Vol. 74, No. 17 (2025)
2025-09-05
SPECIAL TOPIC—2D materials and future information devices·COVER ARTICLE
COVER ARTICLE
SPECIAL TOPIC—High-pressure modulation and in situ characterization of optoelectronic properties
EDITOR'S SUGGESTION
2025, 74 (17): 176802.
doi: 10.7498/aps.74.20250498
Abstract +
Semiconducting transition metal chalcogenides exhibit layer-dependent bandgaps, strong excitonic effects, and spin-valley coupling, positioning them as promising candidates for optoelectronic applications. In heterostructures formed by van der Waals stacking, interlayer excitons and moiré superlattices have emerged as a unique platform for exploring quantum many-body physics and correlated electronic phases. Subjecting semiconducting transition metal dichalcogenides and their heterostructures to high pressure enables precise, continuous tuning of optoelectronic properties through anisotropic lattice compression, particularly the dramatic reduction of interlayer distances, which greatly enhances interlayer orbital hybridization over traditional tuning methods. This review systematically presents diamond anvil cell techniques for in situ high-pressure characterization and analyzes the pressure-induced evolution in semiconducting transition metal dichalcogenides and their heterostructures. It focuses on four key aspects: 1) Atomic-scale structural phase transitions (e.g., layer sliding) and corresponding electronic band structure modifications, including direct-to-indirect bandgap transitions in monolayers (K-Λ crossover) and metallization/superconductivity; 2) Quantifiable enhancement of interlayer interactions revealed by layer-dependent phonon shifts and spin-orbit splitting amplification, along with the mechanisms of their influence on properties; 3) Modulation of exciton binding states and related mechanisms, covering intralayer excitons, trions and interlayer excitons; 4) Moiré potential modulation where high pressure significantly deepens potentials via interlayer compression. This review particularly highlights the unique capability of high pressure in enhancing interlayer orbital hybridization, thereby inducing exotic quantum phases. Finally, the future research directions in this field are outlined to advance quantum information device design, strongly correlated electron system simulation, and the novel excitonic state exploration.
EDITOR'S SUGGESTION
2025, 74 (17): 170701.
doi: 10.7498/aps.74.20250635
Abstract +
Piezochromic luminescent materials with multi-color switching have received considerable attention in fields such as displays, sensors, and biomedicine. However, enhancing the sensitivity of piezochromic color change through rational molecular design remains a significant challenge. Herein, we report the design, synthesis and high-pressure study of two 9-fluorenone derivatives of DPA (diphenylamine)-FO and DMAcr (9,9-dimethylcarbazine)-FO, realizing pronounced piezochromic phenomena in both emission colors and crystal colors. DPA-FO features a classic donor–acceptor molecular architecture. Its emission wavelength is highly sensitive to the solvent polarity, and as polarity increases, the redshift continues, indicating the emission nature of intramolecular charge transfer (ICT) luminescence. Under pressure, the emission color gradually changes from yellow to reddish brown, and a pressure coefficient of the emission wavelength is 10.7 nm/GPa. To amplify the piezochromic response, the donor unit is strategically modified by replacing the DPA group with DMAcr, a donor with stronger electron-donating ability. The resulting compound, DMAcr-FO, exhibits a more pronounced ICT process, as evidenced by its higher sensitivity of luminescence to solvent polarity. Under pressure, its emission color gradually changes from yellow to deep red. Correspondingly, the pressure coefficient of the emission wavelength increases 17.5 nm/GPa. Pressure-dependent UV-Vis absorption spectra reveal a continuous redshift in the absorption edge of both derivatives, attributed to structural shrinkage caused by enhanced orbital coupling. Notably, DMAcr-FO exhibits more significant changes in absorption edge and Stokes shift, indicating more substantial structural deformation under pressure. In addition, compared with DPA-FO, the infrared (IR) modes of DMAcr-FO present higher shifting rates with the increase of pressure, which also supports the above conclusion. Meanwhile, with the increase of pressure, the considerable structural distortion is also one of the factors that make DMAcr-FO has a more significant piezochromic phenomenon. This study not only deepens the understanding of structure–property relationships in piezochromic materials but also offers a viable strategy for designing high-performance piezo-responsive luminophores through tailored molecular engineering.
2025, 74 (17): 177102.
doi: 10.7498/aps.74.20250287
Abstract +
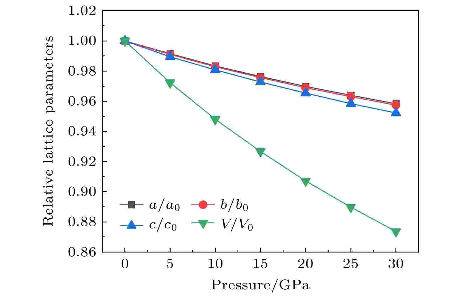
The effects of pressure on the crystal structure, elastic properties, and electronic characteristics of Al4In2N6 are systematically studied using first-principles density functional theory. The lattice constants of Al4In2N6 decrease with the increase of pressure, exhibiting anisotropic compression with greater compressibility along the c-axis. In terms of mechanical properties, the bulk modulus increases with the increase of pressure, indicating enhanced compressive resistance. Notably, the Vickers hardness decreases with the increase of pressure, indicating that high pressure can induce plastic deformation in Al4In2N6. The calculations of elastic constants and phonon spectra confirm that Al4In2N6 retains mechanical and dynamical stability in the pressure range of 0–30 GPa. Electronic structure calculations reveal that Al4In2N6 possesses a direct band gap, and non-overlapping conduction and valence bands at the Fermi level. The conduction band has a higher carrier mobility than the valence band. The band gap increases almost linearly with pressure rising from 3.35 eV at 0 GPa to 4.24 eV at 30 GPa, demonstrating significant pressure-induced modulation of the electronic structure. Furthermore, the analysis of differential charge densities reveals that increasing pressure can strengthen the Al-N and In-N bonds in Al4In2N6 through shortened interatomic distances and stronger atomic interactions, increasing its compression resistance. In summary, this study not only deepens our understanding of the high-pressure properties of Al4In2N6 but also provides theoretical guidance for its application in UV optoelectronics. Pressure-driven modulation of its mechanical and electronic characteristics highlights its potential in efficient high-pressure optoelectronic devices and materials.
EDITOR'S SUGGESTION
2025, 74 (17): 177801.
doi: 10.7498/aps.74.20250893
Abstract +
HfS2, as a typical IVB group transition metal dichalcogenide (TMD) material, has shown great potential applications in various fields such as photo-sensing, communication, and imaging due to its high carrier mobility and interlayer current density characteristics. Recent studies have revealed the significant role of pressure in modulating the spectral response range and electrical transport properties of TMDs, which has aroused our interest in studying the pressure regulation of the optoelectronic properties of HfS2. In this study, diamond anvil cell based high-pressure in-situ photocurrent, Raman scattering spectroscopy, alternating current impedance spectroscopy, ultraviolet-visible absorption spectroscopy measurements, and combined first-principles calculations are used to systematically investigate the effects of pressure on the electrical transport and optoelectronic properties of HfS2. The experimental results show that the photocurrent of HfS2 continuously increases with pressure rising. Within a pressure range of 0–10.2 GPa, the photocurrent and response of HfS2 show a rapid upward trend with pressure rising; at 10.2 GPa, the photocurrent and response of HfS2 (Iph = 0.32 μA, R = 8.19 μA/W) are about three orders of magnitude higher than their initial values at 0.5 GPa (Iph = 1.40 × 10–4 μA, R = 3.56 × 10–3 μA/W). At the pressure above 10.2 GPa, the growth rate of photocurrent and response slow down significantly, which are related to the structural phase transition of HfS2 near 10.0 GPa. Further compression to 30.1 GPa results in a maximum photocurrent of 3.35 μA, which is five orders of magnitude higher than its initial value at 0.5 GPa. This significant enhancement is attributed to the strengthening of S-S interlayer interaction forces under pressure, which leads band gap and resistivity to decrease. In addition, based on the modified Becke-Johnson (mBJ) exchange-correlation potential, the electronic band structure and optical properties of HfS2 in its initial phase are calculated and analyzed using WIEN2K software package. The calculation results show that with the increase of pressure, the optical absorption coefficient and the real part of the photoconductivity of HfS2 along the c-axis significantly increase, which further reveals the intrinsic physical mechanism of the enhanced photoresponse of HfS2 under pressure. This study offers a new insight into pressure regulated optoelectronic properties of layered materials.
2025, 74 (17): 178401.
doi: 10.7498/aps.74.20250613
Abstract +
Environmentally friendly lead-free double perovskite materials have emerged as promising alternatives to lead-based perovskites due to their excellent optoelectronic properties and improved stability. In this study, a highly crystalline lead-free double perovskite, Cs2AgInCl6, is synthesized via a mild hydrothermal method, and its pressure-induced structural evolution and optoelectronic regulation up to 41.1 GPa are systematically investigated at room temperature by using diamond anvil cell (DAC) technology combined with multiple in-situ characterization methods. High-pressure synchrotron X-ray diffraction reveals a structural phase transition from the cubic phase ($Fm\bar3m $) to the tetragonal phase (I4/m) at 8.9 GPa. In-situ Raman spectroscopy further confirms this transition through the splitting of characteristic phonon modes, indicating enhanced structural anisotropy. Pressure-dependent optical absorption spectra show a distinct reversal in the trend of bandgap evolution during the phase transition, reflecting a strong coupling between the crystal structure and the electronic band structure. Remarkably, the photocurrent exhibits sustained pressure enhancement behavior, reaching twice the ambient pressure value at 41.1 GPa and the maintaining enhanced performance even after the pressure has been released completely, indicating that the structural changes caused by pressure are stable. These findings provide fundamental insights into the pressure-mediated structure-property relationships in lead-free double perovskites and offer viable strategies for optimizing optoelectronic performance through crystal engineering and strain modulation. The retained post-compression functions highlight their potential applications in non-volatile pressure-tunable photodetectors.
EDITOR'S SUGGESTION
2025, 74 (17): 178503.
doi: 10.7498/aps.74.20250693
Abstract +
As a core component of modern optoelectronic systems, photodetectors play an indispensable role in optical communications, environmental monitoring, medical imaging, and military detection. With the rapid development of related technologies, the development of novel photodetector materials featuring high sensitivity, fast response, and excellent stability has become a key research focus. Among various candidate materials, A2BX6-type vacancy-ordered double perovskites have attracted significant attention due to their unique crystal structures and outstanding optoelectronic properties. These materials not only possess tunable bandgap structures and high carrier mobility but also demonstrate excellent environmental stability, showing broad application prospects in the field of photodetection. In this study, the optoelectronic response behaviors of a representative lead-free double perovskite, Cs2TeCl6, under high-pressure conditions are systematically investigated. Precise experimental observations reveal an anomalous transition in photocurrent from decrease to increase when the pressure reaches 21.7 GPa. By employing advanced characterization techniques, including high-pressure in situ Raman spectroscopy, UV-Vis absorption spectroscopy, and synchrotron X-ray diffraction, the underlying physical mechanism are elucidated: At the critical pressure of 18 GPa, the material enters an intensified compression stage, leading to a significantly accelerated bandgap narrowing rate. This continuous reduction in bandgap effectively mitigates the weak absorption limitation of the indirect bandgap, enabling efficient absorption of previously unexcitable low-energy photons and ultimately resulting in enhanced photocurrent. This finding not only clarifies the intrinsic relationship between the structure and optoelectronic properties of Cs2TeCl6 at a microscopic level, but, more importantly, offers new insights into regulating the optoelectronic performance of perovskite materials through pressure engineering. These outcomes in this work provide important guidance for developing novel high-performance photodetection devices and establish a valuable research method of optimizing other semiconductor materials. In the future, by further refining material compositions and pressure modulation strategies, the design and fabrication of more efficient and stable photodetector materials can be anticipated.
SPECIAL TOPIC—Research progress on nickelate superconductors
EDITOR'S SUGGESTION
2025, 74 (17): 177401.
doi: 10.7498/aps.74.20250696
Abstract +
Recent experimental studies on the bilayer Ruddlesden-Popper phase nickelate La3Ni2O7 have shown that in the superconducting region, its superconducting transition temperature decreases monotonically from 83 K at 18 GPa as pressure further increases, exhibiting a nearly right-triangular temperature-pressure phase diagram that is different from the dome-shaped diagrams observed in cuprates and iron-based superconductors under either doping or pressure. It is important to understand this anomalous phase diagram in elucidating the superconducting mechanism of La3Ni2O7. Since the electron-phonon coupling mechanism cannot account for the high superconducting transition temperatures in nickelate superconductors, in this work, the pressure dependence of the transition temperature is investigated from the perspective of the itinerant electrons picture and the local spin picture. By combining the density functional theory (DFT) and the unbiased singular-mode functional renormalization group (SM-FRG) method, it is found that the pairing symmetry is consistently an $s_\pm$-wave, driven by spin fluctuations that become progressively weakened under pressure, thereby decreasing in the superconducting transition temperature, which is in qualitative agreement with the experimental observation. On the other hand, we estimate that the pressure dependence in the local spin picture contradicts with the experimental result. Therefore, the pressure dependence of superconducting transition temperature is more consistent with the itinerant electrons picture. Admittedly, we only made a rough estimation based on the local spin picture. It is expected that further and more detailed research will be conducted on the pressure dependence of superconducting transition temperature from the local spin picture, providing deeper insights into the underlying superconducting mechanism of La3Ni2O7.
EDITOR'S SUGGESTION
2025, 74 (17): 177402.
doi: 10.7498/aps.74.20250856
Abstract +
Nickel-based superconductors have attracted widespread attention due to their electronic configuration similar to that of copper-based high-temperature superconductors. Recently, the discovery of superconductivity with a transition temperature as high as 80 K in the bilayer nickelate La3Ni2O7 under pressure has not only reignited research interest in nickel-based superconductors but also opened new avenues for the study of unconventional superconductivity. Layered nickel-based superconductors are similar to copper- and iron-based superconductors in crystal structure, superconducting properties, and electronic structure, but they also show significant differences. A deeper investigation into the electronic structure of nickel-based superconductors is expected to reveal the mechanisms behind these similarities and differences, which will further offer critical insights into developing a unified theoretical model and deepen the understanding of unconventional superconductivity. Moreover, the study of nonequilibrium ultrafast dynamics offers new perspectives and regulations for unconventional superconductivity, which has become a vital tool. This paper focuses on the electronic structure and ultrafast dynamics of Ruddlesden-Popper phase layered nickel-based superconductors, systematically reviewing the successful applications of angle-resolved photoemission spectroscopy (ARPES) and ultrafast optical spectroscopy in nickel-based superconductivity research. Specifically, the new properties of different nickelates are compared, including strong electron correlation, Hund coupling, non-Fermi liquid behavior, energy gap formation, and ultrafast electron dynamics. These advances offer important experimental insights into elucidating the mechanisms of unconventional superconductivity and characterizing the properties of their normal states in these materials.
EDITOR'S SUGGESTION
2025, 74 (17): 177403.
doi: 10.7498/aps.74.20250711
Abstract +
The high-temperature superconductivity in bilayer nickelate La3Ni2O7 under high pressures, which was discovered in 2023, has spurred intensive theoretical and numerical investigations. These studies aim to unravel physical properties of La3Ni2O7 from various aspects, with particular emphasis on its pairing symmetry and underlying superconducting mechanism. Moreover, significant effort has also been made to explore and predict novel nickel-based superconductors related to La3Ni2O7. This article reviews these recent advancements aimed at elucidating the physical properties and superconducting mechanism of La3Ni2O7, whose multi-orbital characteristics and intricate electronic correlations have spawned diverse theories for its pairing mechanism. In this article, the recent findings on La3Ni2O7 are summarized regarding its macroscopic models, pairing symmetry, normal state characteristics, and the structure of spin and charge density waves. Particular attention is paid to the debate surrounding the role of σ-bonding band metallization in superconductivity. Finally, this article also presents an outlook on future studies crucial for advancing our understanding of La3Ni2O7 superconductivity.
EDITOR'S SUGGESTION
2025, 74 (17): 177103.
doi: 10.7498/aps.74.20250604
Abstract +
The bilayer nickelate La3Ni2O7, a member of the Ruddlesden–Popper series, has recently received significant attention due to its superconductivity under high pressure (above 14 GPa) with a transition temperature of approximately 80 K. Its unique bilayer structure results in an electronic configuration significantly different from those observed in cuprates and infinite-layer nickelates. Consequently, understanding its correlated electronic structure and superconducting mechanism has become a topic of major scientific importance. Recent experimental observations have further identified the coexistence of charge and spin density wave orders in La3Ni2O7, suggesting a complex interplay between various competing electronic phases and superconductivity.In this work, the charge order in La3Ni2O7 is investigated using a low-energy effective model that explicitly includes the Ni-eg orbitals. By employing a combined density functional theory and dynamical mean-field theory (DFT+DMFT) framework, the influences of the nearest-neighbor Coulomb interaction V on charge ordering and electronic correlation effects are investigated, with nonlocal interactions treated at the Hartree approximation level. Our computational method features a newly developed tensor-network impurity solver, in which a natural-orbital basis and complex-time evolution are utilized, facilitating efficient and accurate evaluation of the Green's function on the real-frequency axis. Our analysis indicates that for interaction strengths below a critical value ($ V \leqslant V_{{\mathrm{c}}1} \approx 0.46 $ eV), the system retains sublattice symmetry, resulting in minimal changes of the spectral function. Several high-energy fine structures identified within the Hubbard bands correspond to the residual atomic multiplet excitations, enabling the extraction of effective Hubbard parameters. When $ V>V_{{\mathrm{c}}1} $, the sublattice symmetry is disrupted and the system transitions to a charge-ordered state. Spectral features systematically evolve with the increase of charge order, providing a clear benchmark for quantitatively evaluating the degree of charge disproportionation based on experimental data. The quasiparticle weight Z exhibits a nonmonotonic behavior with the increase of V, reaching a minimum value of nearly $ V \approx 0.60 $ eV in the more populated sublattice as it approaches half-filling. When the interaction further increases beyond $ V_{{\mathrm{c}}2} \approx 0.63 $ eV, the system becomes fully charged polarized, characterized by one sublattice becoming almost empty and the other substance being nearly three-quarters filled.These findings underscore the critical role of nonlocal Coulomb interactions in driving charge disproportionation and regulating electron correlation, thereby providing new insights into the low-energy ordering phenomena of bilayer nickelates.
SPECIAL TOPIC—2D materials and future information devices
EDITOR'S SUGGESTION
2025, 74 (17): 178502.
doi: 10.7498/aps.74.20250703
Abstract +
Artificial visual system (AVS) has received increasing attention for their transformative potential in fields such as medical diagnostics, intelligent robotics, and machine vision. Traditional silicon-based imaging technologies, however, face significant limitations, including high energy consumption, limited dynamic range, and integration challenges. Two-dimensional (2D) semiconductor materials, such as MoS2, WSe2, and black phosphorus have emerged as promising alternatives due to their atomically thin structure, tunable bandgaps, high carrier mobility, and superior optoelectronic properties. In this work, recent breakthroughs in the integration of 2D materials with AVS are investigated. Highlighted is the development of a reconfigurable four-terminal phototransistor array based on WSe2 and IGZO heterostructures, which enables monocular 3D disparity reconstruction without the need for multiple cameras or active light sources. The system demonstrates a dynamic imaging rate exceeding 33 frames per second and supports real-time sensing, memory storage, and ambipolar mode switching with ultralow power consumption (as low as 142 pW). Key innovations include multifunctional device architectures that simulate the retinal photoreceptors, bipolar cells, and even neural synapses, achieving functions such as image sensing, real-time adaptation, color recognition, motion tracking, and multimodal perception. Furthermore, by simulating the human neurovisual pathways, these 2D material-based devices can potentially realize in-sensor computing and neuromorphic processing, which substantially reduce data transfer bottlenecks and energy overhead. Nonetheless, the field is still in its formative stage. Here, several critical bottlenecks are emphasized: the lack of scalable, defect-controlled synthesis of 2D heterostructures; the limited spectral bandwidth and color fidelity of current photonic components; the immature state of neuromorphic elements, which often lacks stability, long-term memory, and bio-realistic plasticity. Moreover, the practical integration with real-world applications requires compatibility with high-density manufacturing and dynamic, multi-modal environments. In the future, artificial vision platforms, empowered by engineered 2D materials and heterostructures, will develop into highly compact, intelligent, and context-aware agents capable of autonomous perception and interaction in complex real-world settings.
SPECIAL TOPIC—2D materials and future information devices·COVER ARTICLE
COVER ARTICLE
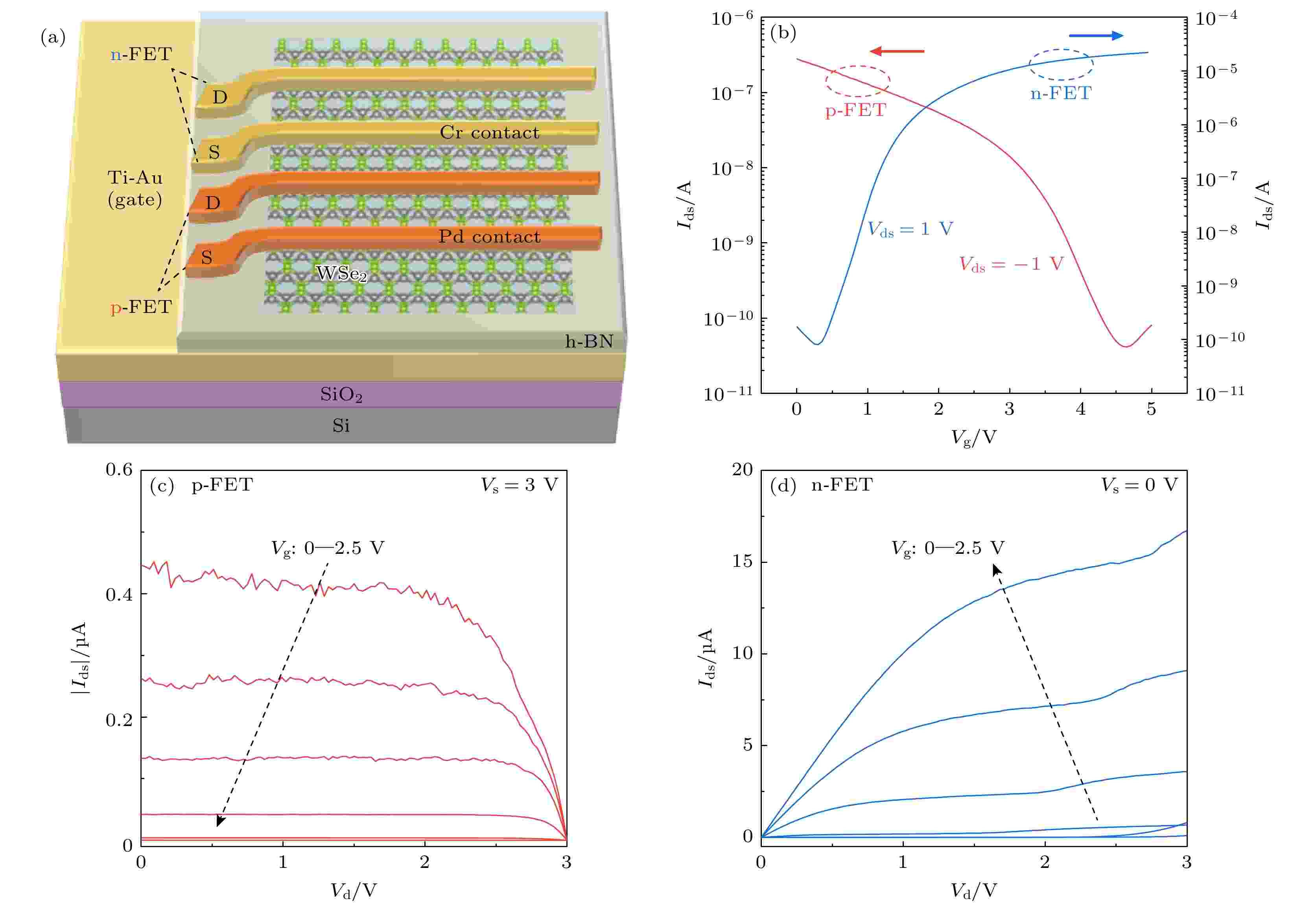
2025, 74 (17): 178501.
doi: 10.7498/aps.74.20250648
Abstract +
Two-dimensional (2D) semiconductor materials exhibit tremendous potential for post-Moore integrated circuits due to their unique physical properties and superior electrical characteristics. However, critical challenges in polarity modulation and complementary integration have significantly hindered the practical applications of 2D materials. The development of compatible polarity-modulation techniques has emerged as a critical step in achieving device functional integration for constructing 2D materials-based complementary circuits. This study innovatively proposes a one-step-annealing-driven polarity-modulation strategy for 2D semiconductors. It is demonstrated in this study that the conduction behavior of Pd-contacted WSe2 transistors transitions from n-type to p-type dominance after annealing, while Cr-contacted devices maintain n-type dominance. Based on this polarity-modulation strategy, by selectively fabricating source and drain electrodes with different metal materials (Pd and Cr) on the same WSe2, combined with a one-step annealing process, the monolithic integration of complementary transistors is achieved, thereby realizing inverter function through device interconnection. The fabricated inverters exhibit a high voltage gain of 23 and a total noise margin of 2.3 V(0.92 Vdd) at an applied Vdd of 2.5 V. This work not only establishes a novel technical pathway for polarity modulation in 2D materials but also provides crucial technological support for developing 2D semiconductor-based complementary logic circuits.
SPECIAL TOPIC—Heat conduction and its related interdisciplinary areas
EDITOR'S SUGGESTION
2025, 74 (17): 174702.
doi: 10.7498/aps.74.20250694
Abstract +
Multiscale particle transport problems are universally existent in the fields of precision manufacturing, nanomaterials, energy and power, national defense and military. Such issues involve large-scale length and time scales, posing great challenges to physical modeling and numerical simulation. In order to study multiscale particle transport problems, cross-scale numerical simulation based on the Boltzmann transport equation has become an effective method. However the nonlinear, multi-scale, and high-dimensional characteristics of the equation pose significant challenges to the stability, compatibility, computational efficiency/accuracy, and asymptotic preserving property of numerical methods. In recent years, many multiscale kinetic methods applicable to any Knudsen numbers have been developed, and one of them is the discrete unified gas kinetic scheme. Unlike the traditional direct numerical interpolation scheme, the discrete unified gas kinetic scheme reconstructs the distribution function at the cell interface through the characteristic solution of the kinetic equation in both time and position space, thereby coupling, accumulating, and calculating particle transport and collision effects on a numerical time step scale. Based on the idea of incorporating the evolution of physical equations into the construction process of numerical methods, the cell size and time step of this method are no longer limited by the mean free path and relaxation time of particles, therefore, the multiscale particle transport problems from the ballistic to diffusive limit can be adaptively and efficiently simulated. A large number of numerical results show that the present scheme has good numerical stability and low numerical dissipation, and it is not limited by the Knudsen number or Mach number. Based on the framework of the finite volume method, this method has been successfully applied to micro/nano scale fluid flow and heat transfer, hypersonic aircraft flows, solid-material thermal conduction, radiation, plasma, and turbulence. This paper mainly reviews the method and discusses its future prospects in the field of multi-scale heat conduction in solid materials, including applications in phonon transport, electron-phonon coupling, phonon hydrodynamic heat conduction, and thermal management of electronic equipment.
EDITOR'S SUGGESTION
2025, 74 (17): 178801.
doi: 10.7498/aps.74.20250503
Abstract +
With the increasing demand for sustainable energy technologies, ionic thermocells are receiving more and more attention due to their potential to correct low-grade heat by directly converting thermal energy into electrical energy. Among the key performance indicators, the effective thermal conductivity (κeff) plays a crucial role in maintaining internal temperature gradients and enhancing overall energy conversion efficiency of thermocells. However, compared with the extensively studied thermopower (Stg) and electrical conductivity (σ), κeff has received less systematic attention. This review summarizes recent advances in the regulation of thermal conductivity in ionic thermocells, focusing on its crucial role in thermoelectric performance. We discuss the influences of electrode materials, electrolyte compositions, and device architectures on heat transport, and highlight representative strategies involving materials engineering and structural design to optimize the synergy between thermal conduction and ionic conduction. Finally, we outline future directions such as material optimization, interface engineering, and improved thermal characterization techniques to promote the development of next-generation high-performance thermocells.
DATA PAPER
2025, 74 (17): 170201.
doi: 10.7498/aps.74.20250652
Abstract +
In recent years, soft lattices have been considered a primary physical origin of defect tolerance in lead-halide perovskite materials, with bulk modulus serving as a key indicator of lattice “softness”. This work focuses on cubic perovskites and constructing a dataset of bulk moduli for 213 compounds based on density functional theory (DFT) calculations. A total of 138 features are compiled, including 132 statistical features extracted using the Matminer toolkit and 6 manually selected elemental descriptors. Four conventional machine learning regression models (RF, SVR, KRR, and EXR) are employed for prediction. Of them, the SVR model shows the best performance, achieving a test-set Root Mean Square Error (RMSE) of 7.35 GPa and Coefficient of Determination (R2) of 97.86%. Feature importance analysis reveals that thermodynamic-structural features such as melting point, covalent radius, and atomic volume play dominant roles in determining bulk modulus. Based on the 12 most important features, a thermodynamic-structural coupling descriptor is constructed using the SISSO method, yielding a test-set RMSE of 7.41 GPa and R2 of 97.80%. The resulting descriptor indicates that the bulk modulus is proportional to melting point and inversely proportional to atomic volume. Furthermore, the VS-SISSO method combined with a random subset selection and iterative variable screening strategy is used, enabling the selection of electronic-level features such as electronegativity, valence state, and number of unpaired electrons. The resulting electronic-thermodynamic-structural coupling descriptor further improves the prediction accuracy, reaching an RMSE of 5.34 GPa and R2 of 98.35% on the test set. Notably, due to the difference in valence states, this model effectively distinguishes between the bulk moduli of chalcogen-based (divalent) and halogen-based (monovalent) perovskites. Based on this model, high-throughput screening is performed on over 10000 cubic chalcogenides and halide perovskites, and approximately 170 lead-free candidates with bulk moduli in the range of 10–20 GPa are identified, which are comparable to Pb-I perovskites. These results provide preliminary evidence for supporting the applicability of the soft-lattice mechanism in lead-free systems and offer theoretical guidance and data support for the high-throughput discovery of stable, defect-tolerant, lead-free perovskite materials. All the data presented in this paper are openly available at https://doi.org/10.57760/sciencedb. j00213.00161 .
INSTRMENTATION AND MEASURMENT
EDITOR'S SUGGESTION
2025, 74 (17): 172901.
doi: 10.7498/aps.74.20250700
Abstract +
Molybdenum, as an important structural material, has been widely used in nuclear energy systems. Therefore, the high-precision neutron reaction cross-section of molybdenum is of great significance for developing nuclear energy systems. This paper uses activation and relative measurement methods to measure the reaction cross section of 92Mo(n,p)92mNb. The sample is irradiated at a 90º angle using nanosecond pulse neutron generator (CPNG) from the China Institute of Atomic Energy. After a period of cooling time, the activities of the activated product nuclei of the irradiated sample are measured using a high-purity germanium detector, and the reaction cross section and correction factors are calculated. The traditional correction factors include neutron fluence fluctuation, cascade, self-absorption, geometry and scattered-neutron corrections. Finally, the reaction cross section of 92Mo(n,p)92mNb at 14.1-MeV energy point is obtained. In order to reduce the uncertainty of experimental measurements, this work proposes a strategy in which the test product and the monitoring product are the same nuclide, effectively eliminating the uncertainties caused by the half-life and decay branch ratio of the product nucleus, gamma detection efficiency, and beam fluctuations during irradiation. This method significantly enhances the measurement accuracy, achieving the highest precision experimental data to date. This experiment aims to minimize the overall measurement uncertainty, so the stringent requirements are imposed on both the sample mass-thickness and the operating environment. The mass and thickness of each sample are therefore determined through five independent measurements using a 0.1 mg-precision analytical balance and a vernier caliper, respectively, and the mean values are taken. After the experiment, the measured data are carefully compared and analyzed with other datasets, The value of cross-section is not significantly different from others in the database and is located within the error range, which further verifies the feasibility of this method, providing high-precision experimental support for evaluating the nuclear-data of this reaction channel.
GENERAL
2025, 74 (17): 170301.
doi: 10.7498/aps.74.20250394
Abstract +
Quantum secret sharing (QSS) is a cryptographic protocol that utilizes fundamental principles of quantum mechanics to securely distribute and reconstruct secret information among multiple participants. Most existing protocols rely on entangled states (such as Bell and GHZ states), but in practical applications. The preparation of entangled state is constrained by a short quantum coherence time, low state fidelity, etc., which makes it difficult to implement entangled resource-dependent QSS protocols. In this work, a novel practical and verifiable multi-party QSS protocol is proposed based on orthogonal product states, which are easier to prepare than entangled states. During the protocol preparation stage, the secret distributor first converts pre-shared classical secret information into the corresponding orthogonal product states according to the encoding rules, and pre-shares a communication key with participants via quantum key distribution (QKD), which is used to hide the initial quantum sequence information through subsequent particle transformation operations. After preparing the orthogonal product states, the distributor reorganizes the particles by position, extracting particles at the same position from each state to form new sequences, shuffling their order, then applying Hadamard operations using a pre-shared key, inserting decoy particles, and sending the sequences to the participants. After receiving it, participants conduct eavesdropping detection, use the same key for the inverse transformations, retain one particle from each sequence, and sequentially pass the remaining particles until the last participant receives a complete set, triggering state verification with the arbiter distributor. If the verification is successful, the particles will be returned to the first participant and the return stage will follow the same procedure. Only after both the transmission and return stage verifications have passed, will the distributor reveal the initial particle positions, allowing participants to collaboratively reconstruct the secret. In the protocol, the secret distributor acts as an arbitrator to verify the particle state information together with participants at designated points (the end of the transmission stage and the end of the return stage) in order to determine whether the particle-state information is error-free during transmission. If the verification fails at either stage, the protocol will be terminated immediately. Meanwhile, considering that the number of participants may change during the execution of the protocol, a dynamic scheme for personnel changes is designed to ensure the flexibility of the protocol. Through the analysis of possible internal and external attacks, It can be proven that our protocol can effectively resist the existing common attack. Using Qiskit simulation experiments, the core quantum procedures of the protocol can be successfully modeled. The experimental results provide strong computational validation of the theoretical feasibility of the protocol.
2025, 74 (17): 170302.
doi: 10.7498/aps.74.20250587
Abstract +
The spinor Bose-Einstein condensate (BEC) provides an ideal platform for observing and manipulating topological structures, which arise from the spin degrees of freedom and the superfluid nature of the gas. Artificial helicoidal spin-orbit coupling (SOC) in the spinor BEC, owing to the spatially varying gauge potential and the more flexible adjustability, provides possibly an unprecedented opportunity to search for novel quantum states. The previous studies of the BEC with helicoidal SOC mainly focus on the two-component case. However, there are few reports on the studies of helicoidal SOC in three-component BEC. Especially considering one-dimensional three-component BEC, whether the helicoidal SOC can generate previously unknown types of topological excitations and phase diagrams is still an unsolved problem. In this work, by solving quasi one-dimensional Gross-Pitaevskii equations, we study the ground state structure of one-dimensional helicoidal spin-orbit coupled three-component BEC. The numerical results show that the helicoidal SOC can induce a phase separation among the components in ferromagnetic BEC. Through numerical calculations of the system, a phase diagram is obtained as a function of the helicoidal SOC strength and gauge potential, which shows the critical conditions for phase separation and phase miscibility in ferromagnetic BEC. Meanwhile, we also study the influences of the helicoidal SOC and the gauge potential on the antiferromagnetic BEC ground state. The numerical results show that the helicoidal SOC is beneficial for the miscibility in antiferromagnetic BEC. When the helicoidal SOC strength or gauge potential increases, the ground state of antiferromagnetic BEC exhibits a stripe soliton structure. Adjusting the strength of helicoidal SOC or gauge potential can control the transitions between a plane-wave soliton and a stripe soliton. In addition, we show the changes of the particle number density maximum and the number of peaks of stripe solitons for adjusting the helicoidal SOC strength or gauge potential. Our results show that helicoidal spin-orbit coupled BEC not only provides a controlled platform for investigating the exotic topological structures, but also is crucial for the transitions between different ground states. This work paves the way for exploring the topological defect and the corresponding dynamical stability in quantum systems subjected to the helicoidal SOC in future.
EDITOR'S SUGGESTION
2025, 74 (17): 170501.
doi: 10.7498/aps.74.20250689
Abstract +
ATOMIC AND MOLECULAR PHYSICS
2025, 74 (17): 173301.
doi: 10.7498/aps.74.20250726
Abstract +
ELECTROMAGNETISM, OPTICS, ACOUSTICS, HEAT TRANSFER, CLASSICAL MECHANICS, AND FLUID DYNAMICS
2025, 74 (17): 174101.
doi: 10.7498/aps.74.20250512
Abstract +
The desktop X-ray system has limitations such as low flux and poor coherence. It faces great challenges in application scenarios such as microscopic imaging and high-precision measurement. Fourier-transform ghost imaging (FGI) has low requirements for the coherence of the light source. Using this principle, multi-angle FGI based on spatial correlation can effectively improve the imaging efficiency and is suitable for desktop X-ray systems. However, this technology is still in the theoretical stage, and there is a lack of effective devices to modulate X-rays and form focused multiple beams. To this end, a multi-grating modulation method is proposed in this work. The partially coherent radiation of the X-ray source is modulated by arranging multiple sub-gratings in a specific direction. The X-ray emitted by a single sub-grating is spatially coherent light, and the X-rays between the sub-gratings are incoherently superimposed at the sample position to form a focused multi-angle beam. This effectively improves the flux utilization of the desktop system. The modulation principle of multi-grating is described theoretically, and the key design parameters and their selection basis are clarified. Through numerical simulation, the modulation characteristics of partially coherent X-rays in the propagation process behind the modulation screen are systematically analyzed. By optimizing the parameters such as the size, material and thickness of the sub-grating, the influences of the sub-grating on the size, uniformity and diffraction efficiency of the focused spot are investigated. The results show that when the sub-grating size matches the spatial coherence size of the X-ray source, the focusing effect of the beam can be significantly improved, and a smaller and uniform focal spot can be obtained. Based on the theoretical and simulation results, a gold multi-grating modulation screen is designed and fabricated for the liquid target X-ray source. The simulation and theoretical predictions will be validated experimentally, once the experimental conditions are met. The design and implementation of the modulation screen provide effective support and a feasible way for multi-angle diffraction imaging and related applications in miniaturized X-ray systems.
2025, 74 (17): 174201.
doi: 10.7498/aps.74.20250508
Abstract +
Optical encryption technologies show significant potential applications in information security due to their advantages of parallel processing, large capacity, and low power consumption. Polarization, as an important degree of freedom of light, has attracted extensive research interest in optical encryption through polarization manipulation and multiplexing. However, current polarization control methods based on pixelated or interleaved metasurfaces still face significant challenges, including fabrication complexity and inevitable crosstalk caused by coupling between the neighboring structures, which limits the number of achievable multiplexing channels. A novel encryption method featuring longitudinal variability and cascaded polarization structures realized by metalenses with vectorial foci is proposed in this work. The intensity distributions on different observation planes are simulated using the Fresnel–Kirchhoff diffraction integral. Based on the geometric phase principle, the designed metalens consisting of TiO2 nanopillars with identical dimensions but spatially variant orientation angles, can generate multiple vectorial foci in different observation planes, reconstructing cascaded polarization structures. Here, any two cascaded polarization structures are encoded with mutually orthogonal polarization rotation angles. As the polarization direction of incident linearly polarized light changes, the polarization distribution encoded on the polarization structures can be dynamically modulated, consequently enabling ten-channel information encryption through polarization-dependent intensity redistribution. The encrypted information can only be decoded using the correct keys (incident wavelength, incident polarization state, output light polarization state, and observation position). This method integrates polarization rotation, polarization structure design, and longitudinal/cascaded control, significantly enhancing information capacity and security. It offers promising applications across various fields, such as optical display, encryption, and anti-counterfeiting.
EDITOR'S SUGGESTION
2025, 74 (17): 174202.
doi: 10.7498/aps.74.20250649
Abstract +
In recent years, vortex beams carrying orbital angular momentum (OAM) have been widely applied to optical communications, optical manipulation, and precision measurement. However, traditional generation methods such as spiral phase plates, spatial light modulators, and metasurfaces, encounter several challenges, including structural rigidity, limited dynamic tunability, and inadequate integration capabilities. These limitations hinder the realization of reconfigurable and programmable vortex beam generation systems. In order to solve these problems, a novel vortex beam generation method based on all-optical magnetic holography is presented in this paper. In this technique, a single-pulse femtosecond laser is used in a dotted writing mode to engrave a pre-designed fork-shaped grating hologram onto the surface of a micron-scale magnetic material, GdFeCo. Under subsequent illumination with a plane wave, the vortex beam is reconstructed via the magneto-optical Faraday diffraction effect. Experimental results show that one-dimensional fork-shaped gratings can flexibly generate vortex beams with different topological charges (l = ±2, ±5, ±8), where the beam radius increases with the augment of topological charges. Furthermore, a two-dimensional fork-shaped grating, formed by superimposing horizontal and vertical one-dimensional gratings, can produce 3 × 3 vortex beam arrays with various topological charge distributions, enabling the spatial modulation of OAM. This method offers advantages such as reusability, long-term stability, and a compact structure, thus providing a programmable and reconfigurable platform for generating micro-structured vortex beams. Unlike traditional static optical elements, this approach enables dynamic, high-resolution, and easy-to-integrate solutions, and shows great application potential in OAM-based multi-channel optical communication, multi-particle manipulation, and parallel laser processing.
EDITOR'S SUGGESTION
2025, 74 (17): 174203.
doi: 10.7498/aps.74.20250549
Abstract +
This study establishes a theoretical framework for realizing and dynamically controlling magnon and optical bistability in a hybrid cavity optomagnomechanical system composed of microwave cavity mode, magnon mode, phonon mode, and optical cavity mode. The objective is to investigate the synergistic interplay among self-Kerr nonlinearity, magnetostrictive effect, and radiation pressure induced optomechanical coupling in generating and modulating bistable behavior. Furthermore, this work aims to reveal the transient quantum state transition dynamics between bistable states. The system Hamiltonian includes magnetic dipole interaction between the magnon mode and microwave cavity mode, magnomechanical interaction between the magnon mode and phonon mode, and optomechanical interaction between the phonon mode and optical cavity mode. In addition, the self-Kerr nonlinearity of the magnon mode is considered. Numerical analysis of the system dynamics is conducted using quantum Langevin equations that include dissipation and input noise terms. Steady-state analytical solutions for the average magnon number and optical photon number are derived, revealing a bistable characteristic with three possible solutions. Numerical simulations are performed using experimentally feasible parameters, including coupling strengths, frequency detunings, and dissipation rates. The results indicate that both magnon and optical bistabilities are tunable. Specifically, adjusting the microwave cavity–magnon coupling efficiency enables modulation of the energy transfer efficiency from microwave to magnon, thereby altering the hysteresis window and excitation threshold of the magnon bistability. Tuning the magnon-phonon interaction can influence the energy transfer from magnon to phonon. A larger magnon-pump detuning enhances nonlinear frequency shifts, alters energy transfer pathways, broadens the hysteresis loop, and increases the magnon population on the upper branch of the bistable curve. Higher magnon dissipation rate hinders the accumulation of nonlinear effect, narrowing the bistability window and shifting the threshold to higher pump powers. For optical bistability, stronger optomechanical interaction reduces the effective cavity loss and weakens the nonlinear response to the pump field, leading the amplitude of bistability to decrease and the hysteresis loop to narrow. The increase of the optical cavity–pump detuning suppresses energy transfer efficiency, necessitating higher pump power to achieve the same photon number, thereby enhancing the prominence of the bistability. Elevating the optical cavity dissipation rate requires stronger driving to compensate for photon losses, resulting in a narrower hysteresis loop and a rightward shift of the threshold. Sharp vertical jumps observed in the bistability curves correspond to instantaneous transitions at critical driving points, enabling switch-like behavior. Moreover, transient dynamics obtained by numerically solving the Langevin equations reveal the time evolution of magnon and photon numbers under nonequilibrium initial conditions. Within the bistability regime, the system exhibits quantum state transitions between low and high steady states. The transition rates are determined collectively by the system parameters. Therefore, this study provides a theoretical platform for the multi-parameter cooperative control of magnon and optical bistability. The tunability mechanism is governed by the joint action of coupling strength, detuning, and dissipation rate. The controllability of the bistability thresholds, hysteresis widths, and transient quantum state transition dynamics demonstrated in this work highlights the significant potential for applications such as tunable optical switches, quantum information processing devices, and fundamental studies of nonlinear quantum dynamics in hybrid systems.
2025, 74 (17): 174204.
doi: 10.7498/aps.74.20250667
Abstract +
Optical vortex beam has wide application prospect in fields such as optical communication, lidar detection and optical trapping. To increase the operating distance, a high-power vortex laser source are required in these applications. Control of the spiral chirality of the Laguerre-Gaussian (LG) mode has become a key problem in Q-switched pulsed solid-state vortex lasers. In this work, we present an injection seeding method to control the spiral chirality of the LG mode in Q-switched laser cavity. The schematic of the method is shown in Fig. (a). A small power continuous wave vortex beam with determined chirality is injected into the laser cavity, with the gain medium pumped by a ring-shaped beam. The light field with the same spiral chirality as the injected beam will exceed the light field with the opposite spiral chirality, and the chirality purity will increase as the injected power increases. The threshold injected signal-to-noise ratio increases with the angular order of the LG mode increasing, this is due to the reduced overlap of the standing wave patterns of the opposite chiral beams. The signal-to-noise ratio of threshold injection also increases as the pumping power and the reflectivity of the output mirror increase. The ratio of the pulse energy under injection to the pulse energy under free running decreases with the angular order rising. This ratio increases with the pumping power rising, and decreases with the reflectivity of the output mirror increasing. The seeding beam generated by spiral phase modulation of the fundamental mode beam always has a wide radial spectrum. The radial spectrum of the beam generated by second order spiral phase modulation of the fundamental mode beam is shown in Fig. (b). Under an appropriate ring width of the pumping beam, this radial spectrum can be purified in the Q-switched laser cavity as shown in Fig. (c). Therefore, the spiral phase modulated beam can be used as a seeding source to generate high-purity vortex pulse.
2025, 74 (17): 174301.
doi: 10.7498/aps.74.20250618
Abstract +
2025, 74 (17): 174302.
doi: 10.7498/aps.74.20250657
Abstract +
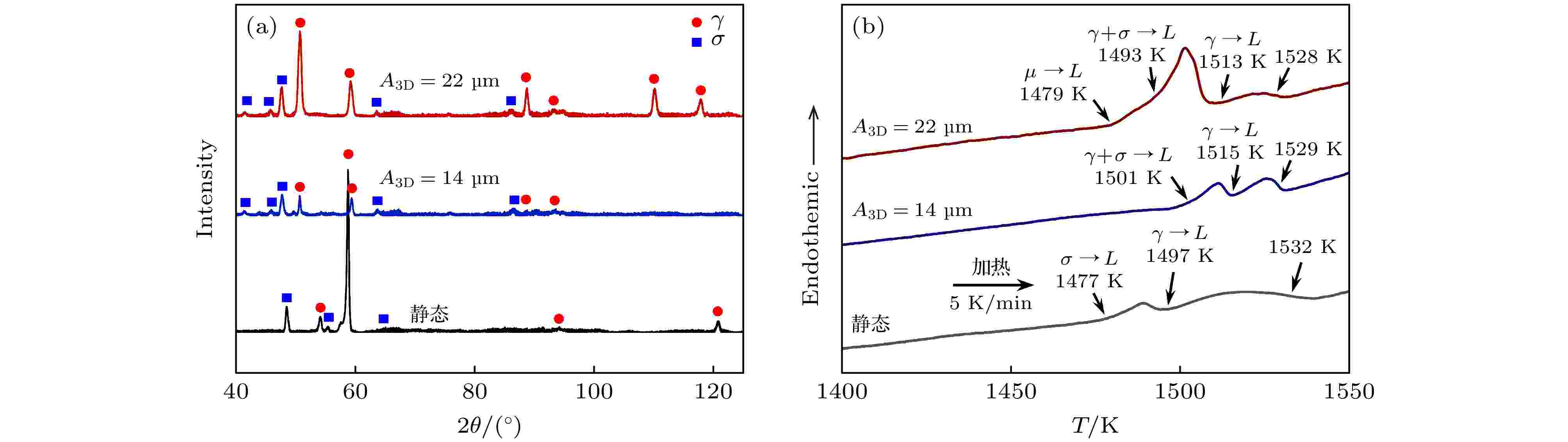
Three-dimensional ultrasonic waves with amplitudes of 14, 18, and 22 μm, respectively, are used during the solidification of (FeCoNiCrMn)92Mo8 high-entropy alloy, and its microstructural evolution and mechanical property are investigated in this work. Under static condition, the solidification microstructure is composed of primary γ phase dendrites with FCC structure and stripe-shaped σ phase with tetragonal structure. As the ultrasonic amplitude increases, the mean transient cavitation intensity rises to trigger off a significant nucleation rate increase of the primary γ phase to 5.6 × 1012 m–3·s–1, leading to the remarkable grain size reduction by two orders of magnitude. The maximum and the average acoustic streaming velocity increase simultaneously, which accelerates atomic diffusion at the liquid/solid interface, reducing Cr content in the primary γ phase from 18.6% to 13.1% and Mo content from 6.8% to 3.4% (atomic percent). This atomic redistribution subsequently causes the liquid composition to approach the eutectic point and facilitate the formation of (γ + σ) eutectic, which accounts for more than 50% volume fraction. The two eutectic phases exhibit a semi-coherent interface relationship characterized by [110]γ//[110]σ and $(1\bar1\bar 1) $γ//$(\overline110) $σ. Furthermore, due to the gradual enrichment of Cr atoms in the remaining liquid phase, a small quantity of metastable μ phases with Cr content up to 62.3% form in the final microstructure. The maximum compressive yield strength of the ultrasonically solidified microstructure reaches 876.2 MPa, almost twice that of static solidification microstructure, and the compressive strain reaches 33.2%. The formation of (γ + σ) eutectic is the main factor that increases the yield strength of alloy by 527.1 MPa.
2025, 74 (17): 174401.
doi: 10.7498/aps.74.20250619
Abstract +
Through first-principles calculations based on density functional theory (DFT) and the Boltzmann transport equation (BTE), the thermal transport properties of α-uranium under high pressure are investigated. In order to investigate the effects of pressure on the phonon dispersion relations and thermal conductivity of α-U, the phonon dispersion relations and lattice thermal conductivity at different pressures are obtained using a 4×4×4 supercell. First, for the calculation of electronic thermal conductivity, the ratio of thermal conductivity to relaxation time is calculated from the Boltzmann transport equation. Then, the relaxation time is calculated using deformation potential energy theory, relaxation time approximation, and effective mass approximation method derived from DFT band structure. Finally, the electronic thermal conductivity is obtained through the Wiedemann-Franz law. The calculation results indicate that α-U remains dynamically stable under a pressure of 80 GPa. The thermal conductivity of α-U exhibits a typical “V”-shaped temperature dependence: at low temperatures, phonon thermal conductivity dominates and decreases with the increase of temperature; at high temperatures, the electronic thermal conductivity becomes more significant and increases with temperature increasing. The combined effect of phonon thermal conductivity and electron thermal conductivity results in the total thermal conductivity reaching its minimum value at a temperature of approximately 160 K. When the temperature is 300 K, the thermal conductivity of α-U at 0 GPa is 25.11 W/(m·K), and increases to 250.75 W/(m·K) at 80 GPa as pressure increases. This result clearly indicates that an increase in pressure significantly enhances thermal conductivity. The calculation results also highlight the influences of pressure on phonon group velocity, phonon lifetime, and electron phonon interactions, all of which promote an increase in thermal conductivity. These findings provide a comprehensive understanding of the thermal conductivity of α-U depending on temperature and pressure and offer valuable insights into potential applications in extreme environments.
2025, 74 (17): 174402.
doi: 10.7498/aps.74.20250398
Abstract +
Two-phase heat transfer technology utilizing dielectric liquids has emerged as one of the efficient solutions for thermal management in high-power electronic devices. However, in practical applications, due to the interfacial materials and thermophysical properties, dielectric liquids exhibit significant boiling hysteresis, which in turn affects the boiling heat transfer performance. Owing to small spatial and temporal scales of bubble nucleation initiation, macroscopic experiments and traditional simulation methods still face certain limitations. In this study, non-equilibrium molecular dynamics and mechanical pressure control method are utilized to investigate the bubble nucleation and boiling heat transfer characteristics of R1336mzz(Z) liquid film on different heating surface materials (i.e. copper atoms, aluminum atoms, and silicon atoms). Additionally, the heterogeneous nucleation mechanism of dielectric liquid is discussed from two perspectives: phonon vibrational density of states and potential energy restriction. On the one hand, surface materials, represented by copper atoms, with high solid-liquid interaction forces and low-frequency vibrations, can generate substantial interfacial heat flux and attract a large number of liquid-phase molecules near the heated wall. However, such materials inevitably increase the energy barrier of bubble nucleation. On the other hand, surface materials, represented by silicon atoms, with weak solid-liquid interaction forces and medium-to-high-frequency vibrations can achieve reasonable phonon vibrational coupling with dielectric liquid to bridge interfacial thermal transport. Such materials can reduce the potential energy restriction on the nanofilm, thus facilitating the formation of local liquid clusters into bubble nuclei. These findings can provide a comprehensive understanding of the underlying mechanisms of bubble nucleation and heat transfer in dielectric liquids, and thus offer valuable insights into thermal management enhancement strategies in high-power electronic devices.
2025, 74 (17): 174701.
doi: 10.7498/aps.74.20250385
Abstract +
Active mass injection is an effective thermal protection technique that can significantly reduce wall heat flux. However, it inherently changes the stability characteristics of boundary layer, substantially affecting the laminar-to-turbulent transition process. Crucially, the underlying mechanisms of controlling how different injected gases regulate flow stability are still unclear. In order to systematically analyze the effects of different gas injections on flow stability, the gas-specific mass injection effects are investigated in this work by employing a multicomponent Navier-Stokes solver to compute flow fields with air, argon, and nitrogen injections. The influence of mass injection on flow stability is analyzed using linear stability theory, followed by distinguishing the different effects of various injectant properties. The result shows that mass injection can displace the freestream gas, forming an injection layer near the wall and increasing the thickness of the boundary layer. Herein, the properties of the main boundary layer are still similar to those of the original boundary layer, while the injection layer exhibits significantly reduced temperature and velocity gradients, resulting in decrease of wall heat flux and surface friction. Linear stability analysis reveals that when mass injection excites multiple higher-order instability modes, the second mode is still dominant. Notably, mass injection reduces the unstable region of the second mode and significantly lowers the integrated disturbance amplitude, thereby suppressing the transition. This stabilizing effect is more pronounced with lighter gases. The differences in injected gas properties are mainly reflected in the viscosity coefficient, thermal conductivity, relative molecular weight, and diffusivity. Among these, the boundary layer thickness is primarily affected by the viscosity coefficient, relative molecular weight, and diffusivity of the injected gas, while the temperature within the boundary layer decreases with the increase of thermal conductivity and specific heat capacity of the injected gas. The influence of injected gas properties on flow stability is manifested in two different ways: 1) Modification of basic flow profile and 2) change of mixed gas properties. Specifically, the transport coefficients (viscosity and diffusivity) of the injected gas mainly affect unstable characteristics through way 1), while the specific heat capacity mainly works through way 2). The relative molecular weight plays a combined role in the two ways.
2025, 74 (17): 174703.
doi: 10.7498/aps.74.20250594
Abstract +
Turbulence modeling relies critically on accurate characterization of large-scale structures, with the integral length scale $ L $ serving as a key parameter for industrial applications ranging from combustion stability optimization to wind farm design and aerodynamic load prediction. However, direct numerical simulation (DNS) of turbulence faces inherent limitations in resolving all wavenumbers within the low-wavenumber region of the turbulent kinetic energy spectrum due to finite computational domain sizes. This unresolved low-wavenumber deficiency leads to incomplete characterization of large-scale structures and introduces systematic deviations in key statistical quantities, particularly the integral length scale $ L $ and turbulence dissipation coefficient $ {C}_{\varepsilon } $. As turbulence evolves, the spectral peak wavenumber $ {k}_{p} $ migrates toward lower wavenumbers, exacerbating the loss of large-scale information and causing computed statistics to diverge from physical reality. In this study, we perform high-fidelity DNS of homogeneous isotropic decaying turbulence in a periodic cubic domain of side length 4π with $ {384}^{3} $ grid points. The DNS is executed by using a standard pseudospectral solver and a fourth-order Runge-Kutta time integration scheme, with a semi-implicit treatment of the viscous term. The spatial resolution $ {k}_{\mathrm{m}\mathrm{a}\mathrm{x}}\eta =1.65 $ ensures adequate resolution of dissipative scales ($ \eta $ is the Kolmogorov scale). Simulations start from a fully developed field initialized with a spectrum matching Comte-Bellot and Corrsin’s experimental data and evolve within a time interval where turbulence exhibits established isotropic decay characteristics. Existing correction models, predominantly based on equilibrium turbulence assumptions, fail to accurately represent the non-equilibrium dynamics governed by large-scale structures. According to the generalized von Kármán spectrum model, we use a correction framework to explain the unresolved low-wavenumber contributions in homogeneous isotropic decaying turbulence. The DNS data reveal that the uncorrected integral scale $ {L}_{m} $ significantly underestimates the true $ L $, with errors escalating as $ {k}_{L}/{k}_{p} $ increases, where $ {k}_{L} $ is the minimum resolvable wavenumber in the simulation domain. After correction, $ L $ exhibits a temporal evolution following the Saffmann-predicted power-law relationship $ L\propto {t}^{2/5} $, contrasting sharply with the underestimated pre-correction values. Although the spectral correction substantially increases the spectral integral scale $ L $, its value remains less than the physically derived integral scale $ \varLambda $ computed from the velocity correlation function, which is primarily due to the finite domain size limiting large-scale statistics and the moderate grid resolution, though higher-resolution simulations with the same domain show $ L $ converging towards $ \varLambda $. Notably, the unmodified dissipation coefficient $ {C}_{\varepsilon } $ remains constant, which is consistent with equilibrium turbulence assumptions, whereas the corrected $ {C}_{\varepsilon } $ evolves according to the non-equilibrium scaling law $ {C}_{\varepsilon }\sim{Re}_{\lambda }^{-1} $. Further analysis confirms that the ratio $ L/\lambda $ shifts from Kolmogorov’s $ {Re}_{\lambda }^{1} $dependence to a Reynolds-number-independent plateau after correction, fundamentally changing the turbulence dissipation paradigm. This transition from equilibrium to non-equilibrium dissipation behavior underscores the dominant role of large-scale structures in regulating energy cascade dynamics. Our results demonstrate that finite Reynolds numbers or strong initial-condition effects amplify the non-equilibrium characteristics of turbulence, hindering the full-scale equilibrium. These findings reconcile long-standing theoretical discrepancies and provide a paradigm for modeling scale interactions in turbulence.
2025, 74 (17): 174704.
doi: 10.7498/aps.74.20250675
Abstract +
PHYSICS OF GASES, PLASMAS, AND ELECTRIC DISCHARGES
2025, 74 (17): 175201.
doi: 10.7498/aps.74.20250733
Abstract +
The magnetized coaxial gun is an efficient plasma injection device with significant applications in fusion fueling, astrophysical jet simulation, and magnetic reconnection studies. In this work, three typical discharge regions, i.e. spheromak region, diffusive region, and jet region, are observed through high-speed imaging and magnetic field measurements. The dynamic characteristics of the plasma in each region are systematically investigated. Based on ideal magnetohydrodynamic (MHD) theory, the magnetic field configurations, rotational behavior, and axial motion mechanisms of the plasma in different regions analyzed in detail. The results show that in the spheromak region, the plasma reaches a Taylor-relaxed state, exhibiting uniform rotation and forming a stable compact torus (CT) structure. In the diffusive region, a relatively strong bias magnetic field leads to faster rotation, enhancing centrifugal force, and consequently, enhancing radial diffusion. In the jet region, due to the weaker bias field, the plasma accumulates at the end of the inner electrode, exhibiting a clear pinch effect and forming a jet with axial instability. These findings not only deepen the understanding of the discharge physics of magnetized coaxial guns but also provide valuable experimental and theoretical support for numerically simulating and developing efficient plasma sources.
2025, 74 (17): 175202.
doi: 10.7498/aps.74.20250957
Abstract +
For magnetic confined fusion devices, magnetic probe diagnostic is a basic but very important diagnostic tool for studying plasma magnetic fluctuations. The first experimental phase of the Chinese First Quasi-axisymmetric Stellarator (CFQS), which is also called CFQS-T, needs magnetic probe diagnostics to provide plasma magnetic fluctuation measurements, especially the high-frequency ($50 \leqslant f \leqslant 300$ kHz) magnetic fluctuation measurements. In this paper, a newly developed high-frequency magnetic probe array (HFMPA) diagnostic on the CFQS-T is reported. This array consists of 8 identical three-dimensional high-frequency magnetic probes, each of which can simultaneously measure magnetic fluctuations in the poloidal, radial and toroidal directions. The HFMPA magnetic probes are carefully mounted on the inner vacuum vessel wall of the CFQS-T, and their positions are precisely measured by the laser tracker system. The HFMPA can be used to study the poloidal and toroidal propagation characteristics of magnetic fluctuations due to the optimized spatial arrangement, and its maximum toroidal mode number resolution is improved to n = ±16 compared with n = ±6 of the low-frequency magnetic probe array (LFMPA, used for the $f \leqslant 50$ kHz magnetic fluctuation measurements). The main subsystems of the HFMPA diagnostic, such as the mechanical system, signal transmission lines, acquisition and control systems, and the challenges overcome in the development of each subsystem, will be briefly introduced in this paper. The effective areas of the HFMPA magnetic probes are calibrated by the relative calibration method, which shows that their areas are all around 0.02 m2. The in-situ frequency response of the HFMPA magnetic probes is calibrated with an LCR digital bridge with a maximum working frequency of 10 MHz. The resonance frequency of the HFMPA magnetic probe in each measurement direction is greater than 400 kHz, which meets the design requirements for measuring 50–300 kHz high-frequency magnetic fluctuations in CFQS-T. Preliminary applications of the HFMPA diagnostic in studying the low-frequency (1.5–16.0 kHz) magnetic fluctuations and high-frequency (65–105 kHz) magnetic fluctuations in CFQS-T are briefly introduced, which shows that the HFMPA diagnostic works well for providing the spectrogram, poloidal, and toroidal propagation information of low-frequency and high-frequency magnetic fluctuations. It is worth noting that the measurement and analysis results of high-frequency (65–105 kHz) magnetic fluctuations in CFQS-T are reported for the first time in this paper. The successful development of the HFMPA diagnostic will help to carry out in-depth research on plasma magnetic fluctuations in CFQS-T stellarator.
CONDENSED MATTER: STRUCTURAL, MECHANICAL, AND THERMAL PROPERTIES
2025, 74 (17): 176101.
doi: 10.7498/aps.74.20250389
Abstract +
SmCo12, with its large magnetic energy product, is a highly promising high-temperature permanent magnet that has attracted significant attention. However, the widely existing ThMn12-type crystal structure in this system faces serious stability problem, which significantly hinders its practical engineering applications. Exploring a novel SmCo12 structure that combines stability and excellent magnetic properties is crucial for breaking through this bottleneck. In this study, the metastable phases of the SmCo12 system are systematically investigated by using a local particle swarm optimization algorithm combined with first-principles calculations. The theoretical calculations reveal a hexagonal phase structure (space group $ P\overline{3}1m $) with a formation energy 90 meV/atom lower than that of the conventional ThMn12-type SmCo12. Its phonon spectrum shows no imaginary frequencies and its structure remains stable during Nosé-Hoover thermostat simulations at 1200 K, confirming its dynamic stability and thermodynamic stability. The electronic structure reveals that this structure exhibits metallic characteristics, with a total magnetic moment of as high as 21.81 μB/f.u. and a magnetocrystalline anisotropy constant of up to 11.10 MJ/m3, significantly exceeding similar high-cobalt-content Sm-Co systems. Furthermore, theoretical predictions indicate that the hexagonal phase SmCo12 structure exhibits exceptionally outstanding magnetic properties, with maximum energy product, anisotropy field, and Curie temperature reaching 54.56 MGOe, 15.01 MA/m, and 1180 K, respectively. The newly discovered hexagonal SmCo12 phase provides a novel direction for solving the stability problem of the ThMn12-type structure.
2025, 74 (17): 176801.
doi: 10.7498/aps.74.20250529
Abstract +
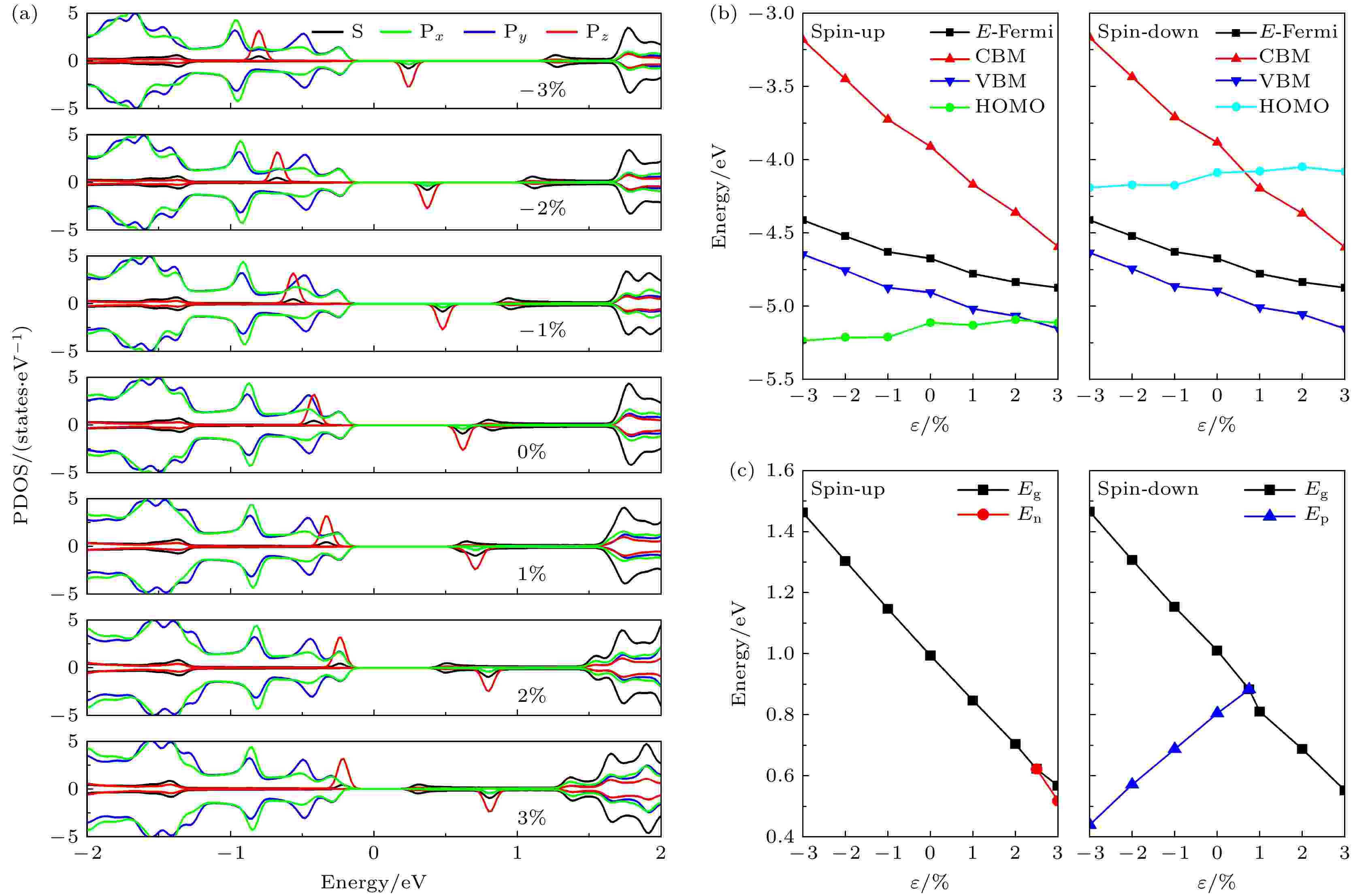
The regulation of the electronic structure and transport properties of single-hydrogen-vacancy germanane by biaxial strain is investigated using first-principles calculations based on density functional theory in this work. The results reveal that the introduction of single-hydrogen-vacancy defect states not only induces P-type doping-like effects in germanane but also triggers off a transition from non-magnetic to ferromagnetic states. Under –3% to 3% biaxial strain, both the structural parameters (bond length, bond angle, and corrugation height) and the bandgap of single-hydrogen-vacancy germanane linearly vary with strain. The P-type doping-like effect disappears at ε = 0.75%, while an N-type doping-like effect appears when strain increases to ε = 2.5%. Mechanism analysis reveals that biaxial strain primarily modulates the energies of the Fermi level, valence band maximum, and conduction band minimum, causing the relative position of defect state energy levels to shift, making them become acceptor or donor energy levels, and producing doping effect changes regulated by biaxial strain. Transport property calculations further demonstrate that the isotropic I-V characteristics and electron effective mass of single-hydrogen-vacancy germanane can be linearly controlled by biaxial strain, leading to corresponding changes in electron mobility. At ε = 3%, the electrical conductivity and electron mobility of single-hydrogen-vacancy germanane increase significantly to 3660 S/cm and 24252 cm2/(V·s), respectively.
CONDENSED MATTER: ELECTRONIC STRUCTURE, ELECTRICAL, MAGNETIC, AND OPTICAL PROPERTIES
2025, 74 (17): 177101.
doi: 10.7498/aps.74.20250588
Abstract +
2025, 74 (17): 177301.
doi: 10.7498/aps.74.20250626
Abstract +
Memristor-driven neuromorphic computing offers a promising path for brain-inspired intelligence by emulating the multidimensional plasticity of biological synapses, thereby achieving energy-efficient parallel computation. However, in the context of dynamically modulating synaptic plasticity, achieving strong environmental adaptability, especially in response to temperature fluctuation, remains a major challenge for organic memristors. In order to solve this problem, a bio-inspired cobalt phthalocyanine (CoPc)-based memristor is developed specifically for synergistic electric-thermal field modulation. The device utilizes the stable planar π-conjugated system of CoPc molecules and leverages dynamic oxygen vacancy (OV) migration at the CoPc/AlOx interface. A comprehensive electrical characterisation is conducted, incorporating X-ray photoelectron spectroscopy (XPS), in-situ Raman spectroscopy, and temperature-dependent electrical measurements across a wide range (293–473 K). This is supported by physical modelling (SCLC, FNT, Arrhenius) to elucidate the underlying mechanisms. Evidence indicates that the device can effectively replicate key aspects of synaptic plasiticy, including short-term potentiation/depression (STP/STD), and pairedpulse facilitation/depression (PPF/PPD), through the regulation of an electric field. The index increases to 151%, indicating a significant increase. Spike-amplitude-dependent plasticity (SADP, 45% weight increase), spike-timing-dependent plasticity (STDP, ΔW = ±90%), and learning-forgetting-relearning dynamics are revealed, unveiling cumulative memory effects linked to OV transport. The device exhibits excellent temperature resilience over the range of 293–473 K, characterised by a linear adaptive shift in its critical voltage (VCritical) from 8.7 V at 293 K to 4.5 V, with dVCritical/dT = 0.023 V/K. Physical analysis attributes this adaptive threshold and stable operation to a dual-field synergistic mechanism based on trap-assisted carrier transport. Elevated temperature thermally activates carriers, reducing the effective barrier for trap escape and OV migration activation energy (Ea = 0.073–0.312 eV), which facilitates conduction through Fowler-Nordheim tunneling (FNT) at lower electric fields. Conversely, lower temperatures require higher electric fields to enhance trap ionization efficiency through the Poole-Frenkel effect, compensating for reduced thermal energy. The validation of the linear VCritical-T relationship as a sensitive temperature transduction mechanism is achieved by developing an intelligent fire warning system. This study involves a 6 × 6 CoPc memristor array integrated into household heaters, combined with a deep learning model consisting of a fully connected network with 20 × 16 + 16 × 8 + 8 × 1 neurons. The resulting model achieves an accuracy of 96.54% in identifying high abnormal temperature. This work establishes a novel paradigm for environmentally adaptive neuromorphic devices through molecular/ interface design and synergistic multi-field modulation, providing a physical realization of temperature-elastic synaptic operation and demonstrating its practical feasibility for powerful next-generation brain-inspired computing platforms.
2025, 74 (17): 177501.
doi: 10.7498/aps.74.20250578
Abstract +
Recycling is a sustainable strategy for the efficient utilization of rare earth resources. Hydrogenation milling has been widely adopted because of its high efficiency and environmental benefits. However, the formation of unstable phases in the hydrogenation process significantly reduces recovery efficiency, which presents new challenges for process optimization. In this study, a combination of first-principles calculations and machine learning methods is employed to systematically investigate the thermodynamic behavior of key rare earth hydrides, such as NdH2, NdH3, and Nd2H5 in the hydrogenation milling process using the Debye model for lattice vibrations. The results show that a temperature centered at about 630 K at a pressure of 600 kPa may offer ideal operational conditions for the hydrogenation milling process. Under these conditions, NdH2 can undergo spontaneous hydrogenation, and the formation of unstable phases can be effectively suppressed, thereby improving rare earth recovery efficiency. This study also reveals the potential adverse effects of excessively high temperatures on the stability and reactivity of NdH2, further emphasizing the importance of operating within a specific temperature range. These findings provide new insights into the thermodynamic mechanisms of the hydrogenation process in Nd2Fe14B permanent magnet material. Furthermore, they offer theoretical guidance for the optimization of industrial hydrogenation milling parameters.
GEOPHYSICS, ASTRONOMY, AND ASTROPHYSICS
EDITOR'S SUGGESTION
2025, 74 (17): 179701.
doi: 10.7498/aps.74.20250704
Abstract +


