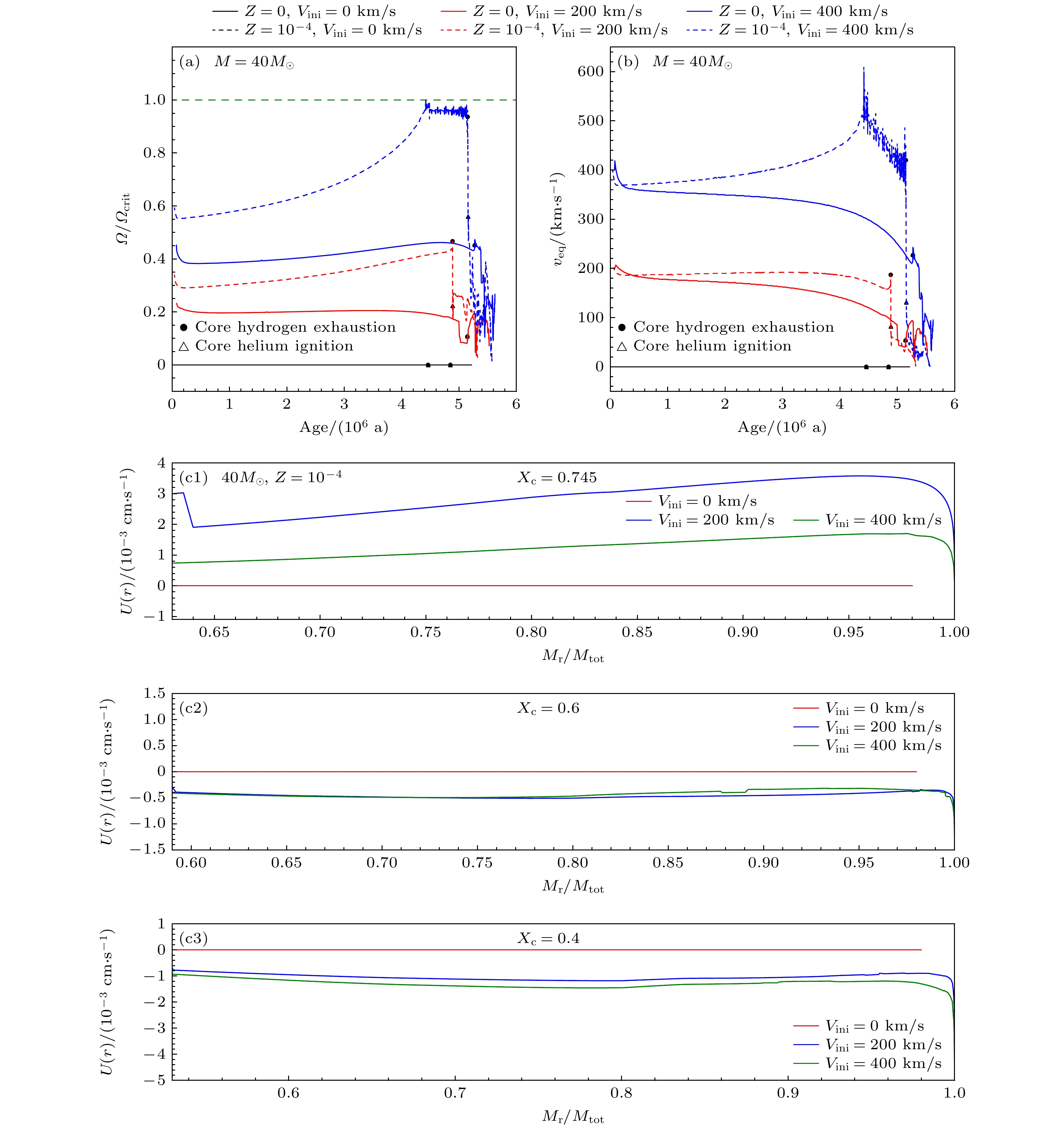
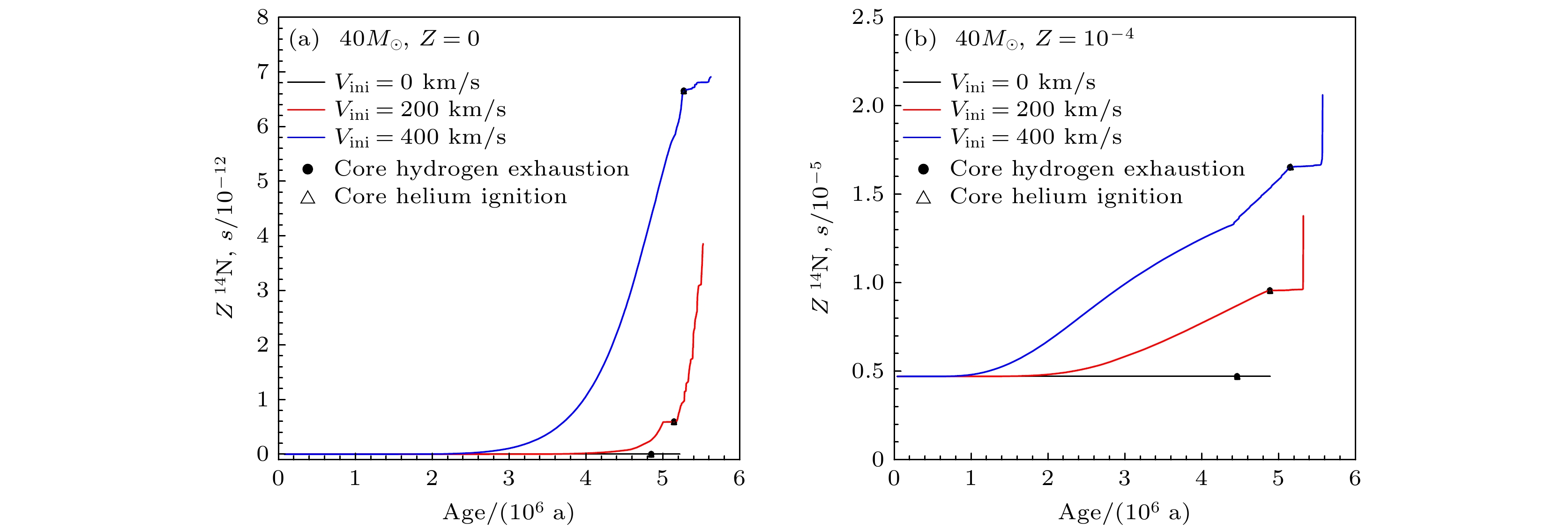
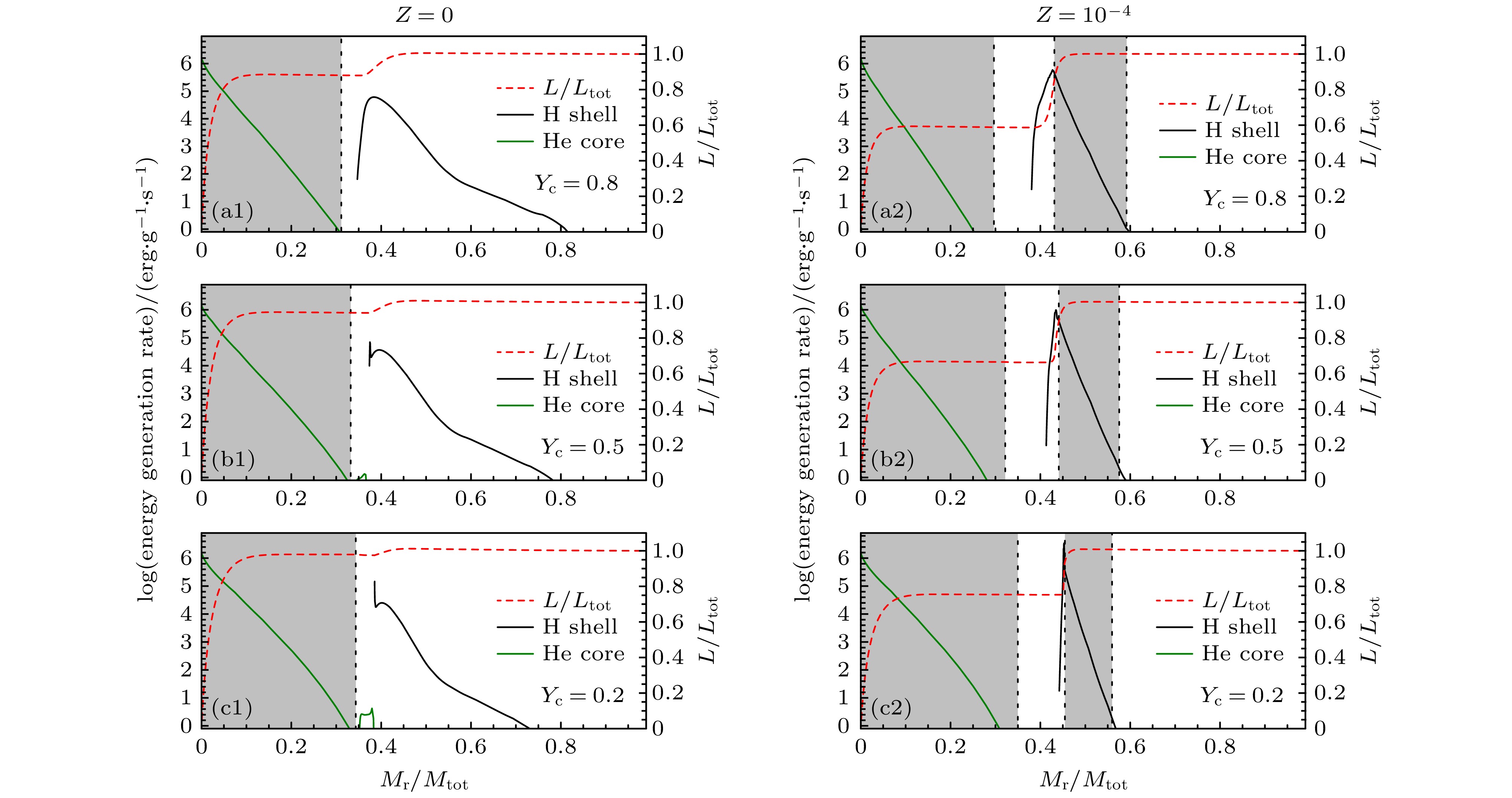
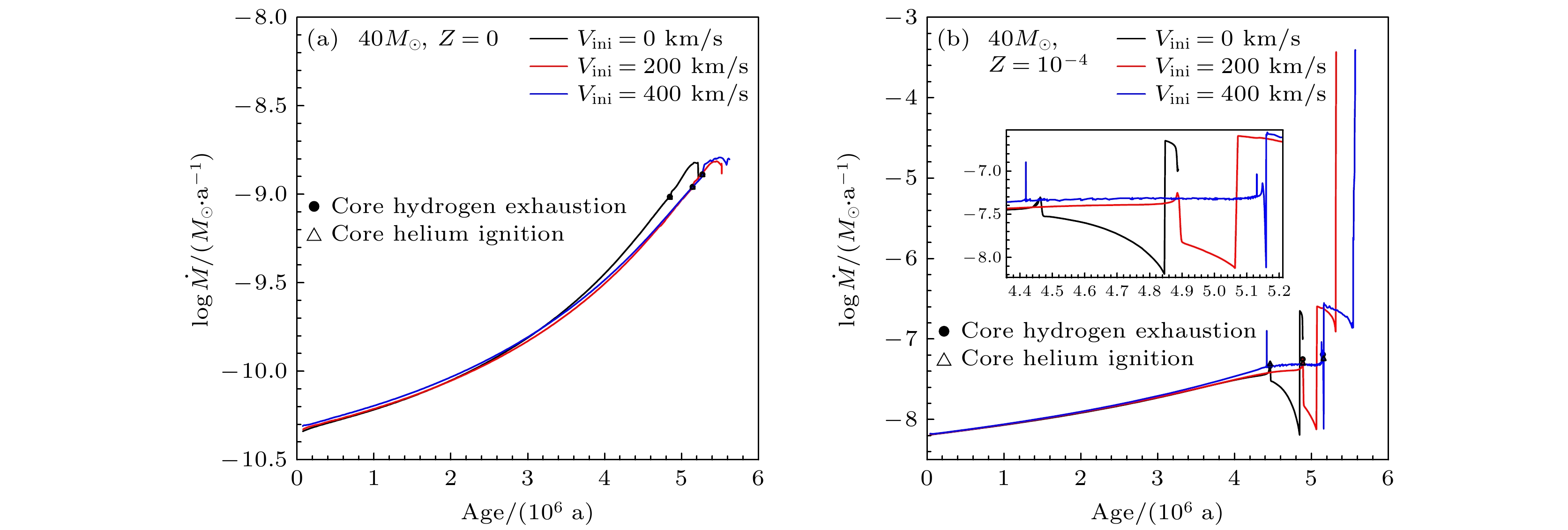
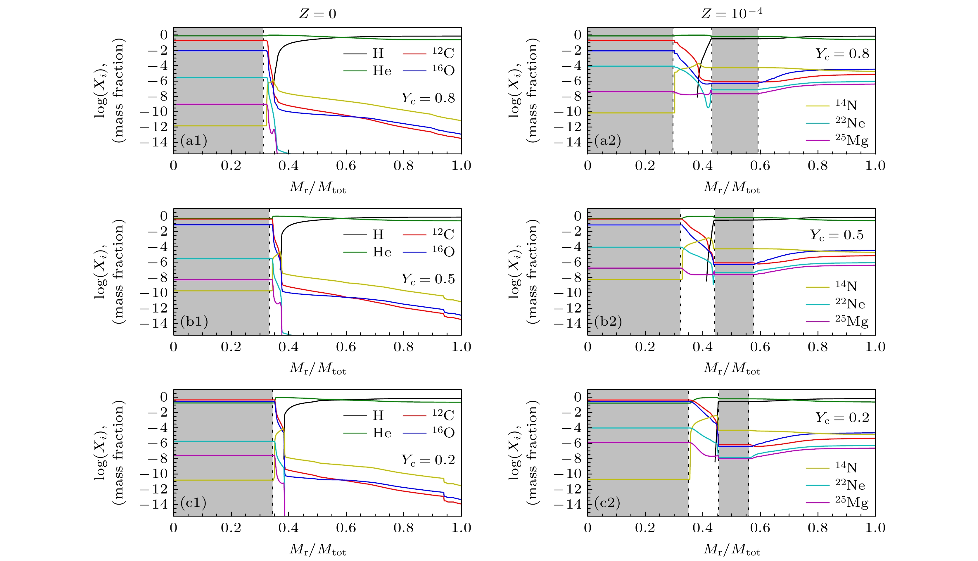
The effects of rotation on the evolution of Population Ⅲ (Pop Ⅲ) stars in the burning stages of core H and He are investigated. Due to their zero-metallicity nature, these stars are initially unable to burn hydrogen through the CNO cycle (Here, C, N, and O stand for carbon, nitrogen, and oxygen, respectively). And without this crucial energy supply, they experience a contraction phase during the early main sequence (MS). The lack of CNO elements not only affects the central region of the star but also leads to energy increase (due to triggering of the CNO cycle) in the stellar envelope due to the outward diffusion of He-burning products. Therefore, rotational mixing has a unique effect on these stars.Rotation significantly affects the observable properties of Pop Ⅲ stars through two main effects. One is that rotational mixing brings additional fuel into the nuclear burning core, which increases the luminosity as well as the stellar lifetimes, and the other is that rotational mixing brings He-burning products from the core to the H-burning shell during later evolutionary phases. This will change the temperature distribution, and may lead to significant expansion in some models, depending on the relative core size. The relative core size is crucial here, because the contribution of the outer shell and the core to the total energy produced tells us about the structure of the star and dominant factors in the evolution of the surface properties.Despite weaker meridional currents in Pop Ⅲ stars, angular momentum can accumulate at the surface in fast-rotating massive models because of their negligible mass loss through radiative winds. This spin-up causes the models with an initial mass of 40M⊙, an initial velocity of υini = 400 km/s, and a metallicity of Z = 10–4 to reach critical rotation during the MS, resulting in increased mass loss.Rotational mixing strongly affects metal enrichment, but unlike stars with high metallicity, it cannot consistently enhance metal production. Rotation leads to an early enhancement of CNO in the H shell during He burning, which may hinder metal enrichment. This effect also occurs during the core He-burning phase. In these cases, the convection caused by the CNO enhancement in the H shell will lead to the retraction of the He-burning core. As the core grows, the speed at which the H shell moves outwards is faster than the speed at which the He-burning products can be expelled from the core through rotational mixing, therefore hindering the interaction of these products with the H-burning shell, which is necessary for metal enrichment. H-He shell interactions after core He burning play a crucial role in metal production, where the rotation may enhance enrichment. This highlights the complexity in the metal enrichment processes of these models. A detailed understanding of the interior structure is therefore required to accurately predict metal yields.