.