-
As the core power unit of new energy vehicles, the accurate modeling of power batteries is of great significance for evaluating their operating status, diagnosing faults throughout their lifecycle, and ensuring safety control under multiple operating conditions. The electrochemical model represented by the P2D model serves as a mechanistic model that can characterize the internal electrochemical reaction process of batteries on a microscale. Its accurate description of the aging and heating behavior of power batteries is an important basis for evaluating the capacity degradation, increase in internal resistance, uneven heating, and inconsistent performance of battery modules. The paper summarizes the latest advances in electrochemical modeling of lithium-ion power batteries, analyzes the coupling methods and application status of electrochemical models with equivalent circuit models, aging models, and thermal models, and focuses on the problem of numerous parameters and difficult identification of electrochemical models. In this paper, the advantages and disadvantages of the single particle model, single particle model with electrolyte, electrochemical mean model, solid-liquid phase reconstruction model, one-dimensional electrochemical model and other methods are compared with each other and analyzed for reducing the order of power battery electrochemical models, the key difficulties in characterizing electrochemical model order reduction are pointed out, and the research trends of electrochemical model reduction order reconstruction methods are prospected, in order to provide direction for the research on electrochemical model reduction order reconstruction of power batteries.
-
Keywords:
- power battery /
- electrochemical model /
- reduced order reconstruction /
- model coupling
[1] [2] [3] [4] [5] [6] [7] [8] [9] [10] [11] [12] [13] [14] [15] [16] [17] [18] [19] [20] [21] [22] [23] [24] [25] [26] [27] [28] [29] [30] [31] [32] [33] [34] [35] [36] [37] [38] [39] [40] [41] [42] [43] [44] [45] [46] [47] [48] [49] [50] [51] [52] [53] [54] [55] [56] [57] [58] [59] [60] [61] [62] [63] [64] [65] [66] [67] [68] [69] [70] [71] [72] [73] [74] -
状态 控制方程 边界条件 固相锂离子浓度 $ \dfrac{{\partial {c_{\text{s}}}}}{{\partial t}} = \dfrac{1}{{{r^2}}}\dfrac{\partial }{{\partial r}}\left( {{r^2}{D_{\text{s}}}\dfrac{{\partial {c_{\text{s}}}}}{{\partial r}}} \right) $ $ {D_{\text{s}}}\dfrac{{\partial {c_{\text{s}}}}}{{\partial r}}{\Big|_{r = 0}} = 0,\;\; {D_{\text{s}}}\dfrac{{\partial {c_{\text{s}}}}}{{\partial r}}{\Big|_{r = {R_{\text{s}}}}} = - \dfrac{j}{F} $ 液相锂离子浓度 $ \varepsilon \dfrac{{\partial {c_{\text{l}}}}}{{\partial t}} = \dfrac{\partial }{{\partial x}}\left( {{D_{\text{l}}}\dfrac{{\partial {c_{\text{l}}}}}{{\partial x}}} \right) + \left( {1 - {t^ + }} \right)\dfrac{{\nabla {i_{\text{l}}}}}{F} $ $ {D_{\text{l}}}\dfrac{{\partial {c_{\text{l}}}}}{{\partial x}}{\Big|_{x = 0}} = {D_{\text{l}}}\dfrac{{\partial {c_{\text{l}}}}}{{\partial x}}{\Big|_{x = L}} = 0 $ 固相电势 $ {i_{\text{s}}} + {\sigma _{\text{s}}}\nabla {\phi _{\text{s}}} = 0 $ $ {i_{\text{s}}}{|_{x = 0}} = {i_{\text{s}}}{|_{x = L}} = I $ 液相电势 $ {i_{\text{l}}} = - {\sigma _{\text{l}}}\nabla {\phi _{\text{l}}} + \dfrac{{2 RT{\sigma _{\text{l}}}}}{F}\left( {1 + \dfrac{{\partial \ln f}}{{\partial \ln {c_{\text{l}}}}}} \right)\left( {1 - {t^ + }} \right)\nabla \ln {c_{\text{l}}} $ $ {\sigma _{\text{l}}}\dfrac{{\partial {\phi _{\text{l}}}}}{{\partial x}}{\Big|_{x = 0}} = {\sigma _{\text{l}}}\dfrac{{\partial {\phi _{\text{l}}}}}{{\partial x}}{\Big|_{x = L}} = 0 $ 模型
名称降阶电化学模型图 降阶条件 优势 不足 适用电池 相关文献 P2D
模型见附录B
图B1常使用的电化学模型, 在该模型基础上降阶电化学模型 模型精确度高 参数辨识困难, 计算复杂, 适用性差 具有很强的通用性, 基本适用于所有锂离子电池 [9,13,
15,20]SPM
模型见附录B
图B2假设 1: 固相锂离子浓度沿电极厚度方向上均匀分布;
假设 2: 交换电流密度i0(x, t)用其均值代替;
假设 3: 固-液相界面的反应电流密度 j(x, t)沿电极厚度方向均匀分布;
假设 4: 电池内部液相浓度和电势均为不随时间改变的定值模型求解简单, 在低倍率情况下效果较好 高倍率和动态工况下误差会变大 低极化特性的正极材料(LiFePO4)/石墨体系的锂离子电池 [30,31] SPMe
模型见附录B
图B3假设 1: 固相锂离子浓度沿电极厚度方向上均匀分布;
假设 2: 交换电流密度i0(x, t)用其均值代替;
假设 3: 固-液相界面的反应电流密度 j(x, t)沿电极厚度方向均匀分布模型精度较SPM模型而言更高 电流变化剧烈的动态工况下, 误差会大 三元锂离子电池、磷酸铁锂离子电池等液态电解质锂离子电池 [41,43,44] 电化学
平均值
模型见附录B
图B4(a)假设 1: 电解液中锂离子浓度恒定不变;
假设 2: 在正、负电极中, 分别用锂离子反应电流密度的平均值取代锂离子反应电流密度沿电极厚度方向的值计算简单, 低倍率下精度高 无法精确描述电池在高倍率充放电和变电流密度等动态工况下的变化, 会使模型精度下降 正极为LiCoO2, 负极为MCMB2528电解质溶质为LiPF6, 溶剂为EC和DEC混合物的锂离子电池 [47] 见附录B
图B4(b)假设 1: 反应电流密度用均值代替;
假设 2: 正极固相扩散过程用2阶抛物线近似, 负极固相扩散过程用3阶Padé近似;
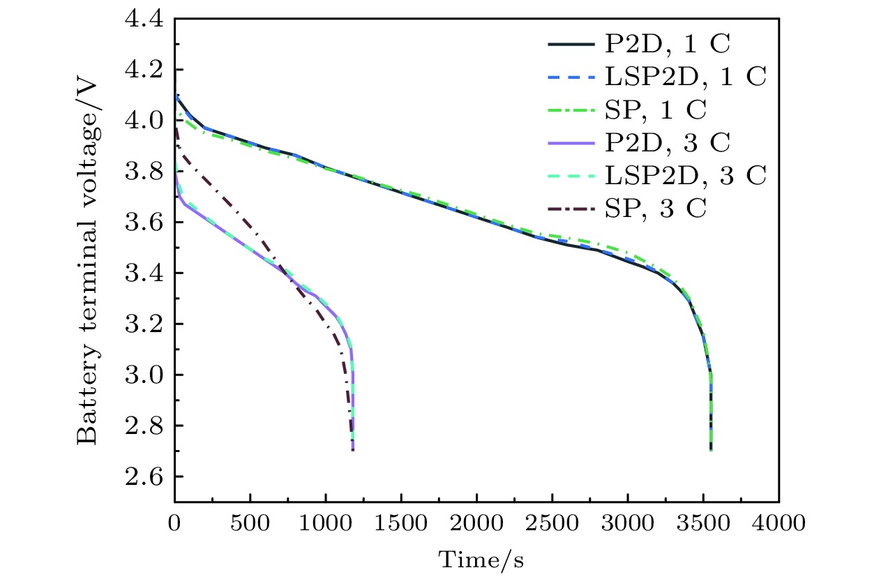
假设3: 液相扩散过程用体积平均法近似精度随着Padé近似的阶数增长 近似阶数增大, 其所需的变量也会相应增加, 计算难度增大 正负极为LiyMn2O4/LixC6的锂离子电池单元 [46,48] LSP2D
模型见附录B
图B5(a)假设 1: 用反应电流密度的平均值取代锂离子反应电流密度沿电极厚度方向的值;
假设 2: 用2参数抛物线近似描述固相扩散过程;
假设 3: 用3参数抛物线近似描述液相扩散过程降阶重构了参数间的耦合关系, 精度较SPM而言更高 当外界工作条件变化剧烈时, 实际的固液相锂离子浓度变化偏离抛物线变化情况严重, 精度会下降 磷酸铁锂离子电池 [63] 见附录B
图B5(b)假设 1: 液相锂离子浓度恒定;
假设 2: 固相扩散过程用3参数近似模型该模型简单的运算使得参数辨识更加容易 液相变化精度不足 18650三元锂
离子电池[53,54] 见附录B
图B5(c)假设 1: 忽略电极内部反应不均匀分布效应, 反应电流密度用工作电流密度近似;
假设 2: 电极用单个颗粒近似, 固相浓度分布服从三参数抛物线分布, 液相浓度分布服从二参数抛物线近似;
假设 3: 两电极反应极化程度相同, 固相扩散过程相同;
假设 4: 电池内部温度对模型参数的影响忽略不计整体精度表现较好, 还可以建立电池内部与外电路电流密度的关系 仅在截止电压部分有较大误差 正极为LiCoO2负极为石墨的锂离子电池 [61,62] 一维
模型见附录B
图B6假设 1: 参数恒定;
假设 2: 固相液相交界面处的锂离子反应电流密度j与液相锂离子浓度cl解耦, 并认为 cl 恒定维度更低涉及的状态量更少, 模型求解更简单 对于高放电电流密度或快速充放电等复杂工况, 一维模型无法准确反应电池内部动态相应, 精度下降 正极为LiCoO2, 负极为MCMB2528的锂离子电池 [68] 参数类型 参数名称 测试方法 测试设备 测算方法 动力学参数 固相扩散系数 恒流间歇滴定 充放电测试仪 测得 液相扩散系数 恒流间歇滴定 充放电测试仪 计算 液相电导率 四电极测量 电导率仪 测得 固相电导率 恒流间歇滴定 充放电测试仪 计算 反应速率常数 阻抗谱测试 电化学工作站 测得 反应电流密度 扫描伏安法 电化学工作站 计算 交换电流密度 扫描伏安法 电化学工作站 计算 固相电流密度 扫描伏安法 电化学工作站 计算 液相电流密度 扫描伏安法 电化学工作站 计算 浓度场参数 固相浓度 恒流间歇滴定 充放电测试仪 计算 固相表面浓度 恒流间歇滴定 充放电测试仪 计算 液相浓度 扫描伏安法 电化学工作站 计算 液相体积分数 NMR测试法 NMR波谱仪 计算 电相关参数 过电势 差值法 电化学工作站 计算 液相电势 微电极技术测量 电化学工作站 计算 固相电势 三电极体系法 电化学工作站 测得 开路电压 电压表直接测量法 电压表 测得 模型名称 参数 物理含义 来源 对模型准确性影响 SPM+SPMe 平均固相锂离子浓度 用平均值描述整体的固相锂离子浓度, 忽略了固相在不同电极位置处的浓度差异. [33]
[34,43]在高倍率下忽略固相锂离子浓度的动态变化会进一步造成过电位的偏差. 平均交换电流密度 用平均值描述整体的交换电流密度, 忽略了其在不同电极位置处的差异性. 在高倍率下实际交换电流密度严重偏离平均值, 导致极化电压预测偏差. SPM+SPMe+电化学平均值模型 平均反应电流密度 用平均值描述整体的反应电流密度, 忽略了其在不同电极位置处的差异性. [43,33]
[34,47]在高倍率情况下会导致局部过电位的变化被忽略, 进而影响模型输出电压. SPM+电化学平均值模型 平均液相锂离子浓度 用平均值描述整体的液相锂离子浓度, 忽略了其动态变化. [43,47] 在高倍率情况下, 电解液浓度梯度变化显著, 平均化会低估浓差极化, 进而影响输出电压. LSP2D 体积平均浓度 描述固相锂离子浓度的体积平均值, 体现在微观颗粒层面. [51,52] 直接影响模型在稳态下的容量预测, 会导致SOC估计偏差. 表面浓度 描述固相颗粒表面的锂离子浓度. 会影响交换电流密度和极化电压的计算进而影响输出端电压. 体积平均浓度通量 描述固相锂离子浓度相对于系统中位置的平均变化. 和浓度梯度密切相关, 会导致扩散极化现象的预测偏差. -
[1] [2] [3] [4] [5] [6] [7] [8] [9] [10] [11] [12] [13] [14] [15] [16] [17] [18] [19] [20] [21] [22] [23] [24] [25] [26] [27] [28] [29] [30] [31] [32] [33] [34] [35] [36] [37] [38] [39] [40] [41] [42] [43] [44] [45] [46] [47] [48] [49] [50] [51] [52] [53] [54] [55] [56] [57] [58] [59] [60] [61] [62] [63] [64] [65] [66] [67] [68] [69] [70] [71] [72] [73] [74]
Catalog
Metrics
- Abstract views: 953
- PDF Downloads: 57
- Cited By: 0









DownLoad: