| [1] |
LI Jialin, ZHANG Guofeng, LI Siyao, WANG Tianjun, WEI Xueqi, LI Hua, GU Yuandong, SUN Limin. Design and performance evaluation of integrated superconducting quantum interference device chips for superconducting brain magnetometer systems. Acta Physica Sinica,
2025, 74(19): 198501.
doi: 10.7498/aps.74.20250426
|
| [2] |
LI Dan, LIU Haifeng. Influence of coil deformation on magnetic topology structure in Chinese first quasi-toroidally symmetric stellarator. Acta Physica Sinica,
2025, 74(5): 055203.
doi: 10.7498/aps.74.20241606
|
| [3] |
Fu Yu-Liang, Zhang Si-Yuan, Sun An-Bang, Ma Zu-Fu, Wang Ya-Nan. Electron extraction mechanism of magnet array microwave discharge neutralizer. Acta Physica Sinica,
2024, 73(11): 115203.
doi: 10.7498/aps.73.20240273
|
| [4] |
Zhang Wen-Bo, Liu Shao-Cheng, Liao Liang, Wei Wen-Yin, Li Le-Tian, Wang Liang, Yan Ning, Qian Jin-Ping, Zang Qing. Development of charge-discharge circuitry based on supercapacitor and its application to limiter probe diagnostics in EAST. Acta Physica Sinica,
2024, 73(6): 065203.
doi: 10.7498/aps.73.20231697
|
| [5] |
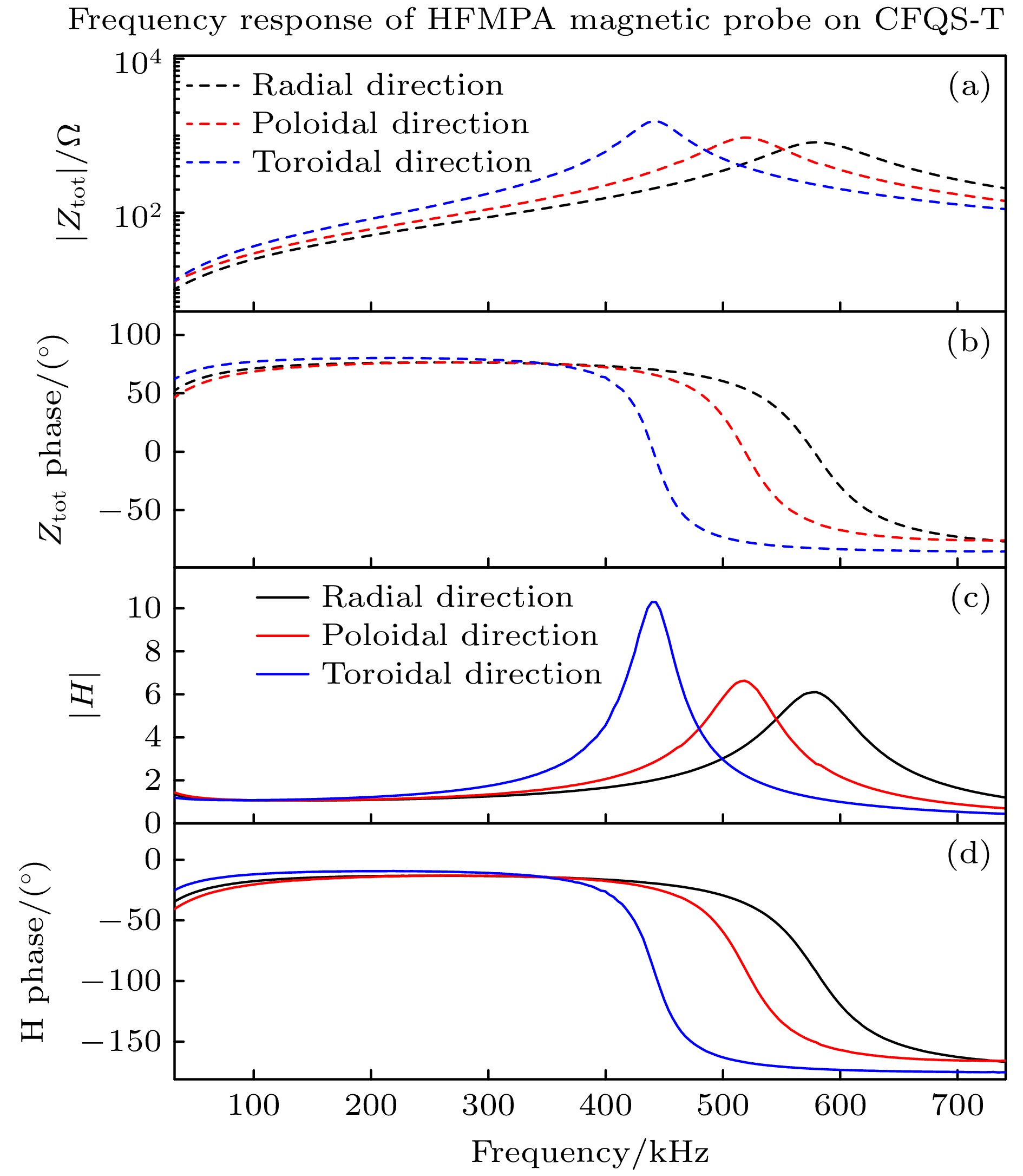
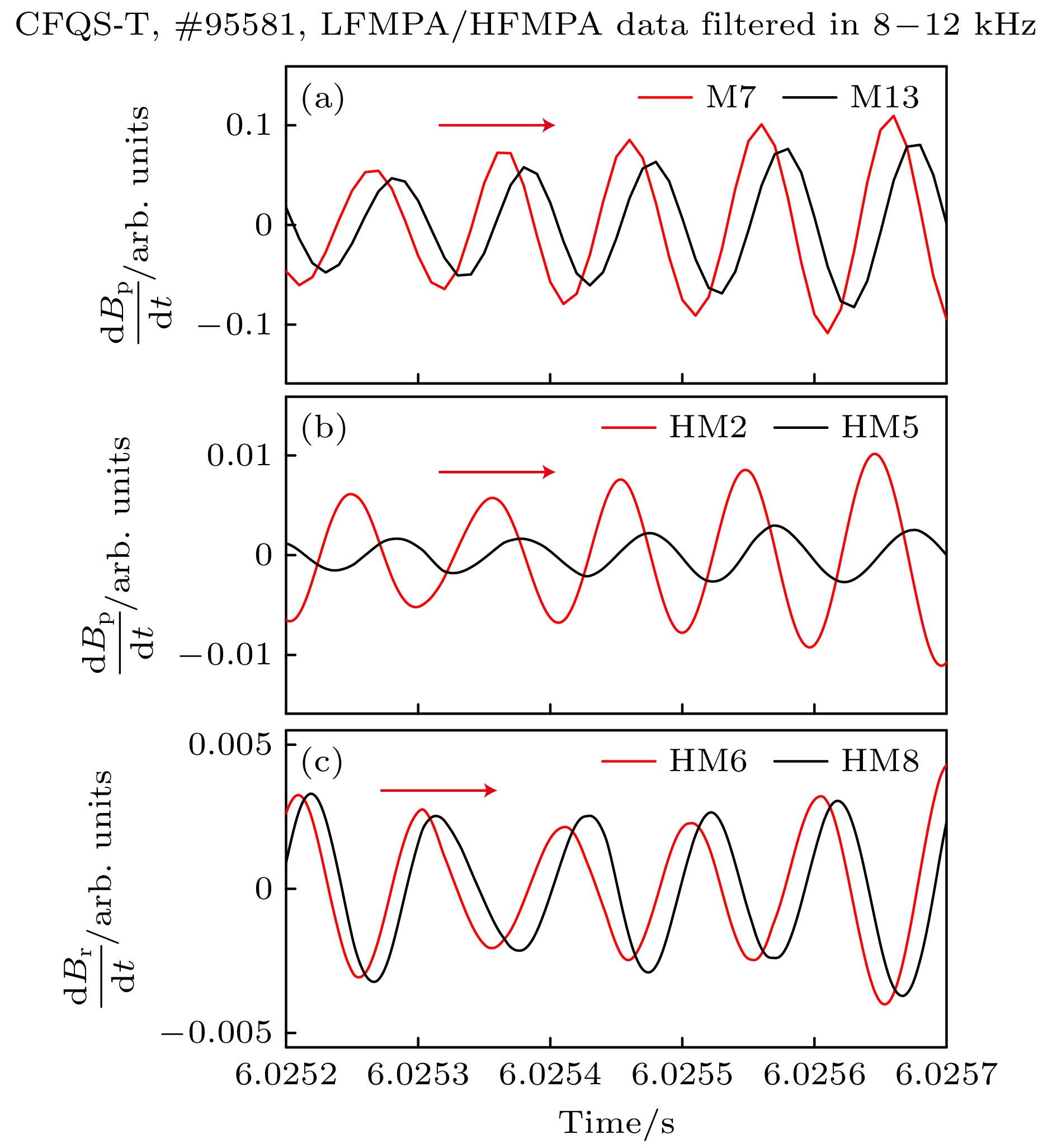
Su Xiang, Wang Xian-Qu, Fu Tian, Xu Yu-Hong. Suppression mechanism of equilibrium magnetic islands in CFQS low-$\boldsymbol \beta$ plasma. Acta Physica Sinica,
2023, 72(21): 215205.
doi: 10.7498/aps.72.20230546
|
| [6] |
Chen Yan-Jun, Wang Sheng-Ye, Fu Xiang, Liu Wei. Preliminary study on Reynolds stress model based on νt-scale equation. Acta Physica Sinica,
2022, 71(16): 164701.
doi: 10.7498/aps.71.20220417
|
| [7] |
Huang Jie, Li Mo-Shan, Qin Cheng, Wang Xian-Qu. Simulation of ion temperature gradient mode in Chinese First Quasi-axisymmetric Stellarator. Acta Physica Sinica,
2022, 71(18): 185202.
doi: 10.7498/aps.71.20220729
|
| [8] |
Li Zhao-Hui, Zhao Jian-Ke, Xu Liang, Liu Feng, Guo Yi, Liu Kai, Zhao Qing. Analysis and calibration of precision for point source transmittance system. Acta Physica Sinica,
2016, 65(11): 114206.
doi: 10.7498/aps.65.114206
|
| [9] |
Wu Chun-Yan, Du Xiao-Wei, Zhou Lin, Cai Qi, Jin Yan, Tang Lin, Zhang Han-Ge, Hu Guo-Hui, Jin Qing-Hui. Characterization and preliminary application of top-gated graphene ion-sensitive field effect transistors. Acta Physica Sinica,
2016, 65(8): 080701.
doi: 10.7498/aps.65.080701
|
| [10] |
Peng Shu-Yuan, Wang Qiu-Shi, Zhang Zhao-Chuan, Luo Ji-Run. Multimode steady-state theory for Gyro-TWT and simulation of mode competition. Acta Physica Sinica,
2014, 63(20): 208401.
doi: 10.7498/aps.63.208401
|
| [11] |
Zhang Yong-Sheng, Qiu Yang, Zhang Chao-Xiang, Li Hua, Zhang Shu-Lin, Wang Yong-Liang, Xu Xiao-Feng, Ding Hong-Sheng, Kong Xiang-Yan. Multi-channel magnetocardiogardiography system calibration. Acta Physica Sinica,
2014, 63(22): 228501.
doi: 10.7498/aps.63.228501
|
| [12] |
Li Guo-Lin, Shu Ting, Yuan Cheng-Wei, Zhang Jun, Jin Zhen-Xing, Yang Jian-Hua, Zhong Hui-Huang, Yang Jie, Wu Da-Peng. Preliminary investigation on the design and experiment of a spatial filter for dual band high power microwave. Acta Physica Sinica,
2010, 59(12): 8591-8596.
doi: 10.7498/aps.59.8591
|
| [13] |
Mi Jing-Long, Wang Fa-Qiang, Lin Qing-Qun, Liang Rui-Sheng, Liu Song-Hao. Decoy state quantum key distribution with dual detectors heralded single photon source. Acta Physica Sinica,
2008, 57(2): 678-684.
doi: 10.7498/aps.57.678
|
| [14] |
Wang Dong, Chen Dai-Bing, Fan Zhi-Kai, Deng Jing-Kang. High frequency characteristics of a magnetically insulated transmission line oscillator oscillating in HEM11 mode. Acta Physica Sinica,
2008, 57(8): 4875-4882.
doi: 10.7498/aps.57.4875
|
| [15] |
Yang Hai-Liang, Qiu Ai-Ci, Zhang Jia-Sheng, He Xiao-Ping, Sun Jian-Feng, Peng Jian-Chang, Tang Jun-Ping, Ren Shu-Qing, Ouyang Xiao-Ping, Zhang Guo-Guang, Huang Jian-Jun, Yang Li, Wang Hai-Yang, Li Hong-Yu, Li Jing-Ya. Preliminary research results for generation and application of high power ion beams on FLASH II accelerator. Acta Physica Sinica,
2004, 53(2): 406-412.
doi: 10.7498/aps.53.406
|
| [16] |
Sun Xi-Ming, Yao Chao-Hui, Yang Jing-Long. . Acta Physica Sinica,
2002, 51(9): 1942-1948.
doi: 10.7498/aps.51.1942
|
| [17] |
JIANG SHAO-EN, ZHENG ZHI-JIAN, CHENG JIN-XIU, SUN KE-XU, YANG JIA-MIN, MIAO WEN-YONG, WANG HONG-BIN. PRELIMINARY INVESTIGATION OF X-RAY RADIATION TRANSPORT IN CYLINDER TARGETS Ⅱ.EXPERIMENTAL MEASUREMENT AND ANALYSES. Acta Physica Sinica,
2000, 49(6): 1101-1105.
doi: 10.7498/aps.49.1101
|
| [18] |
CHEN XIAO-BO, N.Sawanobori, NIE YU-XIN. INITIAL STUDY ABOUT CROSS-ENERGY-TRANSFER AND FLUORESCENCE GUARD-AGAINST-FORGE IN OXYFLUORIDE VITROCERAMICS. Acta Physica Sinica,
2000, 49(12): 2488-2493.
doi: 10.7498/aps.49.2488
|
| [19] |
. ВОЗМОЖНОСТЬ ПРИМЕНЕНИЯ ФУНКЦИИ Ⅱ В СТРУКТУРНОМ АНАЛИЗЕ КРИСТАЛЛОВ ПО АНАЛОГИЮ С МЕТОДОМ ПРИМЕНЕНИЯ ФУНКЦИИ ПАТТЕРСОНА. Acta Physica Sinica,
1964, 20(2): 117-130.
doi: 10.7498/aps.20.117
|
| [20] |
. . Acta Physica Sinica,
1936, 2(2): 154-168.
doi: 10.7498/aps.2.154
|