-
Quantum communication can realize secure information transmission based on the fundamental principles of quantum mechanics. Photon is a crucial information carrier in quantum communication. The photonic quantum communication protocols require the transmission of photons or photonic entanglement between communicating parties. However, in this process, photon transmission loss inevitably occurs due to environmental noise. Photon transmission loss significantly reduces the efficiency of quantum communication and even threatens its security, so that it becomes a major obstacle for practical long-distance quantum communication. Quantum noiseless linear amplification (NLA) is a promising method for mitigating photon transmission loss. Through local operations and post-selection, NLA can effectively increase the fidelity of the target state or the average photon number in the output state while perfectly preserving the encoded information of the target state. As a result, employing NLA technology can effectively overcome photon transmission loss and extend the secure communication distance. In this paper, the existing NLA protocols are categorized into two types, i.e. the NLA protocols in DV quantum systems and CV quantum systems. A detailed introduction is given to the quantum scissor (QS)-based NLA protocols for single photons, single-photon polarization qubits, and single-photon spatial entanglement in the DV quantum systems. The QS-based NLA can effectively increase the fidelity of the target states while perfectly preserving its encodings. In recent years, researchers have made efforts to study various improvements to the QS-based NLA protocols. In the CV quantum systems, researchers have adopted parallel multiple QS structure and generalized QS to increase the average photon numbers of the Fock states, coherent states and two-mode squeezed vacuum states. In addition to theoretical advancements, significant progress has also been made in the experimental implementations of NLA. The representative experimental demonstrations of QS-based NLA protocols are summarized. Finally, the future development directions for NLA to facilitate its practical applications are presented. This review can provide theoretical support for practically developing NLA in the future. -
Keywords:
- quantum communication /
- quantum noise-free linear amplification /
- continuous variables /
- discrete variables
[1] [2] [3] [4] [5] [6] [7] [8] [9] [10] [11] [12] [13] [14] [15] [16] [17] [18] [19] [20] [21] [22] [23] [24] [25] [26] [27] [28] [29] [30] [31] [32] [33] [34] [35] [36] [37] [38] [39] [40] [41] [42] [43] [44] [45] [46] [47] [48] -
方案类型 目标态 增益g 成功概率P 特点 单光子NLA[8] $| 1 \rangle $ $\sqrt {{{( {1 - t} )} /t}} $ $t{\alpha ^{2}} + ( {1 - t} ){\beta ^{2}}$ 保留量子相干性, 但成功概率随增益增加而降低. 单光子极化
量子比特
NLA [11,18]$| {{1_{\text{H}}}} \rangle + | {{1_{\text{V}}}} \rangle $ $\sqrt {{{( {1 - t} )}/t}} $ ${t^2}{\alpha ^2} + t( {1 - t} )( {\beta _{\text{H}}^2 + \beta _{\text{V}}^2} )$ 分别在水平(H)和垂直(V)路径上独立运行QS, 牺牲成功概率来保护极化自由度的编码信息. 单光子纠缠态NLA[14] $\dfrac{{ {| 1 \rangle | 0 \rangle + | 0 \rangle | 1 \rangle } }}{{\sqrt 2 }}$ $ \dfrac{{( {1 - t} )}}{{t + \eta - 2 t\eta }} $ $t( {t + \eta - 2 t\eta } )$ 在空间纠缠态的两条路径同时应用QS, 通过后选择提高纠缠保真度. 具有局域正交压缩操作的
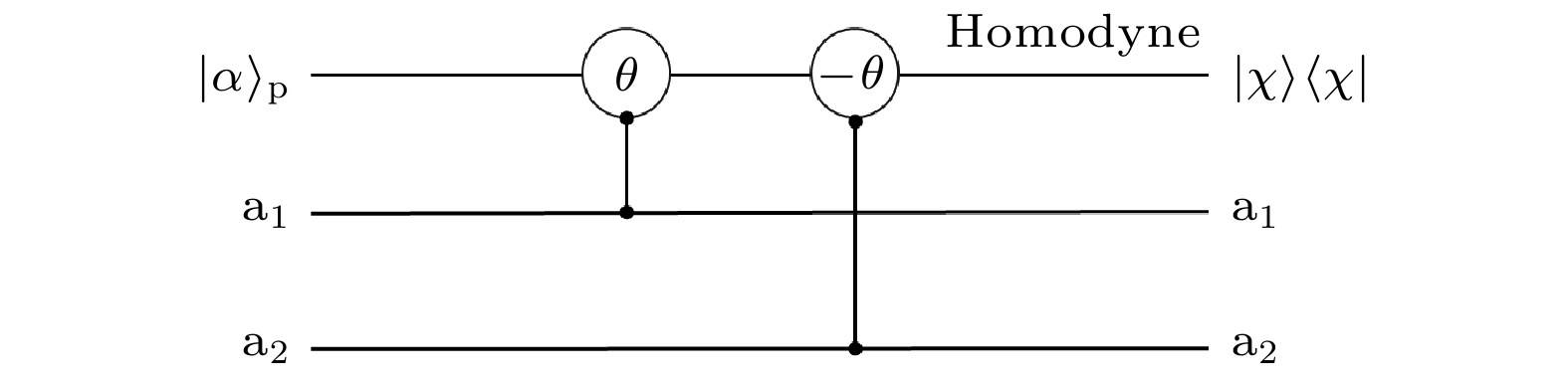
NLA[17]$| 1 \rangle $ $\sqrt {\dfrac{{\cosh \xi ( {1 - t} )}}{t}} $ $\dfrac{{{\alpha ^{2}}t}}{{\cosh {\xi ^3}}} + \dfrac{{{\beta ^{2}}( {1 - t} )}}{{\cosh {\xi ^4}}}$ 引入正交压缩操作, 提升成功概率和增益. 基于纠缠辅助的NLA[16] $| {{1_{\text{H}}}} \rangle + | {{1_{\text{V}}}} \rangle $ $\dfrac{{{{( {3{r^2} - 1} )}^{2}}}}{{{4}{r^{2}}}}$ ${r^2}[ {{{| \alpha |}^2} + {g_{6}}( {{{| {{\beta _{\text{H}}}} |}^2} + {{| {{\beta _{\text{V}}}} |}^2}} )} ]$ 利用双光子纠缠态作为辅助资源, 通过部分偏振分束器(PPBS)实现保真度趋近1, 成功概率不随增益趋零. 同时抵御光子损耗和退相干的NLA [19] $\dfrac{{ {| 1 \rangle | 0 \rangle + | 0 \rangle | 1 \rangle } }}{{\sqrt 2 }}$ $\dfrac{{{\alpha ^{2}}{t_2} + {\beta ^{2}}{t_1} - {t_1}{t_2}}}{{\eta ( {{\alpha ^{2}}{t_2} + {\beta ^{2}}{t_1}} ) + {t_1}{t_2} - 2\eta {t_1}{t_2}}}$ — 同时解决光子丢失和退相干问题 可循环
NLA[20]$\dfrac{{ {| 1 \rangle | 0 \rangle + | 0 \rangle | 1 \rangle } }}{{\sqrt 2 }}$ 每轮增益的总和 每轮成功概率总和 利用交叉克尔介质进行循环操作逐步提高低保真度纠缠态的保真度. NLA方案类型 目标态 增益g 成功概率P 特点 多个1-QS并行[8] 弱相干态 $\sqrt{{{( {1 - t} )}/t}} $ ${t^N}{{\rm e}^{ - ( {1 - {g^2}} ){{| \alpha |}^2}}}$ 放大弱相干态, 成功概率随着分束数量N 的增加而降低 广义量子剪刀[29] Fock态 $\sqrt {{t/{( {1 - t} )}}} $ $\dfrac{3}{8}{\Big( {\dfrac{1}{{{g^2} + 1}}} \Big)^3}( {{{| {{c_0}} |}^2} + {{| {g{c_1}} |}^2} + {{| {{g^2}{c_2}} |}^2} + {{| {{g^3}{c_{3}}} |}^2}} )$ 可对输入Fock态进行(2S – 1)阶截断并
放大, 其中S = 1, 2, 3等n光子量子剪刀[32] Fock态 $\sqrt {{t /{( {1 - t} )}}} $ $\begin{gathered} {P^{{\text{BP}}}} = ( {n + 1} )P \\ {P^{{\text{SP}}}} = {{{{( {n + 1} )}^n}P}/{( {n + 1} )!}} \end{gathered} $ 可以对任意的n阶Fock态进行截断和放大, 有两种实现方式, 可根据截断阶数来选择不同的方案, 得到最优的成功概率 光子加减法[34] $| 0 \rangle + \alpha | 1 \rangle $ — — 在保真度、增益和噪声控制上均
突破经典极限测量[35] 任意输入态 2 — 通过特定滤波函数进行后选择, 得到接近最佳成功概率, 实现任意精度放大 量子催化[36] $| {00} \rangle - \gamma | {11} \rangle $ 1/t ${t^2} + {\gamma ^2}{\tau ^2}$ 可高效恢复纠缠并适用于任意高损耗路径中弱双模压缩态的纠缠蒸馏与放大 -
[1] [2] [3] [4] [5] [6] [7] [8] [9] [10] [11] [12] [13] [14] [15] [16] [17] [18] [19] [20] [21] [22] [23] [24] [25] [26] [27] [28] [29] [30] [31] [32] [33] [34] [35] [36] [37] [38] [39] [40] [41] [42] [43] [44] [45] [46] [47] [48]
Catalog
Metrics
- Abstract views: 1702
- PDF Downloads: 76
- Cited By: 0









DownLoad: