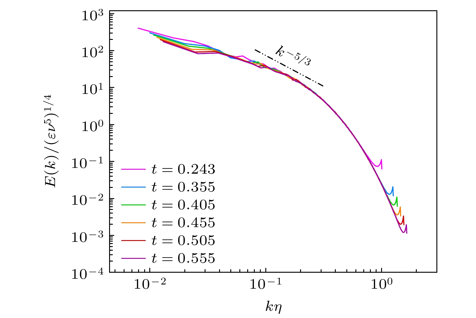
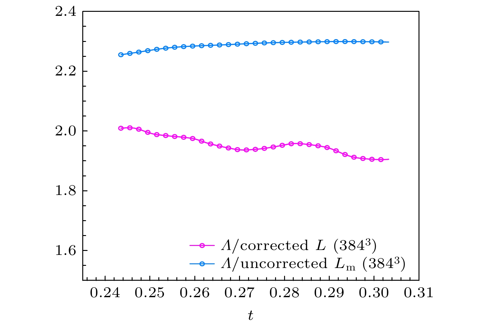
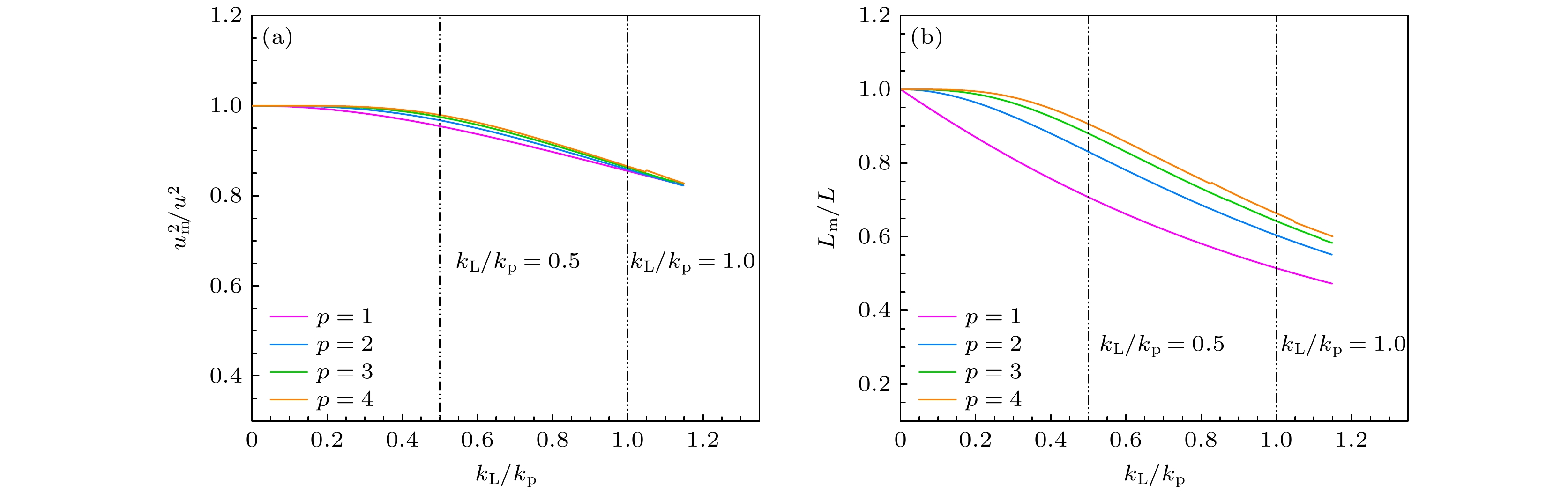
Turbulence modeling relies critically on accurate characterization of large-scale structures, with the integral length scale $ L $ serving as a key parameter for industrial applications ranging from combustion stability optimization to wind farm design and aerodynamic load prediction. However, direct numerical simulation (DNS) of turbulence faces inherent limitations in resolving all wavenumbers within the low-wavenumber region of the turbulent kinetic energy spectrum due to finite computational domain sizes. This unresolved low-wavenumber deficiency leads to incomplete characterization of large-scale structures and introduces systematic deviations in key statistical quantities, particularly the integral length scale $ L $ and turbulence dissipation coefficient $ {C}_{\varepsilon } $. As turbulence evolves, the spectral peak wavenumber $ {k}_{p} $ migrates toward lower wavenumbers, exacerbating the loss of large-scale information and causing computed statistics to diverge from physical reality. In this study, we perform high-fidelity DNS of homogeneous isotropic decaying turbulence in a periodic cubic domain of side length 4π with $ {384}^{3} $ grid points. The DNS is executed by using a standard pseudospectral solver and a fourth-order Runge-Kutta time integration scheme, with a semi-implicit treatment of the viscous term. The spatial resolution $ {k}_{\mathrm{m}\mathrm{a}\mathrm{x}}\eta =1.65 $ ensures adequate resolution of dissipative scales ($ \eta $ is the Kolmogorov scale). Simulations start from a fully developed field initialized with a spectrum matching Comte-Bellot and Corrsin’s experimental data and evolve within a time interval where turbulence exhibits established isotropic decay characteristics. Existing correction models, predominantly based on equilibrium turbulence assumptions, fail to accurately represent the non-equilibrium dynamics governed by large-scale structures. According to the generalized von Kármán spectrum model, we use a correction framework to explain the unresolved low-wavenumber contributions in homogeneous isotropic decaying turbulence. The DNS data reveal that the uncorrected integral scale $ {L}_{m} $ significantly underestimates the true $ L $, with errors escalating as $ {k}_{L}/{k}_{p} $ increases, where $ {k}_{L} $ is the minimum resolvable wavenumber in the simulation domain. After correction, $ L $ exhibits a temporal evolution following the Saffmann-predicted power-law relationship $ L\propto {t}^{2/5} $, contrasting sharply with the underestimated pre-correction values. Although the spectral correction substantially increases the spectral integral scale $ L $, its value remains less than the physically derived integral scale $ \varLambda $ computed from the velocity correlation function, which is primarily due to the finite domain size limiting large-scale statistics and the moderate grid resolution, though higher-resolution simulations with the same domain show $ L $ converging towards $ \varLambda $. Notably, the unmodified dissipation coefficient $ {C}_{\varepsilon } $ remains constant, which is consistent with equilibrium turbulence assumptions, whereas the corrected $ {C}_{\varepsilon } $ evolves according to the non-equilibrium scaling law $ {C}_{\varepsilon }\sim{Re}_{\lambda }^{-1} $. Further analysis confirms that the ratio $ L/\lambda $ shifts from Kolmogorov’s $ {Re}_{\lambda }^{1} $dependence to a Reynolds-number-independent plateau after correction, fundamentally changing the turbulence dissipation paradigm. This transition from equilibrium to non-equilibrium dissipation behavior underscores the dominant role of large-scale structures in regulating energy cascade dynamics. Our results demonstrate that finite Reynolds numbers or strong initial-condition effects amplify the non-equilibrium characteristics of turbulence, hindering the full-scale equilibrium. These findings reconcile long-standing theoretical discrepancies and provide a paradigm for modeling scale interactions in turbulence.