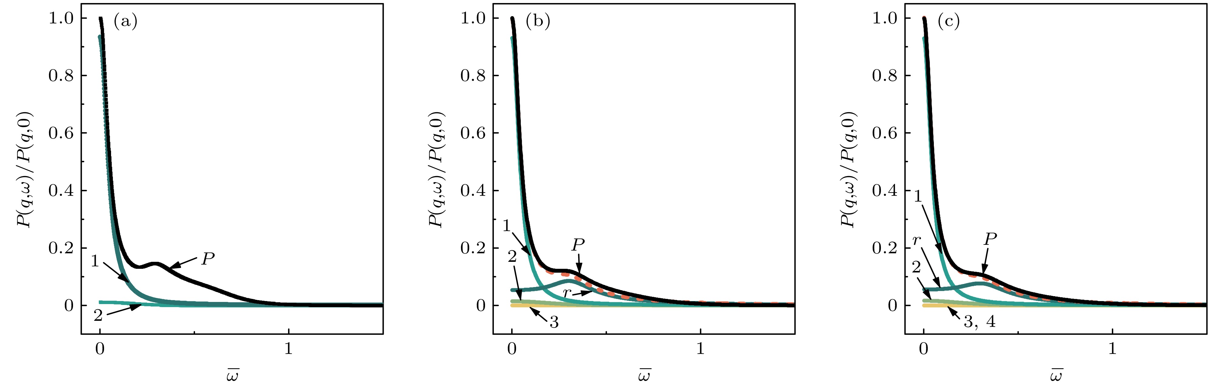
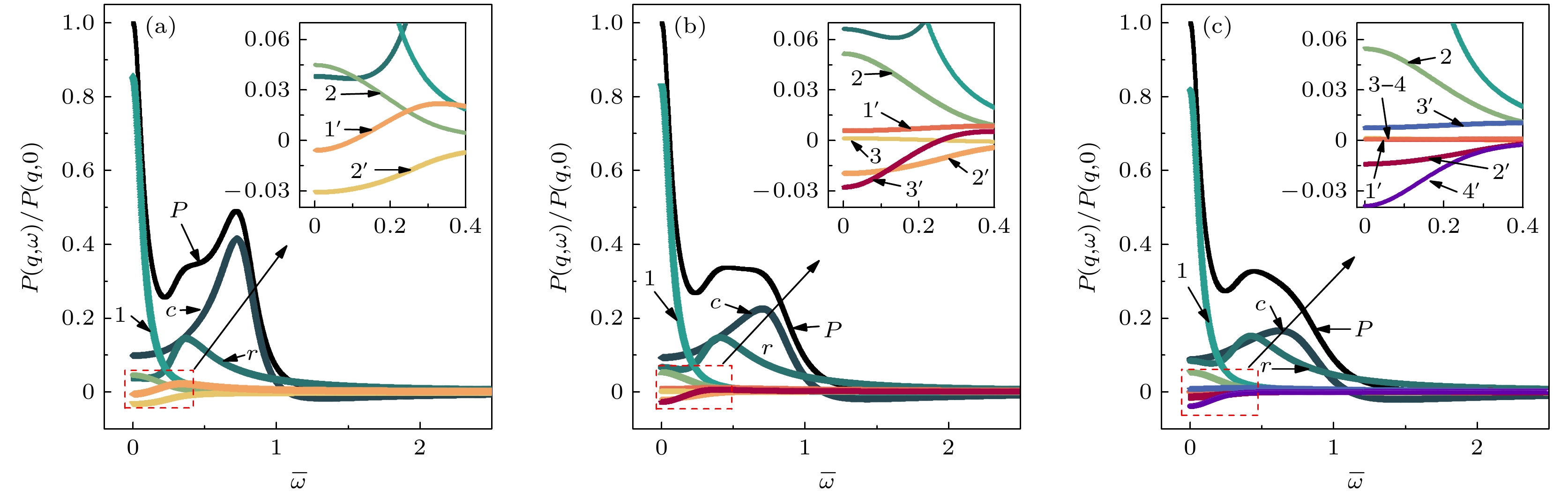
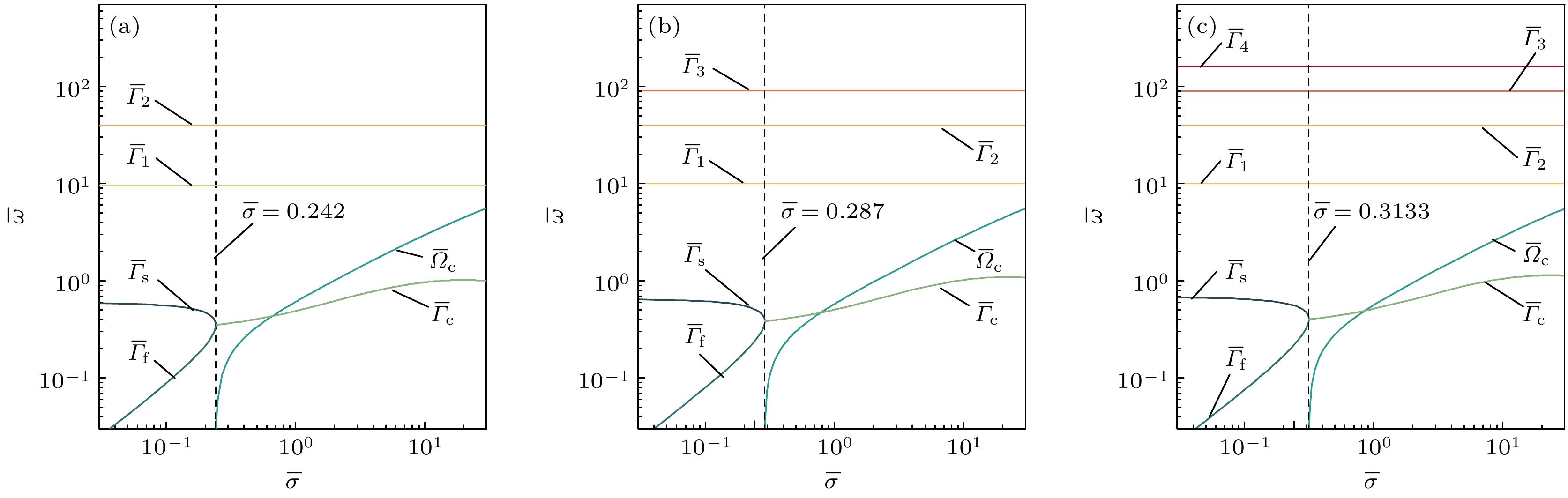
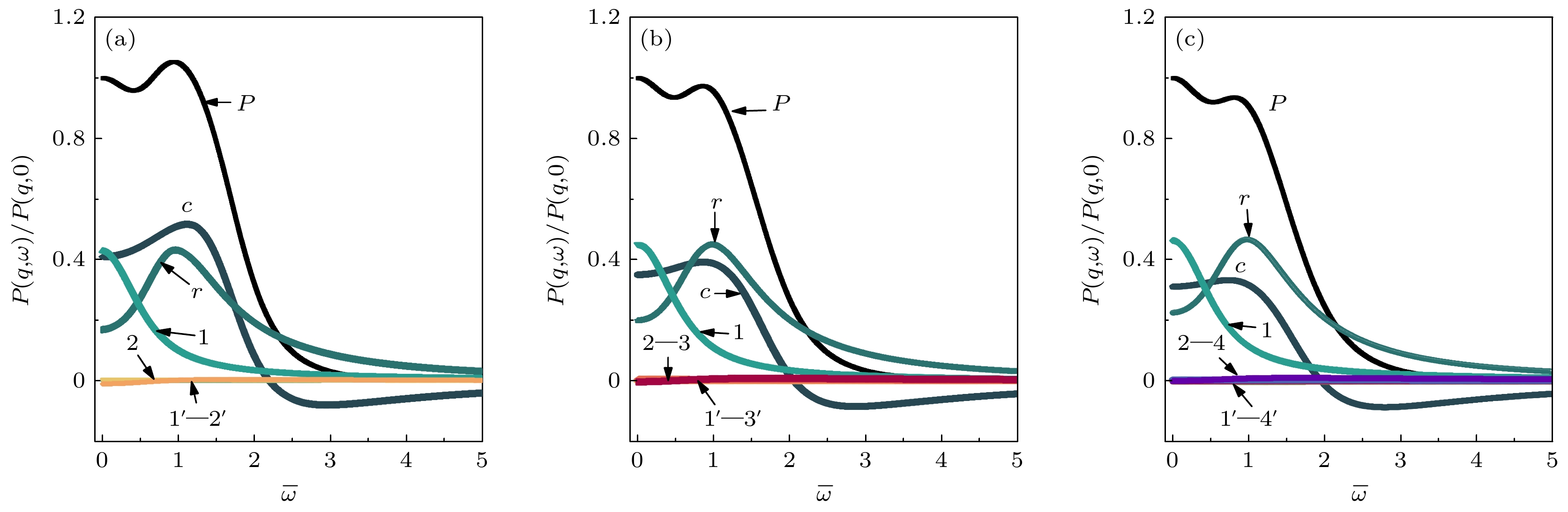
The study of surface wave dispersion equations in viscoelastic non-Newtonian fluids is the foundation for characterizing the thermophysical properties by using surface light scattering techniques. Unlike Newtonian fluids, non-Newtonian systems have the complex viscosity with nonlinear frequency behavior and stress relaxation time-dependent behavior. Consequently, the development of constitutive models capable of accurately capturing these complex viscosity characteristics is critical. Based on the multi-relaxation-time Maxwell framework, this work establishes a method of explicitly solving the surface wave dispersion equation through modal decomposition of the total power spectrum, which can systematically analyze the influence of relaxation time parameters on surface wave mode distributions. This study quantitatively correlates the number of relaxation time parameters in the constitutive model with the nonlinear response capacity of the system. These findings provide a theoretical foundation for precisely determining the surface wave characteristics in non-Newtonian fluids and advance the application of surface light scattering method to the measurement of thermophysical properties in viscoelastic fluid systems.Based on a multi-relaxation-time Maxwell model, the complex viscosity is formulated by combining multiple stress relaxation time. Utilizing non-depersonalization and polynomial decomposition, we derive the governing equations for surface wave dispersion and the associated power spectrum. By systematically varying the parameter n and dimensionless variables, the roots of the dispersion equations are analyzed to study surface wave modes—including capillary, elastic waves, and overdamped modes—and their spectral signatures. A partial fraction expansion method is employed to decouple the total power spectrum into explicit modal contributions. This method demonstrates how the relaxation parameters determine the distribution of surface wave modes, thereby clarifying the inherent multimodal relaxation dynamics of complex fluids.The proposed framework extends the classical Maxwell model by integrating multiple relaxation times, with a focus on surface wave dispersion behavior and spectral response. Theoretically, it quantifies the influence of relaxation time on the number and topological properties of roots in the complex plane. Furthermore, by correlating the dynamic behaviors of these roots with physical constraints, this study establishes criteria for the existence of different surface wave modes and evaluates their relative contributions to the power spectrum.When the elastic modulus is low and approaches Newtonian fluid behavior, increasing the number of relaxation time parameters n will increase the critical threshold for surface wave mode transition. This simultaneously generates n purely imaginary roots corresponding to overdamped modes. At higher elastic modulus, the critical threshold vanishes and is replaced by an oscillation-dominated regime requiring power spectrum analysis to solve surface wave dynamics problems. Larger n values reduce the spatial extent of this oscillatory regime.In systems with low elastic modulus, n mainly modulates the peak amplitudes in the power spectrum rather than changing its overall shape. Near the oscillation region, the power spectrum clearly distinguishes the contributions from capillary waves, elastic waves, and overdamped modes. Increasing n can enhance the strengths of elasticity and overdamped mode while suppressing the dominance of capillary wave. By incorporating additional relaxation time, the model gains enhance the resolution of multimodal relaxation dynamics, enabling precise characterization of viscoelasticity in complex non-Newtonian fluids.We improve the complex viscosity model by increasing the number of stress relaxation time parameters n. Through the theoretical analysis of parameter variations under different conditions, the surface wave characteristics of non-Newtonian viscoelastic fluids are systematically investigated. The main conclusions are shown below. First, increasing the number of relaxation time parameters n will increase the number of roots in the dispersion equation, introducing additional relaxation modes manifested as low-frequency overdamped behavior. Second, increasing stress relaxation time τ will induce a critical oscillation regime, at which point power spectrum analysis is required for surface wave dynamics. Increasing n can reduce the spatial extent of this regime or even enables its complete avoidance. Third, under identical parameters, higher n suppresses surface tension-driven capillary wave intensity while enhancing elastic wave dominance. Variations in n quantitatively reflect the viscoelastic heterogeneity of polymer networks. Fourth, selecting appropriate n values can tailor the ability of model to resolve specific relaxation modes, making it suitable for different viscoelastic non-Newtonian fluids.