2024 Vol. 73, No. 22
column
- INVITED REVIEW
- INSTRUMENTATION AND MEASUREMENT
- DATA PAPERS
- REVIEW
- GENERAL
- THE PHYSICS OF ELEMENTARY PARTICLES AND FIELDS
- COVER ARTICLE
- ELECTROMAGNETISM, OPTICS, ACOUSTICS, HEAT TRANSFER, CLASSICAL MECHANICS, AND FLUID DYNAMICS
- PHYSICS OF GASES, PLASMAS, AND ELECTRIC DISCHARGES
- CONDENSED MATTER: STRUCTURAL, MECHANICAL, AND THERMAL PROPERTIES
- CONDENSED MATTER: ELECTRONIC STRUCTURE, ELECTRICAL, MAGNETIC, AND OPTICAL PROPERTIES
- INTERDISCIPLINARY PHYSICS AND RELATED AREAS OF SCIENCE AND TECHNOLOGY
Display Method:
2024, 73(22): 220302.
doi: 10.7498/aps.73.20240893
Abstract:
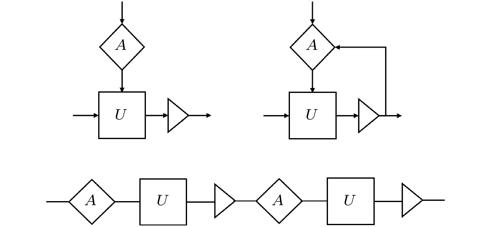
Quantum computing has been proven to be powerful, however, there are still great challenges for building real quantum computers due to the requirements of both fault-tolerance and universality. There is still no systematic method to design fast quantum algorithms and identify the key quantum resources. In this work, we develop a resource-theoretic approach to characterize universal quantum computing models and the universal resources for quantum computing. Our theory combines the framework of universal quantum computing model (UQCM) and the quantum resource theory (QRT). The former has played major roles in quantum computing, while the later was developed mainly for quantum information theory. Putting them together proves to be ‘win-win’: on one hand, using QRT can provide a resource-theoretic characterization of a UQCM, the relation among models and inspire new ones, and on the other hand, using UQCM offers a framework to apply resources, study relation among resources and classify them. In quantum theory, we mainly study states, evolution, observable, and probability from measurements, and this motivates the introduction of different families of UQCMs. A family also includes generations depending on a hierarchical structure of resource theories. We introduce a table of UQCMs by first classifying two categories of models: one referring to the format of information, and one referring to the logical evolution of information requiring quantum error-correction codes. Each category contains a few families of models, leading to more than one hundred of them in total. Such a rich spectrum of models include some well-known ones that people use, such as the circuit model, the adiabatic model, but many of them are relatively new and worthy of more study in the future. Among them are the models of quantum von Neumann architectures established recently. This type of architecture or model circumvents the no-go theorems on both the quantum program storage and quantum control unit, enabling the construction of more complete quantum computer systems and high-level programming. Correspondingly, each model is captured by a unique quantum resource. For instance, in the state family, the universal resource for the circuit model is coherence, for the local quantum Turing machine is bipartite entanglement, and for the cluster-state based, also known as measurement-based model is a specific type of entanglement relevant to symmetry-protected topological order. As program-storage is a central feature of the quantum von Neumann architecture, we find the quantum resources for it are quantum memories, which are dynamical resources closely related to entanglement. In other words, our classification of UQCMs also serves as a computational classification of quantum resources. This can be used to resolve the dispute over the computing power of resources, such as interference, entanglement, or contextuality. In all, we believe our theory lays down a solid framework to study computing models, resources, and design algorithms.
2024, 73(22): 229201.
doi: 10.7498/aps.73.20241072
Abstract:
Efficient photosynthesis reaction is attributed to the flexible energy regulation of two important pigment-protein complexes, i.e. photosystem II (PSII) and photosystem I (PSI). Cryogenic spectral microscopy provides information about the spatial distribution and physiological functional states of photosynthetic components in photosynthetic organisms. Under low temperatures, the uphill energy transfer between pigments is efficiently suppressed so that the temperature-dependent PSI can be well analyzed. Therefore, a cryogenic spectral microscope allows us to discuss the physiological events surrounding PSII and PSI in the independent microscopic zones. This technique can be used to complement the insufficiencies of cryogenic electron microscopy and atomic force microscopy in analyzing the photophysics and photochemistry of photosynthetic species. Historically, cryogenic optical microscopes originated from the desire for single-molecule spectroscopy detection. So far, the combination of optical microscopies and various spectroscopic techniques has expanded the possibility of studying photosynthesis from multiple perspectives. In this paper, the important and recent progress of cryogenic spectral microscopy in the field of natural photosynthesis research is reviewed from two aspects: single-molecule spectroscopy and single-cell spectroscopy, and the advantages of this technique in clarifying the correlation between structure variability and function of pigment-protein complexes, as well as the physiological responses of photosynthetic organisms to variable environments, are also illustrated.
Efficient photosynthesis reaction is attributed to the flexible energy regulation of two important pigment-protein complexes, i.e. photosystem II (PSII) and photosystem I (PSI). Cryogenic spectral microscopy provides information about the spatial distribution and physiological functional states of photosynthetic components in photosynthetic organisms. Under low temperatures, the uphill energy transfer between pigments is efficiently suppressed so that the temperature-dependent PSI can be well analyzed. Therefore, a cryogenic spectral microscope allows us to discuss the physiological events surrounding PSII and PSI in the independent microscopic zones. This technique can be used to complement the insufficiencies of cryogenic electron microscopy and atomic force microscopy in analyzing the photophysics and photochemistry of photosynthetic species. Historically, cryogenic optical microscopes originated from the desire for single-molecule spectroscopy detection. So far, the combination of optical microscopies and various spectroscopic techniques has expanded the possibility of studying photosynthesis from multiple perspectives. In this paper, the important and recent progress of cryogenic spectral microscopy in the field of natural photosynthesis research is reviewed from two aspects: single-molecule spectroscopy and single-cell spectroscopy, and the advantages of this technique in clarifying the correlation between structure variability and function of pigment-protein complexes, as well as the physiological responses of photosynthetic organisms to variable environments, are also illustrated.
2024, 73(22): 228701.
doi: 10.7498/aps.73.20241367
Abstract:
Since the beginning of the 21st century, scanning probe microscopy (SPM) has played an increasingly important role in investigating the micro- and nanoscale surface characterization, physical property measurement, and micro/nano fabrication. To provide a more stable operating environment and higher energy resolution for SPM, researchers have developed low-temperature scanning probe microscopy (LT-SPM) systems that operate under the conditions of ultra-high vacuum and low temperature. Currently, most of LT-SPM systems have achieved temperatures around 4.2 K by supplying liquid helium-4 (4He) to continuous flow cryostats or low-temperature Dewars. However, due to the low natural abundance of 4He and its increasing demand, the significant increase in the price of liquid helium has seriously affected the normal operation of 4He-based low temperature equipment. To solve this problem, dry (cryogen-free) refrigeration technology has emerged as a promising alternative to the next-generation low-temperature systems. In this context, the integration of dry refrigeration technology with SPM to construct Dry-LT-SPM systems has become a key research focus in the field of scanning probe instruments. This paper mainly discusses several reported closed-cycle Dry-LT-SPM systems, focusing on aspects such as system design, refrigeration schemes, vibration reduction methods, and overall performance. Finally, this paper summarizes the current challenges and problems faced by Dry-LT-SPM systems and explores potential future developments in this field.
2024, 73(22): 220601.
doi: 10.7498/aps.73.20241215
Abstract:
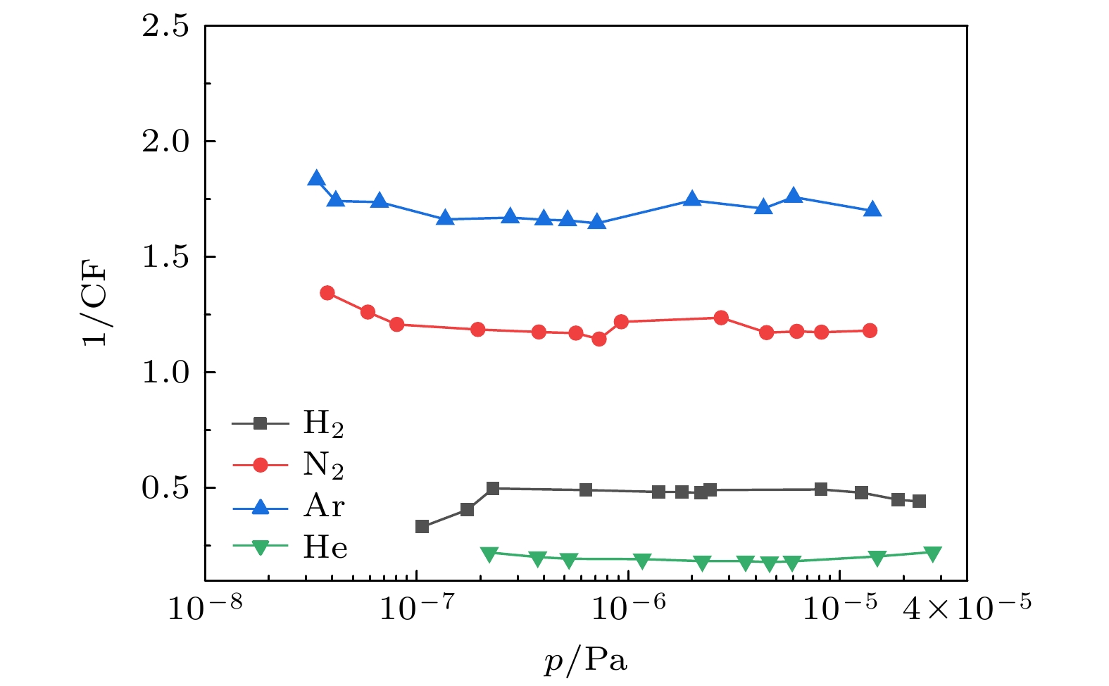
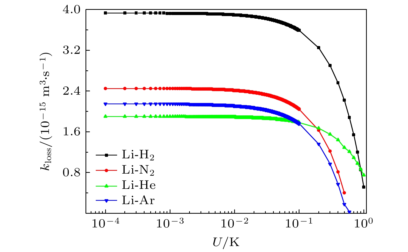
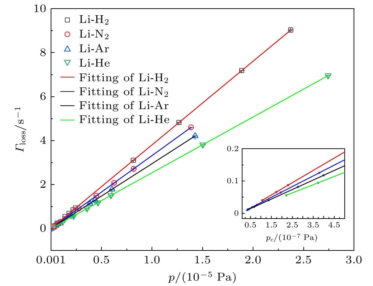
The redefinition of the International System of Units (SI) promotes the transformation of the vacuum measurement system toward quantization, and the quantization of vacuum parameters is one of the most leading, prospective and subversive research directions in the field of international vacuum metrology, and the quantum vacuum measurement is based on the quantum effect of the microscopic particle system, and the use of optical means and the theory of quantum mechanics to realize the precision measurement of the vacuum parameters. We develop a lithium-cooled atom vacuum measurement apparatus, which mainly consists of a 7Li atom trap system and a continuous expansion vacuum system. In this work, an experimental study of ultrahigh vacuum measurement is carried out by manipulating 7Li atoms and utilizing the loss characteristics of lithium cold atoms in magneto-optical and magnetic traps, and the results show that for the four commonly used gas molecules in vacuum, namely N2, Ar, He, and H2, in the vacuum range of (3×10–8–4×10–5) Pa, the maximum measurement uncertainty is 7.6%–6.0% (k = 2) based on 7Li cold atoms, and the cold atom vacuum measurement results are in good agreement with those of the traditional ionization vacuum gauges, and their relative sensitivities are in good agreement with those of the ionization vacuum gauges, and the maximal deviation of the relative sensitivity factor is less than 8%, which verifies the accuracy and reliability of the cold-atom quantum vacuum measurements. The research results are of great significance in promoting the development of new cross-generation vacuum measurement technology and meeting the needs of space science exploration, ultra-precision measurement and high-end equipment manufacturing.
The redefinition of the International System of Units (SI) promotes the transformation of the vacuum measurement system toward quantization, and the quantization of vacuum parameters is one of the most leading, prospective and subversive research directions in the field of international vacuum metrology, and the quantum vacuum measurement is based on the quantum effect of the microscopic particle system, and the use of optical means and the theory of quantum mechanics to realize the precision measurement of the vacuum parameters. We develop a lithium-cooled atom vacuum measurement apparatus, which mainly consists of a 7Li atom trap system and a continuous expansion vacuum system. In this work, an experimental study of ultrahigh vacuum measurement is carried out by manipulating 7Li atoms and utilizing the loss characteristics of lithium cold atoms in magneto-optical and magnetic traps, and the results show that for the four commonly used gas molecules in vacuum, namely N2, Ar, He, and H2, in the vacuum range of (3×10–8–4×10–5) Pa, the maximum measurement uncertainty is 7.6%–6.0% (k = 2) based on 7Li cold atoms, and the cold atom vacuum measurement results are in good agreement with those of the traditional ionization vacuum gauges, and their relative sensitivities are in good agreement with those of the ionization vacuum gauges, and the maximal deviation of the relative sensitivity factor is less than 8%, which verifies the accuracy and reliability of the cold-atom quantum vacuum measurements. The research results are of great significance in promoting the development of new cross-generation vacuum measurement technology and meeting the needs of space science exploration, ultra-precision measurement and high-end equipment manufacturing.
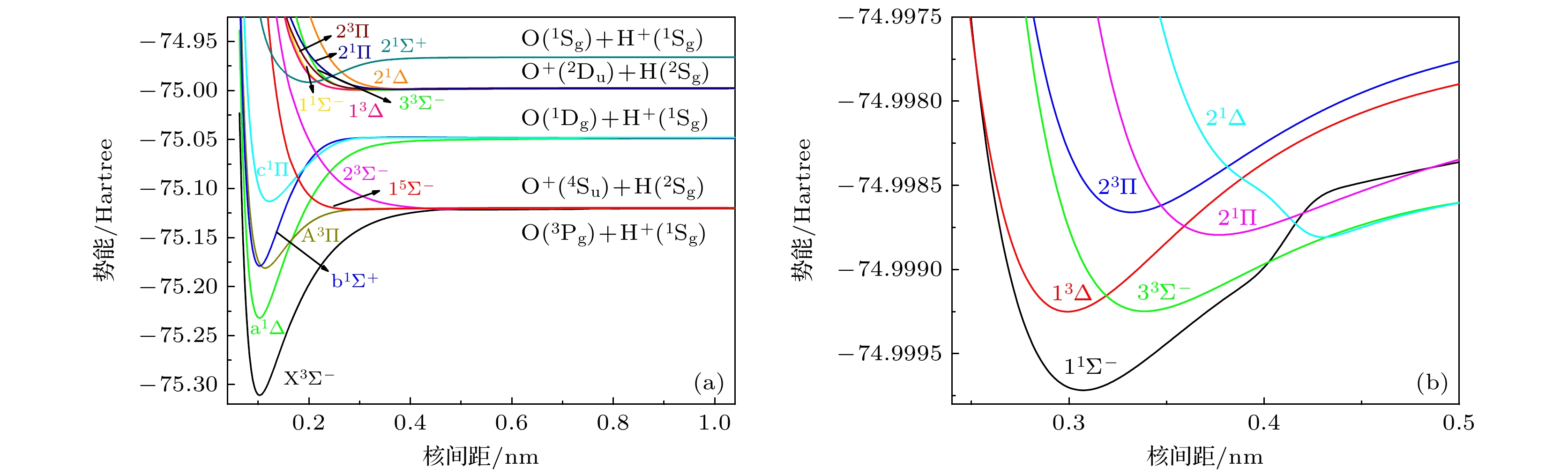
2024, 73(22): 223101.
doi: 10.7498/aps.73.20241301
Abstract:
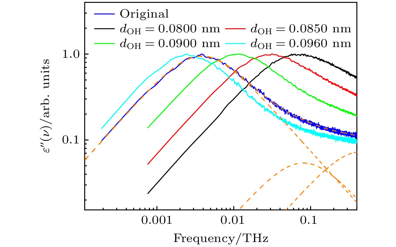
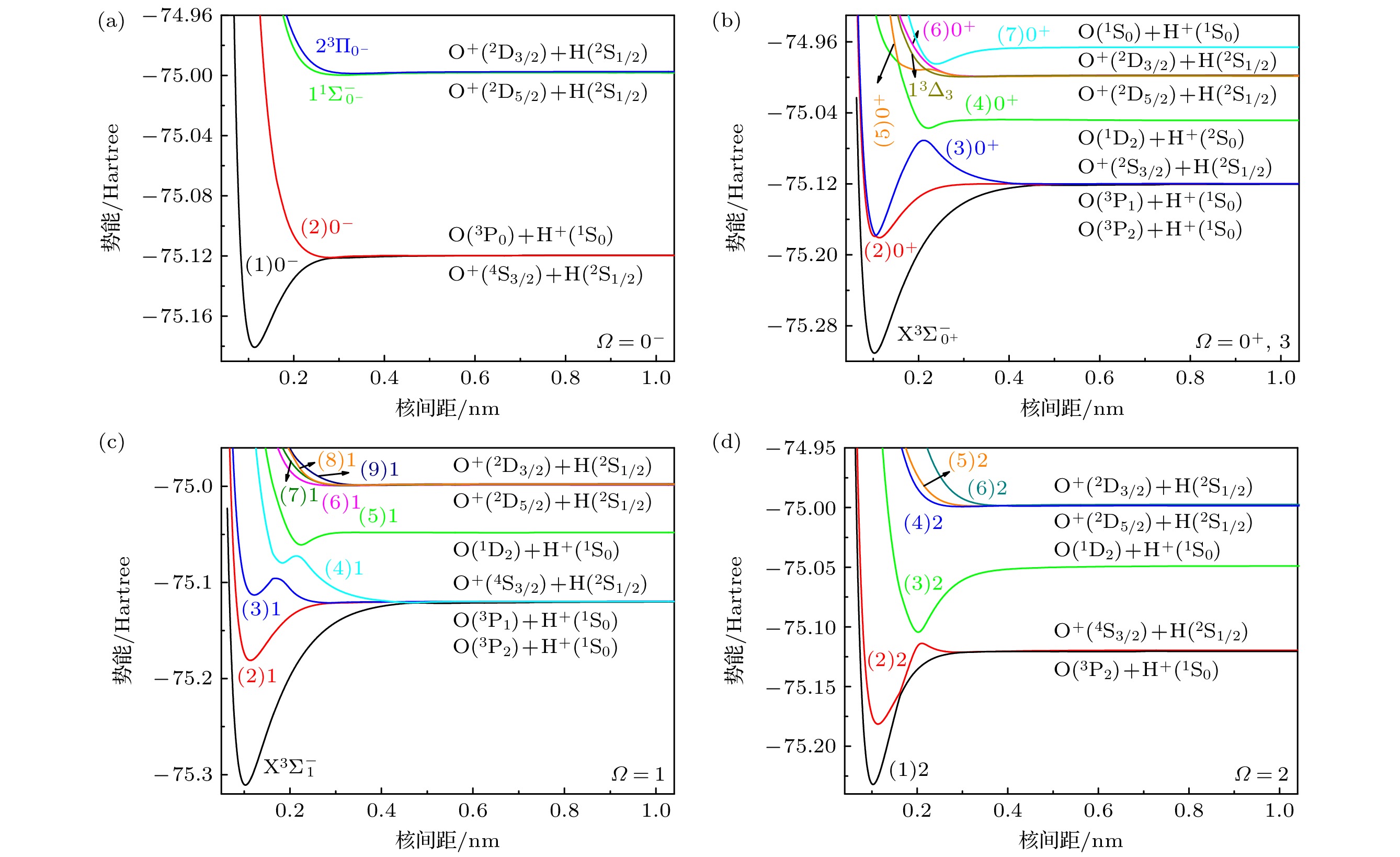
Based on the selection of appropriate active space and basis sets, and consideration of various physical effects such as scalar relativistic effect, core-valence electron correlation, complete basis set limit and spin-orbit coupling effect, the precise ionization energy of X3Σ–/a1Δ/b1Σ+/A3Π/c1Π(OH+)←X2Π(OH), and the potential energy curves of 14 Λ-S and 27 Ω states of OH+ are obtained by using the optimized icMRCI + Q method. The transition dipole moments between six Ω states[\begin{document}$ {\mathrm{X}}{}^3\Sigma _{{0^ + }}^{{ - }} $\end{document} , \begin{document}$ {{\text{X}}^{3}}{{\Sigma }}_{1}^{{ - }} $\end{document} , (1)2, (2)2, (2)1, and (1)0–] are obtained by using the all electron icMRCI/cc-pCV5Z + SOC theory. The ionization energy, spectroscopic and vibrational-rotational transition data obtained in this work are in good agreement with the existing measurements. The findings in this work are as follows. 1) The radiation lifetimes of (1)2(υ' = 0–6, J' = 2, +) gradually decrease with υ' increasing, while the radiation widths correspondingly increase; the spontaneous emissions of (1)2(υ' = 0–6, J' = 2, +)–\begin{document}$ {\text{X}}{}^3{{\Sigma }}_1^{{ - }} $\end{document} (υ'', J'' = 1, –) are weak. 2) The radiation lifetimes of (2)21st well(υ' = 0–2, J' = 2, +), (2)1(υ' = 0–9, J' = 1, +), and (1)0–(υ' = 0–8, J' = 0, +) all gradually increase as υ' increases, while their radiation widths narrow with υ' increasing; the spontaneous emissions of (2)21st well(υ' = 0–2, J' = 2, +)–\begin{document}$ {\text{X}}{}^3{{\Sigma }}_1^{{ - }} $\end{document} (υ'', J'' = 1, –), (2)1(υ' = 0–9, J' = 1, +)–\begin{document}$ {\text{X}}{}^{3}{{\Sigma }}_{{{0}^ + }}^{{ - }} $\end{document} (υ'', J'' = 1, –), and (1)0–(υ' = 0–8, J' = 0, +)–\begin{document}$ {\text{X}}{}^3{{\Sigma }}_1^{{ - }} $\end{document} (υ'', J'' = 1, –) are strong. 3) The radiation lifetimes of (2)21st well(υ' = 0–2, +), (2)1(υ' = 0–9, +), and (1)0–(υ' = 0–8, +) all gradually increase with J' increasing. The datasets presented in this work, including the potential energy curves of 14 Λ-S and 27 Ω states, 7 pairs of transition dipole moments between the 6 Ω states [\begin{document}$ {{\mathrm{X}}}^3\Sigma _{{0^ + }}^{{ - }} $\end{document} , \begin{document}$ {\text{X}}{}^3{{\Sigma }}_1^{{ - }} $\end{document} , (1)2, (2)2, (2)1, (1)0–], and distributions of the radiative lifetime varying with the J' of the (2)21st well(υ' = 0–2, +), (2)1(υ' = 0–9, +), and (1)0–(υ' = 0–8, +) states may be available at https://www.doi.org/10.57760/sciencedb.j00213.00058 .
Based on the selection of appropriate active space and basis sets, and consideration of various physical effects such as scalar relativistic effect, core-valence electron correlation, complete basis set limit and spin-orbit coupling effect, the precise ionization energy of X3Σ–/a1Δ/b1Σ+/A3Π/c1Π(OH+)←X2Π(OH), and the potential energy curves of 14 Λ-S and 27 Ω states of OH+ are obtained by using the optimized icMRCI + Q method. The transition dipole moments between six Ω states[
2024, 73(22): 220401.
doi: 10.7498/aps.73.20241115
Abstract:
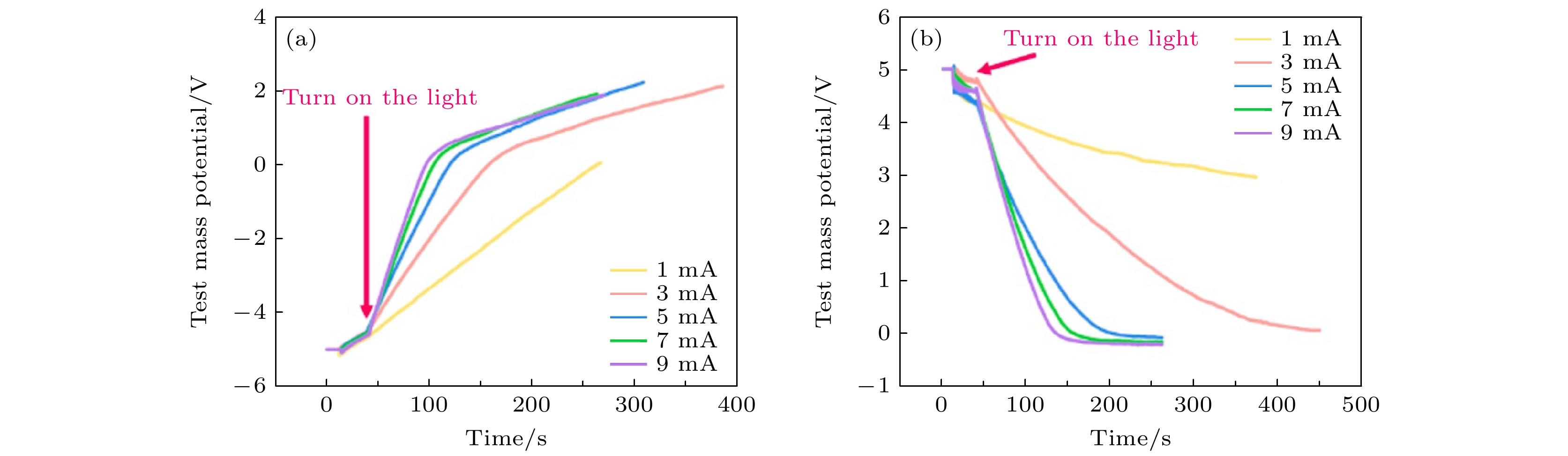
Gravitational waves are a kind of matter wave, which is caused by the violent motion and changes of matter and energy. Detecting gravitational waves allows people to observe the universe from a new perspective. In the process of gravitational wave detection, high-energy particles and cosmic rays in space can penetrate the exterior of the spacecraft and reach the surface of the inertial sensor’s test mass (TM), continuously accumulating charges. Once the charge on the TM exceeds a certain threshold, the electrostatic forces between the TM and surrounding conductors generate significant acceleration noise, which will affect the measurement accuracy of the inertial sensors and, consequently, the success of the gravitational wave detection mission. Therefore, controlling the charge on the TM surface, known as charge management, is essential. The most commonly used charge management method is based on the photoelectric effect, using ultraviolet (UV) light to control the potential between the surface of the TM and the surrounding conductors. In previous charge management systems (CMSs), UV mercury lamps and UV light-emitting diodes (LEDs) were used as light sources, achieving varying levels of success. This paper mainly reviews the research progress of UV light sources in CMS for space gravitational wave detection. Mercury lamps, as the first-generation system light sources, can fulfill the mission but have some drawbacks such as slow startup, high power consumption and significant electromagnetic interference. UV LEDs, because of their advantages in size and weight, have gradually become the current light source for CMS. In recent years, with the development of UV micro-LED technology, UV micro-LEDs have achieved higher external quantum efficiency and lower power consumption, demonstrating their potential applications in CMS, and becoming a promising UV light source for future charge management systems.
Gravitational waves are a kind of matter wave, which is caused by the violent motion and changes of matter and energy. Detecting gravitational waves allows people to observe the universe from a new perspective. In the process of gravitational wave detection, high-energy particles and cosmic rays in space can penetrate the exterior of the spacecraft and reach the surface of the inertial sensor’s test mass (TM), continuously accumulating charges. Once the charge on the TM exceeds a certain threshold, the electrostatic forces between the TM and surrounding conductors generate significant acceleration noise, which will affect the measurement accuracy of the inertial sensors and, consequently, the success of the gravitational wave detection mission. Therefore, controlling the charge on the TM surface, known as charge management, is essential. The most commonly used charge management method is based on the photoelectric effect, using ultraviolet (UV) light to control the potential between the surface of the TM and the surrounding conductors. In previous charge management systems (CMSs), UV mercury lamps and UV light-emitting diodes (LEDs) were used as light sources, achieving varying levels of success. This paper mainly reviews the research progress of UV light sources in CMS for space gravitational wave detection. Mercury lamps, as the first-generation system light sources, can fulfill the mission but have some drawbacks such as slow startup, high power consumption and significant electromagnetic interference. UV LEDs, because of their advantages in size and weight, have gradually become the current light source for CMS. In recent years, with the development of UV micro-LED technology, UV micro-LEDs have achieved higher external quantum efficiency and lower power consumption, demonstrating their potential applications in CMS, and becoming a promising UV light source for future charge management systems.
2024, 73(22): 220301.
doi: 10.7498/aps.73.20241171
Abstract:
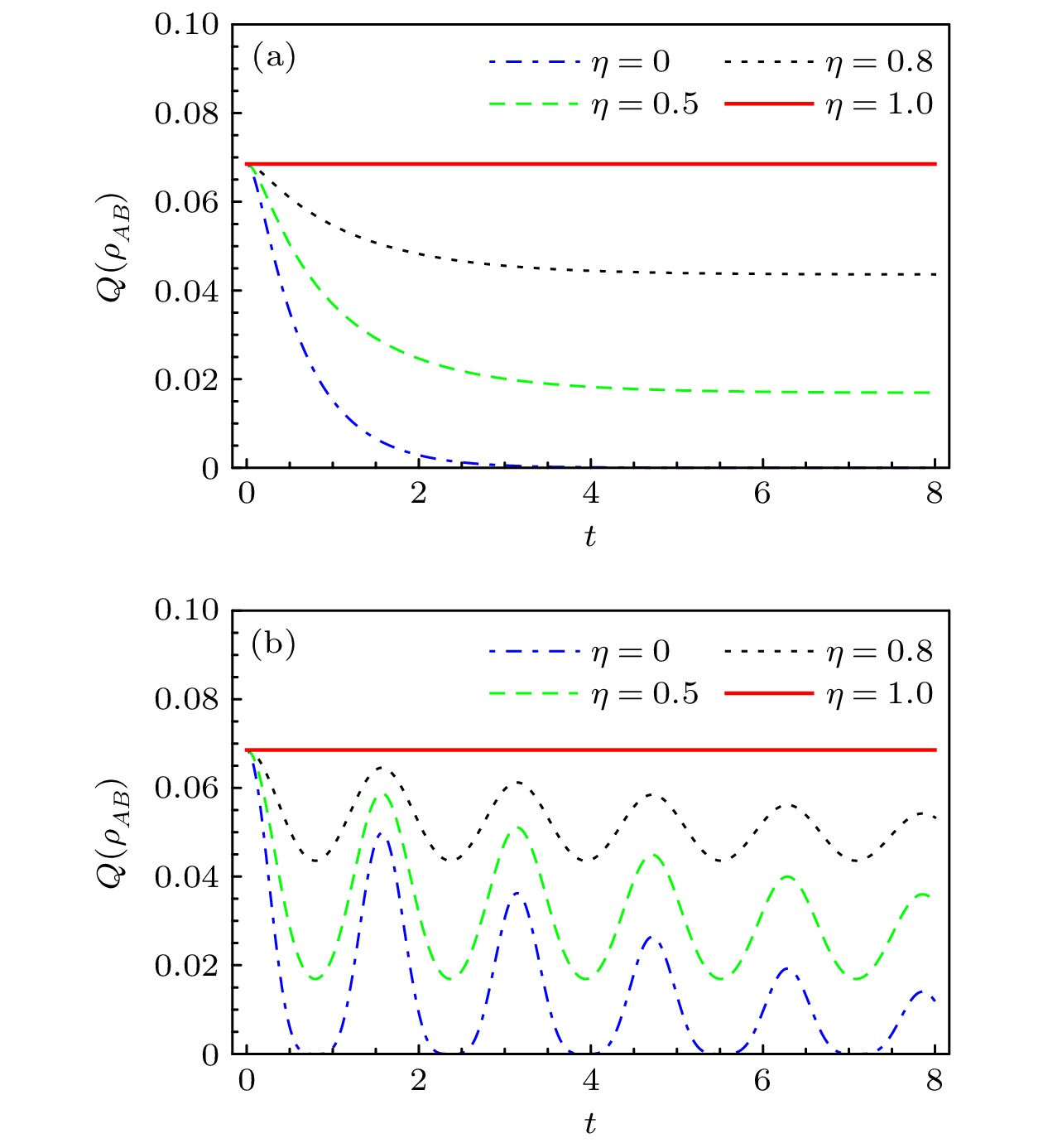
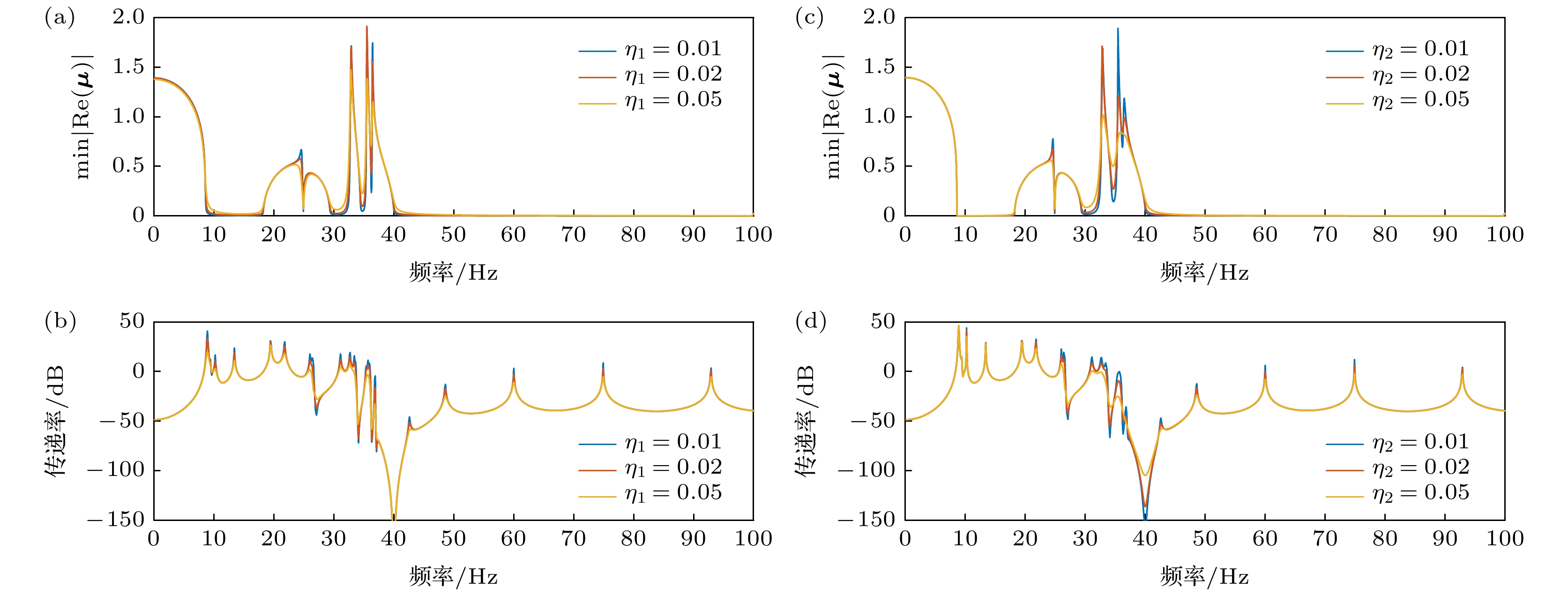
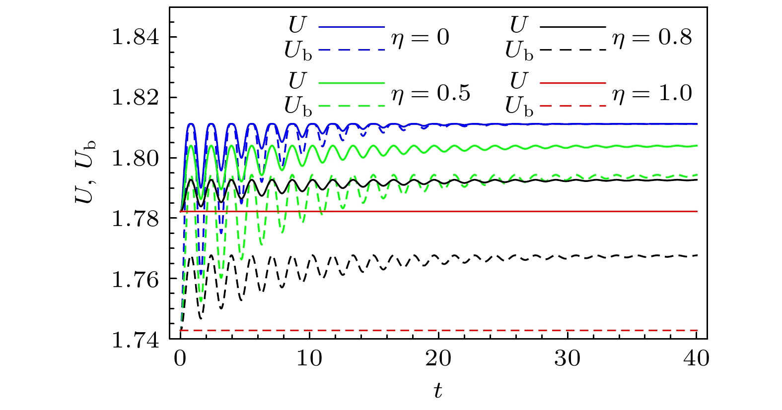
The uncertainty principle limits the ability for observer to precisely measure two incompatible observables, and plays a crucial role in quantum precision measurement in the quantum information science. When quantum systems interact with their surroundings, they inevitably result in decoherence, which increases the uncertainty of the system. In the process of quantum information processing, the effective regulation of uncertainty becomes a key problem that needs to be solved. In this work, we investigate the quantum-memory-assisted entropic uncertainty relation of a two-qubit system under correlated channels with dephasing colored noise. We demonstrate that it is possible to control the entropic uncertainty, U, and its lower bound, Ub, by combining correlations between successive uses of channels and the non-Markovianity of the dynamical evolution. Firstly, the evolutionary characteristics of the trace distance are employed to distinguish between Markovianity and non-Markovianity of the channel. Subsequently, the system is selected to be either a maximally entangled state or separated state initially. By adjusting the strength η of the correlations, we find that with the increase of η, the entropic uncertainty and its lower bound decrease. Especially, if the channel is fully correlated (η = 1), the entropic uncertainty and its lower bound remain constant under the channel, indicating that decoherence is completely suppressed. A comparison of Markovian channel with non-Markovian channel reveals that the entropic uncertainty and its lower bound exhibit oscillatory behaviour under non-Markovian channels. The combination of correlations and non-Markovianity of the channel demonstrates that the entropic uncertainty and its lower bound can be reduced under fully correlated channels where the non-Markovianity has no effect. This is because fully correlated channels suppress decoherence to a greatest extent. Under partially correlated channels, the combination of correlations and non-Markovianity can more effectively reduce the entropic uncertainty and its lower bound. Under such channels, correlations of the channel reduce the entropic uncertainty and its lower bound during the whole evolution, while the non-Markovianity contributes to their oscillations and reduce them in some specific time. Furthermore, the results show that the entropic uncertainty and its lower bound reach steady values that depend only on the strength of the correlations after long-time evolution. In other words, the stronger the correlations, the lower the entropy uncertainty and its lower bound of steady states will be. Finally, we analyse the physical nature of the decrease of the entropic uncertainty and its lower bound, and it is found that the decrease of the entropic uncertainty and its lower bound originate from the increase of the quantum correlations in the system.
The uncertainty principle limits the ability for observer to precisely measure two incompatible observables, and plays a crucial role in quantum precision measurement in the quantum information science. When quantum systems interact with their surroundings, they inevitably result in decoherence, which increases the uncertainty of the system. In the process of quantum information processing, the effective regulation of uncertainty becomes a key problem that needs to be solved. In this work, we investigate the quantum-memory-assisted entropic uncertainty relation of a two-qubit system under correlated channels with dephasing colored noise. We demonstrate that it is possible to control the entropic uncertainty, U, and its lower bound, Ub, by combining correlations between successive uses of channels and the non-Markovianity of the dynamical evolution. Firstly, the evolutionary characteristics of the trace distance are employed to distinguish between Markovianity and non-Markovianity of the channel. Subsequently, the system is selected to be either a maximally entangled state or separated state initially. By adjusting the strength η of the correlations, we find that with the increase of η, the entropic uncertainty and its lower bound decrease. Especially, if the channel is fully correlated (η = 1), the entropic uncertainty and its lower bound remain constant under the channel, indicating that decoherence is completely suppressed. A comparison of Markovian channel with non-Markovian channel reveals that the entropic uncertainty and its lower bound exhibit oscillatory behaviour under non-Markovian channels. The combination of correlations and non-Markovianity of the channel demonstrates that the entropic uncertainty and its lower bound can be reduced under fully correlated channels where the non-Markovianity has no effect. This is because fully correlated channels suppress decoherence to a greatest extent. Under partially correlated channels, the combination of correlations and non-Markovianity can more effectively reduce the entropic uncertainty and its lower bound. Under such channels, correlations of the channel reduce the entropic uncertainty and its lower bound during the whole evolution, while the non-Markovianity contributes to their oscillations and reduce them in some specific time. Furthermore, the results show that the entropic uncertainty and its lower bound reach steady values that depend only on the strength of the correlations after long-time evolution. In other words, the stronger the correlations, the lower the entropy uncertainty and its lower bound of steady states will be. Finally, we analyse the physical nature of the decrease of the entropic uncertainty and its lower bound, and it is found that the decrease of the entropic uncertainty and its lower bound originate from the increase of the quantum correlations in the system.
2024, 73(22): 220303.
doi: 10.7498/aps.73.20241070
Abstract:
Quantum memory is a crucial element in large-scale quantum networks. Integrated quantum memories based on micro-/-nano structures, such as waveguides, can significantly enhance the scalability and reduce the consumption of optical and electrical power. 151Eu3+:Y2SiO5 stands out as an exceptional candidate material for quantum memory, because it possesses a spin coherence lifetime of 6 h and an optical storage lifetime of 1 h. Here we employ focused ion beam technology to fabricate a triangular nanobeam on the surface of a Y2SiO5 crystal. The width and length of the nanobeam are 2 μm and 20 μm, respectively. The optical lifetime and inhomogeneous broadening of 151Eu3+ in the triangular nanobeam are measured by fluorescence spectroscopy. The optical lifetime is (1.9±0.1) ms and the optical inhomogeneous broadening is (1.58±0.05) GHz at a doping level of 0.07% for 151Eu3+. The hyperfine transition spectra are measured by using optically detected magnetic resonance and spin inhomogeneous broadening of (19±3) kHz is obtained. Furthermore, we analyze the coherence properties of optical and hyperfine transitions, respectively, via transient spectral hole burning and spin echo measurement. We obtain an optical homogeneous linewidth down to (22±3) kHz, which is still limited by the instantaneous spectral diffusion. The spin coherence lifetime under the geomagnetic field is (5.1±0.6) ms. The results demonstrate that 151Eu3+ ions embedded within the 2 μm triangular nanobeam essentially retain the same optical and hyperfine transition properties as those observed in bulk crystals. Consequently, this research lays a foundation for studying the integrated quantum memories based on 151Eu3+ ensembles and the detection of the single 151Eu3+ ion based on the focused ion beam technique.
Quantum memory is a crucial element in large-scale quantum networks. Integrated quantum memories based on micro-/-nano structures, such as waveguides, can significantly enhance the scalability and reduce the consumption of optical and electrical power. 151Eu3+:Y2SiO5 stands out as an exceptional candidate material for quantum memory, because it possesses a spin coherence lifetime of 6 h and an optical storage lifetime of 1 h. Here we employ focused ion beam technology to fabricate a triangular nanobeam on the surface of a Y2SiO5 crystal. The width and length of the nanobeam are 2 μm and 20 μm, respectively. The optical lifetime and inhomogeneous broadening of 151Eu3+ in the triangular nanobeam are measured by fluorescence spectroscopy. The optical lifetime is (1.9±0.1) ms and the optical inhomogeneous broadening is (1.58±0.05) GHz at a doping level of 0.07% for 151Eu3+. The hyperfine transition spectra are measured by using optically detected magnetic resonance and spin inhomogeneous broadening of (19±3) kHz is obtained. Furthermore, we analyze the coherence properties of optical and hyperfine transitions, respectively, via transient spectral hole burning and spin echo measurement. We obtain an optical homogeneous linewidth down to (22±3) kHz, which is still limited by the instantaneous spectral diffusion. The spin coherence lifetime under the geomagnetic field is (5.1±0.6) ms. The results demonstrate that 151Eu3+ ions embedded within the 2 μm triangular nanobeam essentially retain the same optical and hyperfine transition properties as those observed in bulk crystals. Consequently, this research lays a foundation for studying the integrated quantum memories based on 151Eu3+ ensembles and the detection of the single 151Eu3+ ion based on the focused ion beam technique.
2024, 73(22): 221101.
doi: 10.7498/aps.73.20241200
Abstract:
Parity-time (PT) in atomic systems is of great significance for exploring exotic phenomena in non-Hermitian physics and non-Hermitian systems. It has been found that if PT symmetry is satisfied only in a certain spatial direction, then the Hamiltonian of the system still has a spectrum with eigenvalues of real numbers, which is called partial PT symmetry. In this paper, we use a Λ-type three-level atomic system, which is composed of two ground states \begin{document}$\left| {6{{\mathrm{S}}_{1/2}}, F = 3} \right\rangle $\end{document} ,\begin{document}$\left| {6{{\mathrm{P}}_{3/2}}, F' = 4} \right\rangle $\end{document} and an excited state \begin{document}$\left| {6{{\mathrm{P}}_{3/2}}, F' = 4} \right\rangle $\end{document} of cesium atom, to investigate the partial PT symmetry. A probe laser with the detuning of Δ3 = 607 MHz and a coupling laser satisfy the condition of two-photon Raman absorption of cesium atom, forming a loss channel. In order to construct the gain channel, we add the repumping laser that resonates during the transition of \begin{document}$\left| {6{{\mathrm{S}}_{1/2}}, F = 3} \right\rangle $\end{document} to \begin{document}$\left| {6{{\mathrm{P}}_{3/2}}, F' = 4} \right\rangle $\end{document} , changing the population of the two ground state energy levels, thus reducing the absorption of the Λ level system and forming the gain channel of the atomic system under certain conditions. In order to obtain the equilibrium condition of the partial PT-symmetric system, firstly, the light spot of the repumping laser in the experiment is covered by the probe laser, and then the repumping laser is moved to overlap with half of the probe laser of the detection light. When the gain and loss are balanced, the partial PT-symmetric system is in equilibrium. By changing the beam-waist ratio σ of the coupling laser to the probe laser, the transition from symmetry to broken phase is observed in partial PT-symmetric systems. By measuring the asymmetry of the detection-beam intensity distribution Dasym, we can accurately determine the partial PT symmetry breaking point, and the breaking point is located at \begin{document}$\sigma = {\sigma _{{\mathrm{cr}}}} \approx 3.8$\end{document} . The theoretical calculations are in good agreement with the experimental measurements. The results of partial PT symmetry and its phase transition, reported in this study, open up a way to actively manipulate multidimensional laser beams in non-Hermitian systems and have potential applications in the design of optical devices for laser amplification and attenuation in different parts of the laser.
2024, 73(22): 222901.
doi: 10.7498/aps.73.20241245
Abstract:
Ultrafast scanning electron microscope (USEM) integrates pump-probe technique with microscopic imaging, enabling the visualizing of photon-induced surface charge dynamics with high spatial and temporal resolution. This capability is crucial for high-resolution detection of semiconductor surface states and optoelectronic devices. This work discusses the parametric design of a thermionic emission electron gun that has been modified into a photoemission electron gun, based on a home-built ultrafast scanning electron microscope. Given that the dose of the photoemitting electron beam is usually much lower than that of thermionic emission, the transition to photoemission requires the removal of the self-bias voltage function of the original electron microscope power supply to ensure the normal operation of the Wehnelt electrode. We quantitatively analyze the dependence of bias voltage, cathode, Wehnelt electrode, and anode on the position, size and divergence angle of crossover, which helps to improve the parameter adjustment of the modified electron gun. The analysis results indicate that if the distance between the Wehnelt electrode and the anode is adjusted from 8 to 23 mm, the distance between the filament and wehnelt can be changes from 0.65 to 0.45 mm to cooperate with the bias adjustment, so that the normal use of high-resolution thermionic emission mode, low voltage mode and photoemission mode can be realized. Subsequently, the effect of the mirror’s position on the electron optical path is analyzed. It is found that when the anode is raised 1.4 mm above the mirror, the influence on the electron optical path can be ignored. Additionally, the zero-of-time and temporal broadening of the photo-electron pulse are further simulated. The results indicate that with the increase of bias voltage, the time zero of photoemission will be delayed and the temporal broadening will become larger. This study lays a foundation for the future development of ultrafast electron microscope and the design of photoemission electron sources.
Ultrafast scanning electron microscope (USEM) integrates pump-probe technique with microscopic imaging, enabling the visualizing of photon-induced surface charge dynamics with high spatial and temporal resolution. This capability is crucial for high-resolution detection of semiconductor surface states and optoelectronic devices. This work discusses the parametric design of a thermionic emission electron gun that has been modified into a photoemission electron gun, based on a home-built ultrafast scanning electron microscope. Given that the dose of the photoemitting electron beam is usually much lower than that of thermionic emission, the transition to photoemission requires the removal of the self-bias voltage function of the original electron microscope power supply to ensure the normal operation of the Wehnelt electrode. We quantitatively analyze the dependence of bias voltage, cathode, Wehnelt electrode, and anode on the position, size and divergence angle of crossover, which helps to improve the parameter adjustment of the modified electron gun. The analysis results indicate that if the distance between the Wehnelt electrode and the anode is adjusted from 8 to 23 mm, the distance between the filament and wehnelt can be changes from 0.65 to 0.45 mm to cooperate with the bias adjustment, so that the normal use of high-resolution thermionic emission mode, low voltage mode and photoemission mode can be realized. Subsequently, the effect of the mirror’s position on the electron optical path is analyzed. It is found that when the anode is raised 1.4 mm above the mirror, the influence on the electron optical path can be ignored. Additionally, the zero-of-time and temporal broadening of the photo-electron pulse are further simulated. The results indicate that with the increase of bias voltage, the time zero of photoemission will be delayed and the temporal broadening will become larger. This study lays a foundation for the future development of ultrafast electron microscope and the design of photoemission electron sources.
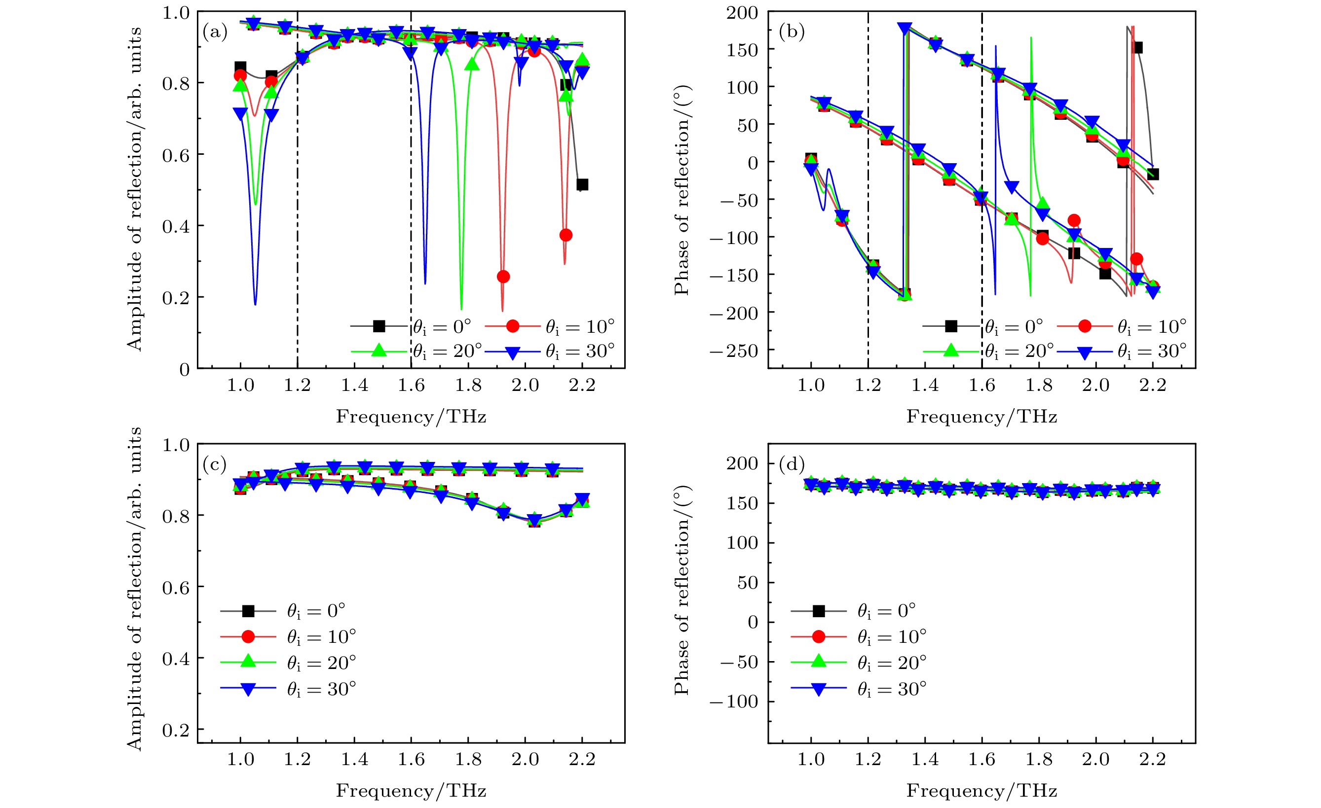
2024, 73(22): 224201.
doi: 10.7498/aps.73.20240764
Abstract:
Terahertz metasurface functional devices as an effective method to control terahertz waves have attracted extensive attention from researchers. In order to enhance the functionality and flexibility of the metasurface and adapt to diverse application scenarios and demands, a beam-steering controllable reflective metasurface is designed by combining the Pancharatnam-Berry phase principle and the phase change material vanadium dioxide in this work. The metasurface unit consists of five layers, they being the top layer that is a metal patterned layer, the third layer that is made of vanadium dioxide and located between the dielectric layers with different thickness, the dielectric layer that is made of polytetrafluoroethylene (PTFE), and the bottom layer that serves as a metal reflective layer. The metasurface units are rotated based on the Pancharatnam-Berry phase principle to obtain four metasurface units with fixed phase differences in between, after which the metasurface units are arranged in two dimensions based on the generalized Snell reflection law to obtain the desired phase-gradient deflected reflection beam. The insulating state-metallic state transition of the vanadium dioxide layer on the metasurface can change the phase gradient of the preset metasurface, thereby realizing the on/off function of deflection. The simulation results show that when the vanadium dioxide is in the insulating state, the phase gradient of the designed metasurface appears, and the metasurface can deflect the vertically incident circularly polarized wave with specific angle anomalies in a operating band of 1.1–2.0 THz; when the vanadium dioxide is in the metallic state, for the same operating band of the same metasurface, the phase gradient of the metasurface disappears, and the metasurface mirror reflects the vertically incident circularly polarized waves, thereby realizing the function switching. This design provides new possibilities for modulating the terahertz reflected beam, which will have potential applications in terahertz wireless communication and radar systems.
Terahertz metasurface functional devices as an effective method to control terahertz waves have attracted extensive attention from researchers. In order to enhance the functionality and flexibility of the metasurface and adapt to diverse application scenarios and demands, a beam-steering controllable reflective metasurface is designed by combining the Pancharatnam-Berry phase principle and the phase change material vanadium dioxide in this work. The metasurface unit consists of five layers, they being the top layer that is a metal patterned layer, the third layer that is made of vanadium dioxide and located between the dielectric layers with different thickness, the dielectric layer that is made of polytetrafluoroethylene (PTFE), and the bottom layer that serves as a metal reflective layer. The metasurface units are rotated based on the Pancharatnam-Berry phase principle to obtain four metasurface units with fixed phase differences in between, after which the metasurface units are arranged in two dimensions based on the generalized Snell reflection law to obtain the desired phase-gradient deflected reflection beam. The insulating state-metallic state transition of the vanadium dioxide layer on the metasurface can change the phase gradient of the preset metasurface, thereby realizing the on/off function of deflection. The simulation results show that when the vanadium dioxide is in the insulating state, the phase gradient of the designed metasurface appears, and the metasurface can deflect the vertically incident circularly polarized wave with specific angle anomalies in a operating band of 1.1–2.0 THz; when the vanadium dioxide is in the metallic state, for the same operating band of the same metasurface, the phase gradient of the metasurface disappears, and the metasurface mirror reflects the vertically incident circularly polarized waves, thereby realizing the function switching. This design provides new possibilities for modulating the terahertz reflected beam, which will have potential applications in terahertz wireless communication and radar systems.
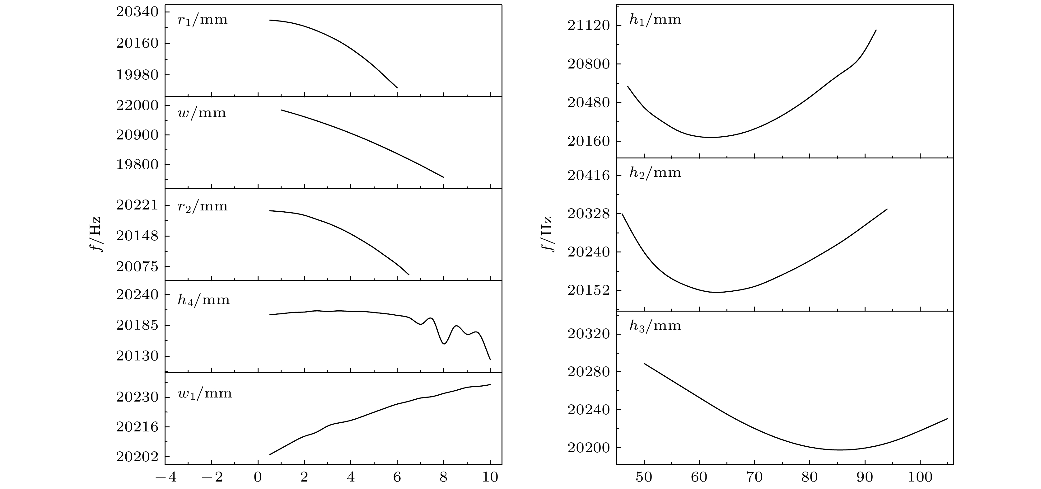
2024, 73(22): 224301.
doi: 10.7498/aps.73.20241199
Abstract:
How to regulate the sound waves in the coupled vibration system of complex power ultrasonic transducers and design high-performance transducer systems has always been an urgent problem in the field of power ultrasound. Research has found that introducing various defects within the transducer system can improve the performance of the transducer coupled vibration system to a certain extent. However, the drawbacks of high loss, narrow frequency band, and sensitivity to structural parameters limit the further practical application of defect type phononic crystal transducer coupled vibration systems. In order to improve the limitations of the coupled vibration system of defect-type phononic crystal transducers, effectively reduce energy loss, and enhance the efficiency of energy transmission, this paper introduces a topological defect structure with energy localization effect and a sound surface structure with high energy transmission efficiency into the coupled vibration system of the transducer. In this study, the acoustic surface structure and topological defect structure are used to excite defect states with energy localization effects and high energy transmission efficiency surface states, effectively regulating the vibration of the transducer coupled vibration system, and constructing a transducer coupled vibration system with high quality factor, low loss, and high energy transmission efficiency. By flexibly designing the geometric size parameters of the acoustic surface structure and defects, the vibration of the transducer coupled vibration system can be effectively controlled, thereby meeting the different functional requirements of the transducer coupled vibration system. However, due to the excessive design parameters of surface structure and topological defect structure, the complexity of the design will be multiplied, greatly reducing the success rate of the design. Therefore, this study uses data analysis technology to establish a performance prediction model for the transducer coupled vibration system, in order to achieve the accurate prediction of system performance and change the shortcomings of low design efficiency and low success rate brought by traditional empirical trial and error methods. In order to verify the effectiveness of the research, the coupled vibration system of the transducer is studied in simulation and experiment in this work. The simulation and experimental results indicate that the acoustic surface structure and topological defect structure can effectively regulate sound waves to improve the performance of the transducer coupled vibration system.
2024, 73(22): 224601.
doi: 10.7498/aps.73.20241353
Abstract:
Intergranular or intragranular anisotropic pores can be easily observed in the FCC structure of nuclear reactor core structural materials, such as austenitic stainless steel or nickel-based alloys. Austenitic stainless steel contains a certain amount of nickel (Ni), and Ni undergoes transmutation reaction under neutron irradiation to produce helium. Helium combines with vacancy and continuously absorbs more helium and vacancy, evolving into under pressure pores filled with a small amount of helium. The morphology of pores is influenced by both the surface anisotropy of the crystal and grain boundary characteristic because pore nucleation predominantly occurs at grain boundary. The swelling effect caused by pores and the embrittlement effect of high temperature helium are related to the morphology, size and distribution of pores. The phase field method can couple multiple physical fields and accurately describe the effects of material microscopic defects on pores. In this study, we use the phase field method to simulate the evolution and morphology of pores, establishing a free energy functional coupling between crystal plane anisotropy and pore-grain boundary interactions. Our results demonstrate that helium gas induces pore nucleation, with higher concentrations leading to shorter incubation period, faster nucleation rate, and greater growth rate. Grain boundaries act as heterogeneous nucleation sites for helium pores, leading to the formation of pores along these boundaries and high-density diffusion pores within the grains. The intragranular pores exhibit anisotropic characteristics regulated by interfacial energy’s anisotropic modulus, the strength of the anisotropy, and crystal orientation. The high-density intergranular pores interact with each other significantly and are influenced by grain boundaries, while the anisotropic morphology is negligible. Additionally, it has been observed that the pores located in the middle of grain boundaries tend to become an elliptical. The stress inside the pores that contain a small amount of helium gas is negative, which is lower than the value in the matrix. These findings presented herein align well with experimental results, which inspires the prediction of service life of core components and the design of core materials.
Intergranular or intragranular anisotropic pores can be easily observed in the FCC structure of nuclear reactor core structural materials, such as austenitic stainless steel or nickel-based alloys. Austenitic stainless steel contains a certain amount of nickel (Ni), and Ni undergoes transmutation reaction under neutron irradiation to produce helium. Helium combines with vacancy and continuously absorbs more helium and vacancy, evolving into under pressure pores filled with a small amount of helium. The morphology of pores is influenced by both the surface anisotropy of the crystal and grain boundary characteristic because pore nucleation predominantly occurs at grain boundary. The swelling effect caused by pores and the embrittlement effect of high temperature helium are related to the morphology, size and distribution of pores. The phase field method can couple multiple physical fields and accurately describe the effects of material microscopic defects on pores. In this study, we use the phase field method to simulate the evolution and morphology of pores, establishing a free energy functional coupling between crystal plane anisotropy and pore-grain boundary interactions. Our results demonstrate that helium gas induces pore nucleation, with higher concentrations leading to shorter incubation period, faster nucleation rate, and greater growth rate. Grain boundaries act as heterogeneous nucleation sites for helium pores, leading to the formation of pores along these boundaries and high-density diffusion pores within the grains. The intragranular pores exhibit anisotropic characteristics regulated by interfacial energy’s anisotropic modulus, the strength of the anisotropy, and crystal orientation. The high-density intergranular pores interact with each other significantly and are influenced by grain boundaries, while the anisotropic morphology is negligible. Additionally, it has been observed that the pores located in the middle of grain boundaries tend to become an elliptical. The stress inside the pores that contain a small amount of helium gas is negative, which is lower than the value in the matrix. These findings presented herein align well with experimental results, which inspires the prediction of service life of core components and the design of core materials.
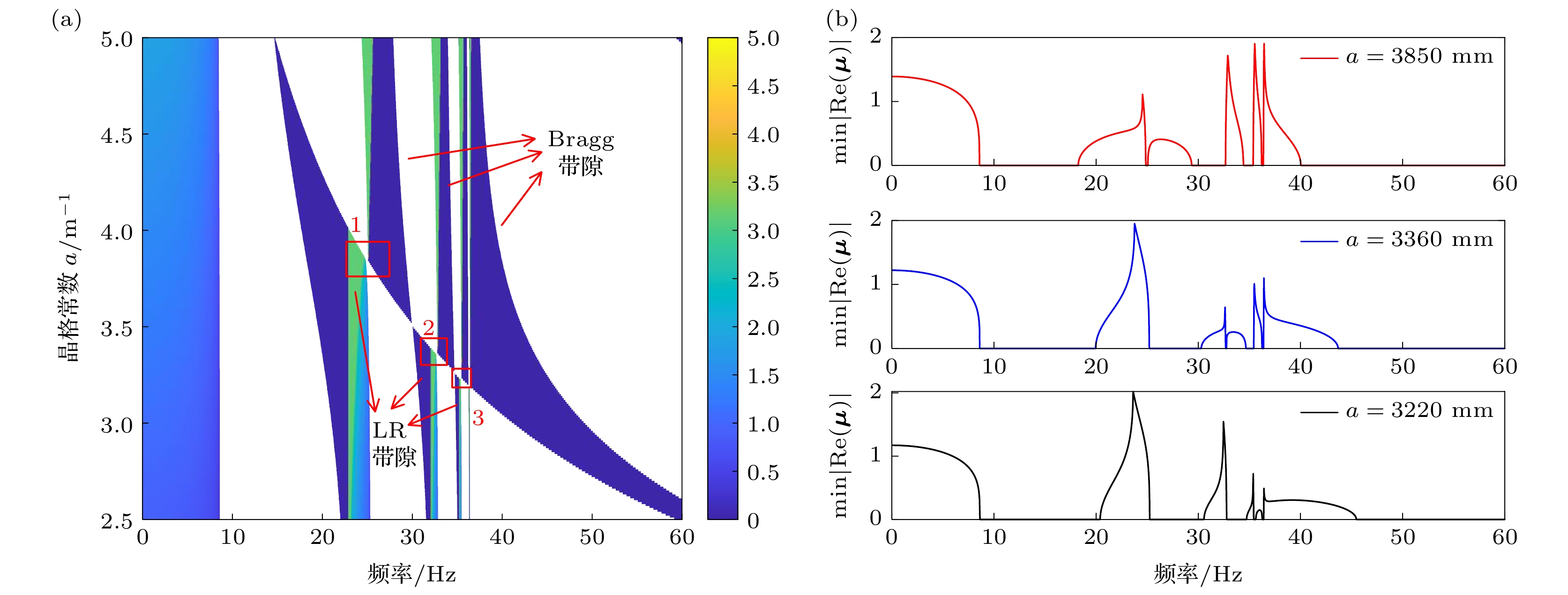
2024, 73(22): 224602.
doi: 10.7498/aps.73.20241135
Abstract:
Advanced vibration control technology is widely needed in the fields of aerospace and shipbuilding. Currently, separate vibration absorption and isolation design of most systems are separated, and existing isolation designs cannot effectively enhance the isolation of low-frequency line spectra. There is an urgent need to develop integrated vibration absorption and isolation designs and strengthen low-frequency line spectrum control. In response to this need, this paper focuses on a typical Euler beam and the investigation of the propagation characteristics of vibrations in transverse direction and longitudinal direction, the principles of integrated vibration absorption and isolation design, and the synergistic regulation of bandgaps, based on acoustic metamaterial bandgap wave-insulating vibration control configurations and analytical methods. Ultimately, without adding additional structures, the wave-insulating vibration control device is used to generate multiple modes of vibration absorption and isolation simultaneously, achieving an integrated low-frequency, broadband, and high-efficiency vibration absorption and isolation design. This method achieves broadband vibration isolation in the transverse vibration isolation path while also introducing local resonance bandgaps that significantly improve low-frequency vibration isolation. In the longitudinal (forward propagation) path, in addition to near-zero and Bragg bandgaps, multilayer isolators generate multimodal local resonant bandgaps, achieving low-frequency broadband vibration absorption and effective control in the entire frequency range. This paper elucidates the synergistic modulation of longitudinal and transverse bandgaps, showing that by superimposing these bandgaps, an impressive bandgap ratio of 87.3% below 100 Hz across the entire frequency range can be achieved. Furthermore, an entity structure is designed, and the accuracy of the analytical results is verified by using the finite element method. The findings provide feasible design ideas for realizing the integrated vibration absorption and isolation of complex structures such as beams, plates, pipelines, and frames.
Advanced vibration control technology is widely needed in the fields of aerospace and shipbuilding. Currently, separate vibration absorption and isolation design of most systems are separated, and existing isolation designs cannot effectively enhance the isolation of low-frequency line spectra. There is an urgent need to develop integrated vibration absorption and isolation designs and strengthen low-frequency line spectrum control. In response to this need, this paper focuses on a typical Euler beam and the investigation of the propagation characteristics of vibrations in transverse direction and longitudinal direction, the principles of integrated vibration absorption and isolation design, and the synergistic regulation of bandgaps, based on acoustic metamaterial bandgap wave-insulating vibration control configurations and analytical methods. Ultimately, without adding additional structures, the wave-insulating vibration control device is used to generate multiple modes of vibration absorption and isolation simultaneously, achieving an integrated low-frequency, broadband, and high-efficiency vibration absorption and isolation design. This method achieves broadband vibration isolation in the transverse vibration isolation path while also introducing local resonance bandgaps that significantly improve low-frequency vibration isolation. In the longitudinal (forward propagation) path, in addition to near-zero and Bragg bandgaps, multilayer isolators generate multimodal local resonant bandgaps, achieving low-frequency broadband vibration absorption and effective control in the entire frequency range. This paper elucidates the synergistic modulation of longitudinal and transverse bandgaps, showing that by superimposing these bandgaps, an impressive bandgap ratio of 87.3% below 100 Hz across the entire frequency range can be achieved. Furthermore, an entity structure is designed, and the accuracy of the analytical results is verified by using the finite element method. The findings provide feasible design ideas for realizing the integrated vibration absorption and isolation of complex structures such as beams, plates, pipelines, and frames.
2024, 73(22): 225201.
doi: 10.7498/aps.73.20241166
Abstract:
Atmospheric pressure plasma jet has received widespread attention due to its enormous potential applications in various fields, and its discharge conditions play a key role in changing their physical and chemical properties and ultimately determining its application effectiveness. Factors such as discharge voltage, gas flow rate, and the introduction of an external magnetic field intricately influence the performance of plasma jet. The combined effects of any two of these factors can yield enhanced outcomes, while also bringing complexity to the discharge phenomenon. However, there is currently a lack of research on the combined effects of external magnetic field, discharge voltage, and gas flow rate on the characteristics of plasma jets, making it difficult to comprehensively evaluate the discharge characteristics of plasma jet under multiple discharge conditions. Therefore, this paper focuses on an AC excited atmospheric pressure argon plasma jet and investigates the combined effects of external magnetic field, discharge voltage, and gas flow rate on various characteristic parameters of the plasma jet, including macroscopic morphology, discharge power, gas temperature Tg, electron excitation temperature Texc, electron density ne, emission intensity of excited state Ar* particles, and number density of ground state ·OH particles by using methods of camera shooting, and electrical parameter measurement, spectroscopic analysis of emission and absorption spectra. The obtained results are shown below. The effect of discharge voltage on the characteristic parameters of the plasma jet is not affected by gas flow rate or the existence of an external magnetic field. The increase of discharge voltage can improve jet performance by enhancing the discharge power, extending the plasma plume length, elevating the gas temperature Tg and electron excitation temperature Texc, increasing the electron density ne and emission intensity of excited state Ar* particles, as well as the number density of ground state ·OH particles. The addition of an external magnetic field can improve the jet performance without significantly changing the discharge power, and the extent of this improvement is influenced by the mode of magnetic field action. Notably, the enhancement of jet performance is most significant when the magnetic field selectively targets the plasma plume, excluding direct interaction with electrode discharge region. The effect of gas flow rate on jet performance becomes intricate: it is intertwined with the effect of voltage and the effect of external magnetic field. When an external magnetic field is present, excessive voltage and gas flow rate may reduce the number density of ground state ·OH particles generated by plasma jet. This underscores the need for a detailed understanding when optimizing jet performance under various discharge conditions. Simply combining the optimal conditions for each individual factor does not guarantee the achievement of peak jet performance when all three discharge conditions work synergistically. This study presents valuable insights into the discharge characteristics of plasma jet under different discharge conditions, providing guidance for optimizing the performance of plasma jet and promoting the advancement of atmospheric pressure plasma jet technology in different application fields.
Atmospheric pressure plasma jet has received widespread attention due to its enormous potential applications in various fields, and its discharge conditions play a key role in changing their physical and chemical properties and ultimately determining its application effectiveness. Factors such as discharge voltage, gas flow rate, and the introduction of an external magnetic field intricately influence the performance of plasma jet. The combined effects of any two of these factors can yield enhanced outcomes, while also bringing complexity to the discharge phenomenon. However, there is currently a lack of research on the combined effects of external magnetic field, discharge voltage, and gas flow rate on the characteristics of plasma jets, making it difficult to comprehensively evaluate the discharge characteristics of plasma jet under multiple discharge conditions. Therefore, this paper focuses on an AC excited atmospheric pressure argon plasma jet and investigates the combined effects of external magnetic field, discharge voltage, and gas flow rate on various characteristic parameters of the plasma jet, including macroscopic morphology, discharge power, gas temperature Tg, electron excitation temperature Texc, electron density ne, emission intensity of excited state Ar* particles, and number density of ground state ·OH particles by using methods of camera shooting, and electrical parameter measurement, spectroscopic analysis of emission and absorption spectra. The obtained results are shown below. The effect of discharge voltage on the characteristic parameters of the plasma jet is not affected by gas flow rate or the existence of an external magnetic field. The increase of discharge voltage can improve jet performance by enhancing the discharge power, extending the plasma plume length, elevating the gas temperature Tg and electron excitation temperature Texc, increasing the electron density ne and emission intensity of excited state Ar* particles, as well as the number density of ground state ·OH particles. The addition of an external magnetic field can improve the jet performance without significantly changing the discharge power, and the extent of this improvement is influenced by the mode of magnetic field action. Notably, the enhancement of jet performance is most significant when the magnetic field selectively targets the plasma plume, excluding direct interaction with electrode discharge region. The effect of gas flow rate on jet performance becomes intricate: it is intertwined with the effect of voltage and the effect of external magnetic field. When an external magnetic field is present, excessive voltage and gas flow rate may reduce the number density of ground state ·OH particles generated by plasma jet. This underscores the need for a detailed understanding when optimizing jet performance under various discharge conditions. Simply combining the optimal conditions for each individual factor does not guarantee the achievement of peak jet performance when all three discharge conditions work synergistically. This study presents valuable insights into the discharge characteristics of plasma jet under different discharge conditions, providing guidance for optimizing the performance of plasma jet and promoting the advancement of atmospheric pressure plasma jet technology in different application fields.
2024, 73(22): 225202.
doi: 10.7498/aps.73.20240823
Abstract:
Laser-plasma instability (LPI) is one of the key problems in the ignition process of inertial confinement fusion (ICF), and has been extensively studied in theory, simulation, and experiment for many years. Broadband laser, due to its low temporal coherence, can reduce the effective electric field strength when interacting with plasma and disrupt the phase-matching conditions of LPI, thus an effective approach to solving LPI issues is considered. Current extensive simulation studies indicate that broadband laser can suppress the generation of phenomena such as stimulated Brillouin scattering (SBS), stimulated Raman scattering (SRS), and two-plasmon decay (TPD) to some extent. There are also a few backward scattering experimental studies, but more experimental researches, such as side-scattering, are still needed. Therefore, based on the broadband second harmonic laser facility “Kunwu”, the experiments are designed for studying the lateral scattering of critical density plasma driven by broadband laser and traditional narrowband laser, and the production of hot electrons as well in this work. The experimental results show that the side SBS spectra and side SRS spectra and portions at different angles excited by broadband lasers with a power density of 1×1015 W/cm2 are significantly different from those by narrowband lasers. Further analysis reveals that the overall portion of transverse hot electrons in broadband laser cases is higher than that in narrowband laser case. However, for broadband laser, the portion of SRS at small forward angle and backward angle are significantly lower than that for narrowband laser. Preliminary qualitative analysis suggests that SRS may not be the main mechanism for hot electron generation in this case, and that PDI might play a dominant role in generating hot electrons.
Laser-plasma instability (LPI) is one of the key problems in the ignition process of inertial confinement fusion (ICF), and has been extensively studied in theory, simulation, and experiment for many years. Broadband laser, due to its low temporal coherence, can reduce the effective electric field strength when interacting with plasma and disrupt the phase-matching conditions of LPI, thus an effective approach to solving LPI issues is considered. Current extensive simulation studies indicate that broadband laser can suppress the generation of phenomena such as stimulated Brillouin scattering (SBS), stimulated Raman scattering (SRS), and two-plasmon decay (TPD) to some extent. There are also a few backward scattering experimental studies, but more experimental researches, such as side-scattering, are still needed. Therefore, based on the broadband second harmonic laser facility “Kunwu”, the experiments are designed for studying the lateral scattering of critical density plasma driven by broadband laser and traditional narrowband laser, and the production of hot electrons as well in this work. The experimental results show that the side SBS spectra and side SRS spectra and portions at different angles excited by broadband lasers with a power density of 1×1015 W/cm2 are significantly different from those by narrowband lasers. Further analysis reveals that the overall portion of transverse hot electrons in broadband laser cases is higher than that in narrowband laser case. However, for broadband laser, the portion of SRS at small forward angle and backward angle are significantly lower than that for narrowband laser. Preliminary qualitative analysis suggests that SRS may not be the main mechanism for hot electron generation in this case, and that PDI might play a dominant role in generating hot electrons.
2024, 73(22): 226101.
doi: 10.7498/aps.73.20241042
Abstract:
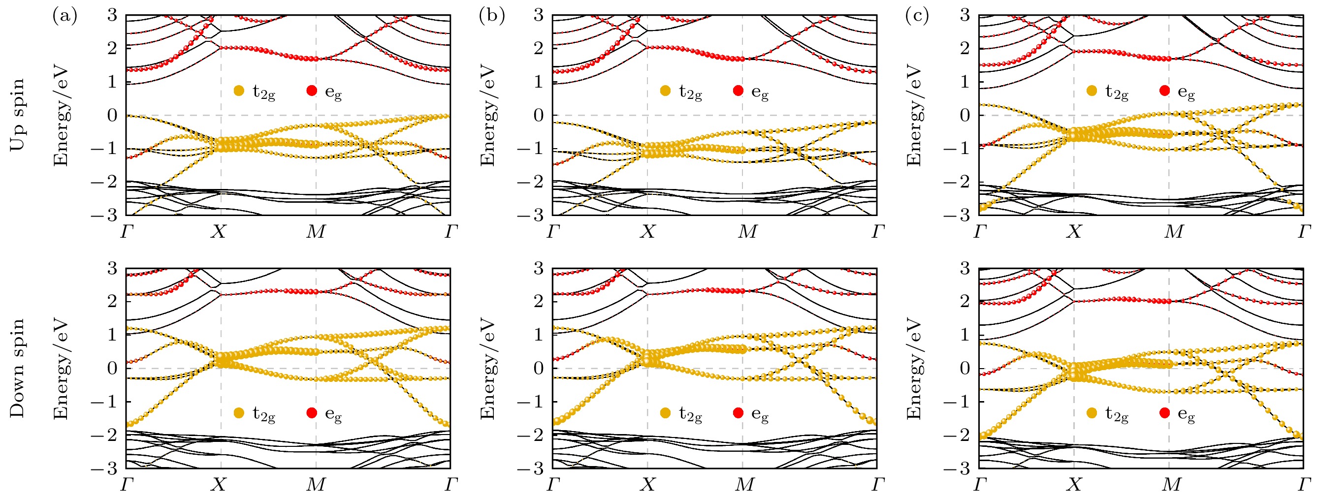
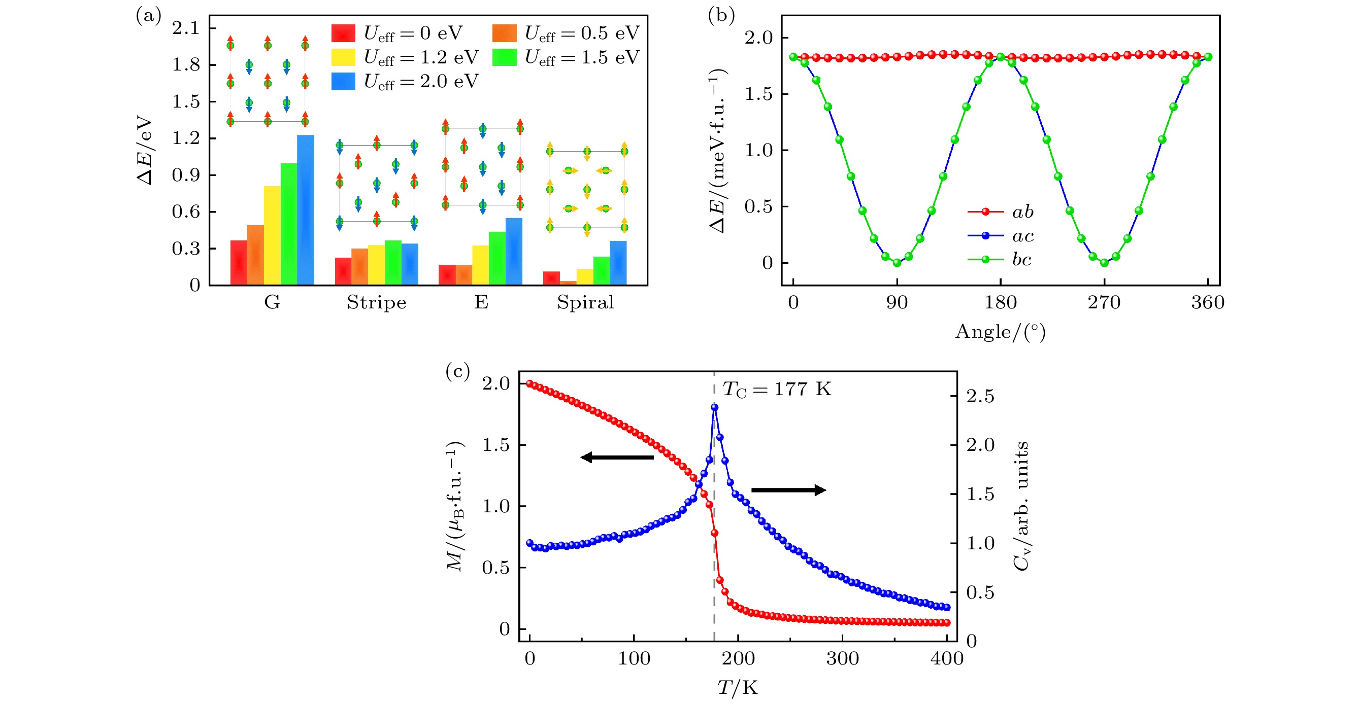
At present, the research on two-dimensional (2D) ferromagnets is mainly concentrated on van der Waals materials, while the successful preparation of strain-free freestanding 2D perovskite films provides a great opportunity for designing 2D ferromagnets beyond van der Waals materials. Perovskite oxide SrRuO3, a typical perovskite itinerant ferromagnet, has broad application prospects in many fields. In this work, the lattice dynamics, ground-state structure, electronic and magnetic properties of its perovskite monolayer with formula Sr2RuO4, as well as the effect of external electric field, are studied by combining first-principles calculation, symmetry analysis and Monte Carlo simulation. The influence of the Hubbard parameter U is also revealed. The results indicate that the ground-state structure under all U values presents the structural phase (space group P4/mbm) generated by octahedral rotation distortion. Similar to the SrRuO3 bulk, Sr2RuO4 has a monolayer ground-state phase that exhibits ferromagnetism, which is independent of the U value and thus robust. Density functional theory calculation using Hubbard parameter U predicts the ground-state phase of the monolayer to be a ferromagnetic half metal with an out-of-plane easy-magnetization axis, while excluding that the U parameter predicts the ground-state phase to be a ferromagnetic metallic state. The ferromagnetism mainly originates from the strong ferromagnetic exchange interaction between the nearest neighbor spin pairs. The simulated Curie temperature of the Sr2RuO4 monolayer is 177 K, which is close to the value (150 K) of its bulk phase. The out-of-plane electric field does not change the ground-state structure nor ferromagnetism of the Sr2RuO4 monolayer, but can significantly modulate its electronic property and magnetic property. When an external electric field exceeding 0.3 V/Å is applied, the system undergoes a transition from a ferromagnetic half-metal state to a ferromagnetic metallic state. This work indicates the potential application of Sr2RuO4 monolayer in low-dimensional spintrnic devices, and provides a reference for developing perovskite-based 2D ferromagnets and realizing the control of 2D magnetism by electric field.
At present, the research on two-dimensional (2D) ferromagnets is mainly concentrated on van der Waals materials, while the successful preparation of strain-free freestanding 2D perovskite films provides a great opportunity for designing 2D ferromagnets beyond van der Waals materials. Perovskite oxide SrRuO3, a typical perovskite itinerant ferromagnet, has broad application prospects in many fields. In this work, the lattice dynamics, ground-state structure, electronic and magnetic properties of its perovskite monolayer with formula Sr2RuO4, as well as the effect of external electric field, are studied by combining first-principles calculation, symmetry analysis and Monte Carlo simulation. The influence of the Hubbard parameter U is also revealed. The results indicate that the ground-state structure under all U values presents the structural phase (space group P4/mbm) generated by octahedral rotation distortion. Similar to the SrRuO3 bulk, Sr2RuO4 has a monolayer ground-state phase that exhibits ferromagnetism, which is independent of the U value and thus robust. Density functional theory calculation using Hubbard parameter U predicts the ground-state phase of the monolayer to be a ferromagnetic half metal with an out-of-plane easy-magnetization axis, while excluding that the U parameter predicts the ground-state phase to be a ferromagnetic metallic state. The ferromagnetism mainly originates from the strong ferromagnetic exchange interaction between the nearest neighbor spin pairs. The simulated Curie temperature of the Sr2RuO4 monolayer is 177 K, which is close to the value (150 K) of its bulk phase. The out-of-plane electric field does not change the ground-state structure nor ferromagnetism of the Sr2RuO4 monolayer, but can significantly modulate its electronic property and magnetic property. When an external electric field exceeding 0.3 V/Å is applied, the system undergoes a transition from a ferromagnetic half-metal state to a ferromagnetic metallic state. This work indicates the potential application of Sr2RuO4 monolayer in low-dimensional spintrnic devices, and provides a reference for developing perovskite-based 2D ferromagnets and realizing the control of 2D magnetism by electric field.
2024, 73(22): 226102.
doi: 10.7498/aps.73.20241074
Abstract:
Among the currently developed multi-principal element alloys (MPEAs), Ti-V-Ta MPEA stands out because of its good high-temperature strength, good room-temperature plasticity, stable organizational structure, and low neutron activation, and becomes a first option for cladding material of special power reactors. The radiation resistance of Ti-V-Ta MPEA is the focus of current research. Dislocation loops are the main irradiation defects in Ti-V-Ta MPEA, which can significantly affect the mechanical properties. Therefore, clarifying the formation mechanism of dislocation loops in Ti-V-Ta HEA can help to understand its radiation resistance. The formation behavior of dislocation loops in Ti-V-Ta MPEA is studied based on molecular dynamics method in this work. Cascade overlap simulations with vacancy clusters and interstitial clusters are carried out. The cascade overlap formation mechanism of dislocation loops is analyzed and discussed. In Ti-V-Ta MPEA, the cascade overlap with defect clusters can directly produce different types of dislocation structures. The defect configuration after cascade overlap is determined by the primary knock-on atom (PKA) energy and the type and size of the preset defect clusters. Cascade overlap can improve the formation probability of\begin{document}$ \left\langle {100} \right\rangle $\end{document} dislocation loops in Ti-V-Ta MPEA. Cascade overlap with vacancy clusters is an important mechanism for the formation of \begin{document}$ \left\langle {100} \right\rangle $\end{document} vacancy dislocation loops, and the size of vacancy clusters is the dominant factor for the formation of \begin{document}$ \left\langle {100} \right\rangle $\end{document} vacancy dislocation loops. When the PKA energy is enough to dissolve the defect clusters, \begin{document}$ \left\langle {100} \right\rangle $\end{document} vacancy dislocation loops are more likely to form. Furthermore, cascade overlap with interstitial clusters in Ti-V-Ta MPEA is a possible mechanism for the formation of \begin{document}$ \left\langle {100} \right\rangle $\end{document} interstitial dislocation loops. This study can contribute to understanding the evolution behavior of irradiation defects in Ti-V-Ta MPEA, and provide theoretical support for designing the composition and optimizing the high-entropy alloys.
Among the currently developed multi-principal element alloys (MPEAs), Ti-V-Ta MPEA stands out because of its good high-temperature strength, good room-temperature plasticity, stable organizational structure, and low neutron activation, and becomes a first option for cladding material of special power reactors. The radiation resistance of Ti-V-Ta MPEA is the focus of current research. Dislocation loops are the main irradiation defects in Ti-V-Ta MPEA, which can significantly affect the mechanical properties. Therefore, clarifying the formation mechanism of dislocation loops in Ti-V-Ta HEA can help to understand its radiation resistance. The formation behavior of dislocation loops in Ti-V-Ta MPEA is studied based on molecular dynamics method in this work. Cascade overlap simulations with vacancy clusters and interstitial clusters are carried out. The cascade overlap formation mechanism of dislocation loops is analyzed and discussed. In Ti-V-Ta MPEA, the cascade overlap with defect clusters can directly produce different types of dislocation structures. The defect configuration after cascade overlap is determined by the primary knock-on atom (PKA) energy and the type and size of the preset defect clusters. Cascade overlap can improve the formation probability of
2024, 73(22): 226401.
doi: 10.7498/aps.73.20240937
Abstract:
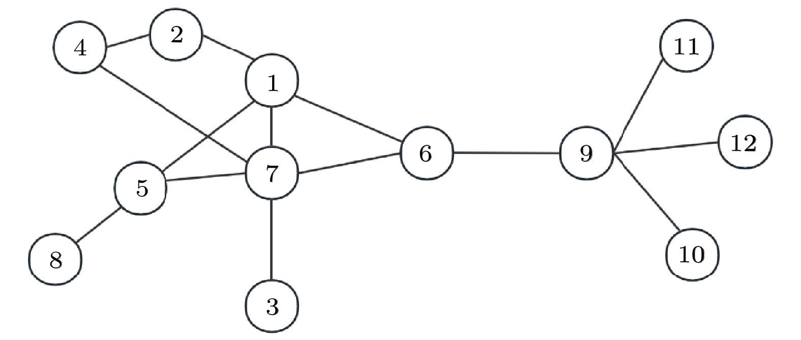
This paper deals with the problem of identifying, evaluating, and ranking key nodes in complex networks by introducing a novel multi-parameter control graph convolutional network (MPC-GCN) for assessing node importance. Drawing inspiration from the multidimensional and hierarchical interactions between nodes in physical systems, this method integrates the automatic feature learning capabilities of graph convolutional networks (GCNs) with a comprehensive analysis of intrinsic properties of nodes, their interactions with neighbors, and their roles in the broader network. The MPC-GCN model provides an innovative framework for identifying key node by using GCNs to iteratively aggregate node and neighbor features across layers. This process captures and combines local, global, and positional characteristics, enabling a more nuanced, multidimensional assessment of node importance. Moreover, the model also includes a flexible parameter adjustment mechanism that allows for adjusting the relative weights of different dimensions, thereby adapting the evaluation process to various network structures. To validate the effectiveness of the model, we first test the influence of model parameters on randomly generated small networks. We then conduct extensive simulations on eight large-scale networks by using the susceptible-infected-recovered (SIR) model. Evaluation metrics, including the M(R) score, Kendall’s tau correlation, the proportion of infected nodes, and the relative size of the largest connected component, are used to assess the model’s performance. The results demonstrate that MPC-GCN outperforms existing methods in terms of monotonicity, accuracy, applicability, and robustness, providing more precise differentiation of node importance. By addressing the limitations of current methods, such as their reliance on single-dimensional perspectives and lack of adaptability, the MPC-GCN provides a more comprehensive and flexible approach to node importance assessment. This method significantly improves the breadth and applicability of node ranking in complex networks.
This paper deals with the problem of identifying, evaluating, and ranking key nodes in complex networks by introducing a novel multi-parameter control graph convolutional network (MPC-GCN) for assessing node importance. Drawing inspiration from the multidimensional and hierarchical interactions between nodes in physical systems, this method integrates the automatic feature learning capabilities of graph convolutional networks (GCNs) with a comprehensive analysis of intrinsic properties of nodes, their interactions with neighbors, and their roles in the broader network. The MPC-GCN model provides an innovative framework for identifying key node by using GCNs to iteratively aggregate node and neighbor features across layers. This process captures and combines local, global, and positional characteristics, enabling a more nuanced, multidimensional assessment of node importance. Moreover, the model also includes a flexible parameter adjustment mechanism that allows for adjusting the relative weights of different dimensions, thereby adapting the evaluation process to various network structures. To validate the effectiveness of the model, we first test the influence of model parameters on randomly generated small networks. We then conduct extensive simulations on eight large-scale networks by using the susceptible-infected-recovered (SIR) model. Evaluation metrics, including the M(R) score, Kendall’s tau correlation, the proportion of infected nodes, and the relative size of the largest connected component, are used to assess the model’s performance. The results demonstrate that MPC-GCN outperforms existing methods in terms of monotonicity, accuracy, applicability, and robustness, providing more precise differentiation of node importance. By addressing the limitations of current methods, such as their reliance on single-dimensional perspectives and lack of adaptability, the MPC-GCN provides a more comprehensive and flexible approach to node importance assessment. This method significantly improves the breadth and applicability of node ranking in complex networks.
2024, 73(22): 227101.
doi: 10.7498/aps.73.20241138
Abstract:
The discovery of novel properties in twisted bilayer graphene has opened up new avenues of research in physics and materials science, making the twistronics a new research hotspot. In this paper, based on two-dimensional tin-based materials and antimonene monolayers, six types of Sb/SnC two-dimensional van der Waals heterostructures (vdWH) with different interlayer twist angles are constructed, and their optoelectronic properties and applications are studied by first-principles calculations. All modeling and calculations are performed using the density functional theory (DFT) software Quantum-ATK. The results show that the Sb/SnC vdWHs with six different interlayer twist angles have various band gaps, and when the interlayer twist angles are 10.89°, 19.11°, 23.41°, and 30°, the Sb/SnC vdWH exhibit a type-I band edge alignment, while at 8.95° and 13.59°, they present a type-II band structure. The results of the orbital-projected band structures of the Sb/SnC vdWHs reveal that the variation in interlayer twist angles changes the atomic stacking in the heterostructures, thereby modifying orbital coupling and further tuning the electronic structure of the heterostructures. Additionally, the calculated absorption spectra indicate that comparing individual Sb and SnC monolayers with Sb/SnC vdWHs, the latter’s absorption coefficient r is significantly enhanced in the visible light region, and the optical absorption characteristics of the heterostructures with different interlayer twist angles vary markedly. In terms of applications, as materials for solar cells, the Sb/SnC vdWHs with interlayer twist angles of 8.95° and 13.59° exhibit photovoltaic conversion efficiencies of 17.48% and 18.59%, respectively; as photocatalysts for the complete water splitting, the Sb/SnC vdWH with an interlayer twist angle of 8.95° can catalytically decompose water across a pH range of 0–2, while a twist angle of 13.59° confines its catalytic activity to a pH value between 0 and 1. Therefore, Sb/SnC van der Waals heterostructures have special rotation angles and have multifunctional application prospects in the fields of solar energy and photocatalysis. More importantly, our research demonstrates that in addition to traditional methods such as strain, doping, and defects, adjusting the interlayer twist angle provides a new degree of freedom for manipulating the optoelectronic properties of materials.
The discovery of novel properties in twisted bilayer graphene has opened up new avenues of research in physics and materials science, making the twistronics a new research hotspot. In this paper, based on two-dimensional tin-based materials and antimonene monolayers, six types of Sb/SnC two-dimensional van der Waals heterostructures (vdWH) with different interlayer twist angles are constructed, and their optoelectronic properties and applications are studied by first-principles calculations. All modeling and calculations are performed using the density functional theory (DFT) software Quantum-ATK. The results show that the Sb/SnC vdWHs with six different interlayer twist angles have various band gaps, and when the interlayer twist angles are 10.89°, 19.11°, 23.41°, and 30°, the Sb/SnC vdWH exhibit a type-I band edge alignment, while at 8.95° and 13.59°, they present a type-II band structure. The results of the orbital-projected band structures of the Sb/SnC vdWHs reveal that the variation in interlayer twist angles changes the atomic stacking in the heterostructures, thereby modifying orbital coupling and further tuning the electronic structure of the heterostructures. Additionally, the calculated absorption spectra indicate that comparing individual Sb and SnC monolayers with Sb/SnC vdWHs, the latter’s absorption coefficient r is significantly enhanced in the visible light region, and the optical absorption characteristics of the heterostructures with different interlayer twist angles vary markedly. In terms of applications, as materials for solar cells, the Sb/SnC vdWHs with interlayer twist angles of 8.95° and 13.59° exhibit photovoltaic conversion efficiencies of 17.48% and 18.59%, respectively; as photocatalysts for the complete water splitting, the Sb/SnC vdWH with an interlayer twist angle of 8.95° can catalytically decompose water across a pH range of 0–2, while a twist angle of 13.59° confines its catalytic activity to a pH value between 0 and 1. Therefore, Sb/SnC van der Waals heterostructures have special rotation angles and have multifunctional application prospects in the fields of solar energy and photocatalysis. More importantly, our research demonstrates that in addition to traditional methods such as strain, doping, and defects, adjusting the interlayer twist angle provides a new degree of freedom for manipulating the optoelectronic properties of materials.
2024, 73(22): 227102.
doi: 10.7498/aps.73.20241106
Abstract:
Compared with graphene, two-dimensional (2D) transition metal sulfides, represented by mono-/few-layer MoS2, have tunable non-zero bandgap, and thus their applications in optoelectronic devices are more advantageous. By using classical electromagnetic theory and finite element method (FEM), we investigate the cavity coupled plasmon polaritons (CCPPs) formed through the coupling between cavity modes in a resonator and plasmons in monolayer MoS2, particularly calculate and verify the properties of the high-order CCPPs. In previous work, it was demonstrated that the substrates, defects, and polycrystalline grains of the CVD grown monolayer MoS2 usually induce weak electron localization, which leads to the deviation from the Drude model based on the approximation of free electron gas. Therefore, here we use the Drude-Smith model with characteristic parameters obtained experimentally to describe the optical conductivity of monolayer MoS2 in our theoretical calculation and simulation. Then, we not only derive and solve the dispersion equations of the high-order CCPPs, but also verify the existence and analyze the properties of these high-order modes. Specifically, there are three types of CCPPs in the asymmetric cavity-monolayer MoS2 system, i.e. the FP-like-modes (FPLMs), the surface-plasmon-like modes (SPLMs), and the quasi-localized modes (QLMs). Among them, the FPLMs and QLMs can support high-order modes whereas the SPLMs only support the fundamental modes. According to our model, we calculate the wave localization properties for the 7th-order and 8th-order FPLM, the 3rd-order and 6th-order QLM, and the SPLM. These theoretical results are in good agreement with the simulation results. Moreover, the effects of weak electron localization are also shown by comparing the field distributions of the CCPPs based on the Drude model with those based on the Drude-Smith model. It is found that weak electron localization can reduce the coupling between the cavity modes and the plasmons in monolayer MoS2. These results can deepen our understanding of the excitation of plasmons in 2D materials as well as the modulation of their properties. Furthermore, the theoretical model can also be extended to other plasmonic systems related to low-dimensional and topological quantum materials.
Compared with graphene, two-dimensional (2D) transition metal sulfides, represented by mono-/few-layer MoS2, have tunable non-zero bandgap, and thus their applications in optoelectronic devices are more advantageous. By using classical electromagnetic theory and finite element method (FEM), we investigate the cavity coupled plasmon polaritons (CCPPs) formed through the coupling between cavity modes in a resonator and plasmons in monolayer MoS2, particularly calculate and verify the properties of the high-order CCPPs. In previous work, it was demonstrated that the substrates, defects, and polycrystalline grains of the CVD grown monolayer MoS2 usually induce weak electron localization, which leads to the deviation from the Drude model based on the approximation of free electron gas. Therefore, here we use the Drude-Smith model with characteristic parameters obtained experimentally to describe the optical conductivity of monolayer MoS2 in our theoretical calculation and simulation. Then, we not only derive and solve the dispersion equations of the high-order CCPPs, but also verify the existence and analyze the properties of these high-order modes. Specifically, there are three types of CCPPs in the asymmetric cavity-monolayer MoS2 system, i.e. the FP-like-modes (FPLMs), the surface-plasmon-like modes (SPLMs), and the quasi-localized modes (QLMs). Among them, the FPLMs and QLMs can support high-order modes whereas the SPLMs only support the fundamental modes. According to our model, we calculate the wave localization properties for the 7th-order and 8th-order FPLM, the 3rd-order and 6th-order QLM, and the SPLM. These theoretical results are in good agreement with the simulation results. Moreover, the effects of weak electron localization are also shown by comparing the field distributions of the CCPPs based on the Drude model with those based on the Drude-Smith model. It is found that weak electron localization can reduce the coupling between the cavity modes and the plasmons in monolayer MoS2. These results can deepen our understanding of the excitation of plasmons in 2D materials as well as the modulation of their properties. Furthermore, the theoretical model can also be extended to other plasmonic systems related to low-dimensional and topological quantum materials.
2024, 73(22): 227301.
doi: 10.7498/aps.73.20240701
Abstract:
Thermoelectric (TE) films with excellent electrical transport property are key materials for developing efficient in-plane heat dissipation technology, but their low electrical transport property is a challenge that restricts their application. Recently, a new thermo-electro-magnetic coupling effect has been proposed to significantly improve the comprehensive TE performance. In order to explore the influence of the above effects on the electric transport property of TE films, we develop an integrated preparation method through ball milling dispersion, screen-printing and hot-pressing curing, obtaining a series of xFe/Bi0.5Sb1.5Te3 (BST)/epoxy TE films in which Fe nanoparticles serve as the second phase, resulting in the thermo-electro-magnetic coupling effect , and also we study their influence on the electrothermal transport performance. The results are shown below. The positive and negative magnetoresistance are co-existent in xFe/BST/epoxy thermoelectromagnetic films; the preferred orientation factor of BST (000l) is positively proportional to the positive magnetoresistance (MR+), resulting in an increase of the conductivity; the spin-dependent scattering of negative magnetoresistance (MR–) derived from the local magnetic moment of strong ferromagnetic Fe nanoparticles increases the Seebeck coefficient. Hence, the power factor of Fe/BST/epoxy thermoelectromagnetic film near room temperature reaches 2.87 mW⋅K–2⋅m–1, which is 78% higher than that of BST/epoxy thermoelectric film. These results indicate that the coexistence of positive and negative magnetoresistance in thermoelectromagnetic films can not only relieve the coupling relationship between conductivity and Seebeck coefficient in TE materials, but also provide a new physical mechanism for the excellent TE conversion performance induced by magnetic nanoparticles.
Thermoelectric (TE) films with excellent electrical transport property are key materials for developing efficient in-plane heat dissipation technology, but their low electrical transport property is a challenge that restricts their application. Recently, a new thermo-electro-magnetic coupling effect has been proposed to significantly improve the comprehensive TE performance. In order to explore the influence of the above effects on the electric transport property of TE films, we develop an integrated preparation method through ball milling dispersion, screen-printing and hot-pressing curing, obtaining a series of xFe/Bi0.5Sb1.5Te3 (BST)/epoxy TE films in which Fe nanoparticles serve as the second phase, resulting in the thermo-electro-magnetic coupling effect , and also we study their influence on the electrothermal transport performance. The results are shown below. The positive and negative magnetoresistance are co-existent in xFe/BST/epoxy thermoelectromagnetic films; the preferred orientation factor of BST (000l) is positively proportional to the positive magnetoresistance (MR+), resulting in an increase of the conductivity; the spin-dependent scattering of negative magnetoresistance (MR–) derived from the local magnetic moment of strong ferromagnetic Fe nanoparticles increases the Seebeck coefficient. Hence, the power factor of Fe/BST/epoxy thermoelectromagnetic film near room temperature reaches 2.87 mW⋅K–2⋅m–1, which is 78% higher than that of BST/epoxy thermoelectric film. These results indicate that the coexistence of positive and negative magnetoresistance in thermoelectromagnetic films can not only relieve the coupling relationship between conductivity and Seebeck coefficient in TE materials, but also provide a new physical mechanism for the excellent TE conversion performance induced by magnetic nanoparticles.
2024, 73(22): 227701.
doi: 10.7498/aps.73.20241261
Abstract:
The primary dielectric relaxation process of monoalcohols typically exhibits characteristic Debye behavior, and the factors influencing its rate have become a research focus in recent years. It is generally believed that the hydrophilic end (i.e. the hydroxyl group) of alcohol molecule plays a major role in the primary dielectric relaxation process through a hydrogen bonding network, while the hydrophobic end mainly exerts an indirect effect by influencing the formation of intermolecular hydrogen bonds. In this work, the factors influencing the primary dielectric relaxation process of methanol are systematically investigated by using molecular dynamics simulations. Studying methanol, a simplest alcohol molecule, can provide insights into the common characteristics of monohydroxy alcohols and even alcohols in general. The well-known “wait-and-switch” model currently emphasizes the influence of hydrogen bond partner concentration on the primary dielectric relaxation rate of the system. In this work, we systematically investigate the factors influencing the primary dielectric relaxation rate of methanol by adjusting the O—H bond length (dOH), the C—O bond length (dCO), and the methyl diameter (σmethyl) of methanol molecules, respectively, and significantly extend the “wait-and-switch” model. 1) By adjusting dOH, we find that stronger total hydrogen bond energy (UHB) in the system can enhance the correlation of molecular motion, slow down the reorientation rate of molecules and, consequently, the primary dielectric relaxation process of the system. 2) By adjusting dCO, we discover that a longer hydrophobic end not only slows down the primary dielectric relaxation process by stabilizing the intermolecular hydrogen bond network but also directly reduces the rate of this process. 3) By adjusting σmethyl, we find that an excessively small σmethyl is detrimental to the stability of the hydrogen bond network, while an excessively large σmethyl hinders thehydrogen bonds from forming. Both of these situations will have a negative influence on the correlation of molecular motion. When σmethyl is at a moderate level, the main dielectric relaxation process of the system is the slowest. Ultimately, it is found that factors such as UHB and related motion volume (VCM), as well as the concentration of hydrogen bond partners in the system, collectively constitute the key factors affecting the primary dielectric relaxation rate of the system. Our results can reasonably explain experimental phenomena that the original “wait-and-switch” model cannot explain. This study contributes to a more in-depth understanding of the relaxation processes of alcohol molecules and their physical origins.
The primary dielectric relaxation process of monoalcohols typically exhibits characteristic Debye behavior, and the factors influencing its rate have become a research focus in recent years. It is generally believed that the hydrophilic end (i.e. the hydroxyl group) of alcohol molecule plays a major role in the primary dielectric relaxation process through a hydrogen bonding network, while the hydrophobic end mainly exerts an indirect effect by influencing the formation of intermolecular hydrogen bonds. In this work, the factors influencing the primary dielectric relaxation process of methanol are systematically investigated by using molecular dynamics simulations. Studying methanol, a simplest alcohol molecule, can provide insights into the common characteristics of monohydroxy alcohols and even alcohols in general. The well-known “wait-and-switch” model currently emphasizes the influence of hydrogen bond partner concentration on the primary dielectric relaxation rate of the system. In this work, we systematically investigate the factors influencing the primary dielectric relaxation rate of methanol by adjusting the O—H bond length (dOH), the C—O bond length (dCO), and the methyl diameter (σmethyl) of methanol molecules, respectively, and significantly extend the “wait-and-switch” model. 1) By adjusting dOH, we find that stronger total hydrogen bond energy (UHB) in the system can enhance the correlation of molecular motion, slow down the reorientation rate of molecules and, consequently, the primary dielectric relaxation process of the system. 2) By adjusting dCO, we discover that a longer hydrophobic end not only slows down the primary dielectric relaxation process by stabilizing the intermolecular hydrogen bond network but also directly reduces the rate of this process. 3) By adjusting σmethyl, we find that an excessively small σmethyl is detrimental to the stability of the hydrogen bond network, while an excessively large σmethyl hinders thehydrogen bonds from forming. Both of these situations will have a negative influence on the correlation of molecular motion. When σmethyl is at a moderate level, the main dielectric relaxation process of the system is the slowest. Ultimately, it is found that factors such as UHB and related motion volume (VCM), as well as the concentration of hydrogen bond partners in the system, collectively constitute the key factors affecting the primary dielectric relaxation rate of the system. Our results can reasonably explain experimental phenomena that the original “wait-and-switch” model cannot explain. This study contributes to a more in-depth understanding of the relaxation processes of alcohol molecules and their physical origins.
2024, 73(22): 227702.
doi: 10.7498/aps.73.20241113
Abstract:
Low-density polyethylene (LDPE) is the basic material of the high-voltage direct current (DC) power cable insulation. The assisted electric field is a common way to regulate the microstructure of polymers, but its application in the field of electrical insulating polymers is rarely reported. In order to study the influence of the assisted electric field on the microstructure evolution and DC electrical properties of LDPE, the LDPEs without and with being treated with assisted electric field are prepared in the melting stage, cooling stage, and the whole stage (i.e. the melting stage and cooling stage), respectively. The influence of the assisted electric field applied in the different stages on the microstructure evolution of LDPE is characterized by the scanning electron microscopy (SEM) and differential scanning calorimetry (DSC). The DC electrical properties of the untreated LDPE and the treated LDPE are investigated via measuring their breakdown strengths, conductivities, space charges and surface potential decays. The results show that, compared with the untreated LDPE, the LDPE treated with the assisted electric field in the whole stage has the smallest spherulite size and the largest spherulite number, followed by the LDPE treated in the cooling stage and the melting stage. The assisted electric field applied in different stages can significantly improve the DC electrical properties of LDPE. Compared with the untreated LDPE, the LDPE treated in the melting stage, the cooling stage and the whole stage increases the breakdown strength but greatly reduces the conductivity and space charge accumulation. The DC electrical properties of LDPE treated with the assisted electric field in the whole-stage are the best. Compared with untreated LDPE, the LDOE treated in whole stage increases the breakdown field strength by 35.8%, reduces the conductivity by 72.0%, and the space charge accumulation by 20.2%. More and smaller spherulites lead to the formation of more interface paths and introduce more deep-traps, which contributes to improving the DC electrical characteristics of the electric field assisted LDPE. This work provides a new idea for improving the DC electrical properties of polymers.
Low-density polyethylene (LDPE) is the basic material of the high-voltage direct current (DC) power cable insulation. The assisted electric field is a common way to regulate the microstructure of polymers, but its application in the field of electrical insulating polymers is rarely reported. In order to study the influence of the assisted electric field on the microstructure evolution and DC electrical properties of LDPE, the LDPEs without and with being treated with assisted electric field are prepared in the melting stage, cooling stage, and the whole stage (i.e. the melting stage and cooling stage), respectively. The influence of the assisted electric field applied in the different stages on the microstructure evolution of LDPE is characterized by the scanning electron microscopy (SEM) and differential scanning calorimetry (DSC). The DC electrical properties of the untreated LDPE and the treated LDPE are investigated via measuring their breakdown strengths, conductivities, space charges and surface potential decays. The results show that, compared with the untreated LDPE, the LDPE treated with the assisted electric field in the whole stage has the smallest spherulite size and the largest spherulite number, followed by the LDPE treated in the cooling stage and the melting stage. The assisted electric field applied in different stages can significantly improve the DC electrical properties of LDPE. Compared with the untreated LDPE, the LDPE treated in the melting stage, the cooling stage and the whole stage increases the breakdown strength but greatly reduces the conductivity and space charge accumulation. The DC electrical properties of LDPE treated with the assisted electric field in the whole-stage are the best. Compared with untreated LDPE, the LDOE treated in whole stage increases the breakdown field strength by 35.8%, reduces the conductivity by 72.0%, and the space charge accumulation by 20.2%. More and smaller spherulites lead to the formation of more interface paths and introduce more deep-traps, which contributes to improving the DC electrical characteristics of the electric field assisted LDPE. This work provides a new idea for improving the DC electrical properties of polymers.
2024, 73(22): 228101.
doi: 10.7498/aps.73.20241152
Abstract:
In the process of preparing perovskite polycrystalline films by solution method, toxic solvents are used, and heat treatment is still the main way to induce perovskite grain growth, which not only increases energy consumption, but also hinders the development of flexible solar cells. In order to avoid the use of toxic solvents and high-temperature process, CsPbBr3 nanocrystal films are treated with low temperature solution to obtain corresponding polycrystalline thin films, which are applied to solar cells. Firstly, CsPbBr3 nanocrystalline (nanocrystalline NC) ink precursor is prepared by hot injection method, and nanocrystalline film is prepared by spinning coating method. In atmospheric environment, CsPbBr3 nanocrystalline films are prepared by saturated solution of Pb(SCN)2 and NH4Br methyl acetate. Using the CsPbBr3 nanocrystalline film as an absorbing layer, the perovskite solar cell is prepared and the performance of the cell is effectively improved, and the efficiency of the cell reaches 8.43%. The results show that the saturated solution of Pb(SCN)2 and NH4Br methyl acetate (MA) can not only continue the nanocrystalline crystallization, but also effectively passivate the defects in the perovskite films. In the process of preparing CsPbBr3 polycrystalline films, neither high temperature treatment nor the high boiling point toxic solvent is used, which is suitable for the preparation rigid and flexible solar cells. The inorganic halide perovskite nanocrystals are developed and used as “ink” to fabricate fully air-processed, electrically stable solar cells. Although the prepared film is composed of mosaic nanocrystals capped with a large number of organic ligands and surface traps, this method provides a new approach for single-step, large-scale fabrication of inorganic perovskite devices. Moreover, the flexible control of the material composition provides a platform for uncovering the optimal conditions for optoelectronics and photonics.
Prediction of hysteresis model at different external conditions for giant magnetostrictive materials
2024, 73(22): 228501.
doi: 10.7498/aps.73.20241219
Abstract:
The hysteresis model of giant magnetostrictive materials (GMMs) changes with model parameters: the excitation amplitude, bias condition and excitation frequency. The existing hysteresis model is unable to predict the effects of simultaneous changes in the three external conditions. In this paper, the hysteresis loss mechanism is explained by using the traditional Jiles-Atherton (J-A) dynamic model, and the relation equation is established according to the operating conditions and material properties to respond to the changes of external conditions. For the J-A model, the relationship equation related to the excitation amplitude is established, and the relationship equation relating the residual loss coefficient to the excitation amplitude and the bias condition is established for the residual loss, while the eddy current loss of the system is redefined by using the fractional order to obtain the modified hysteresis model. In the paper, the genetic algorithm is used to identify the model parameters of the test data under different operating conditions, and the corresponding correction coefficients are obtained according to the model parameters and the operating conditions. The accuracy of the modified model is verified by simulating the model and analyzing the influences of eddy currents and residual losses and their effects on the model predictions. The hysteresis model is evaluated to compare the hysteresis curves with the hysteresis losses in terms of errors. The results show that the modified model is capable of predicting various excitations with high accuracy, and that neglecting dynamic losses at low frequencies results in large errors. If the model order of the eddy current loss is smaller than the actual order of the material, the predicted hysteresis curve will be contracted inward and the predicted eddy current loss will be small; on the contrary, the predicted hysteresis curve will be expanded outward and the predicted eddy current loss will be large, and with the increase of the excitation frequency, both cases will cause the prediction error to become larger and larger. When the bias magnetic field is zero, the residual loss coefficient is unchanged; when the bias magnetic field is kept constant, the excitation amplitude increases and the residual loss coefficient decreases; when the excitation amplitude is unchanged, the bias magnetic field increases and the residual loss coefficient also increases. When both the bias magnetic field and the excitation amplitude change at the same time, it is necessary to conduct an actual analysis of their corresponding residual loss coefficients. Using hysteresis curves to evaluate hysteresis is more accurate.
The hysteresis model of giant magnetostrictive materials (GMMs) changes with model parameters: the excitation amplitude, bias condition and excitation frequency. The existing hysteresis model is unable to predict the effects of simultaneous changes in the three external conditions. In this paper, the hysteresis loss mechanism is explained by using the traditional Jiles-Atherton (J-A) dynamic model, and the relation equation is established according to the operating conditions and material properties to respond to the changes of external conditions. For the J-A model, the relationship equation related to the excitation amplitude is established, and the relationship equation relating the residual loss coefficient to the excitation amplitude and the bias condition is established for the residual loss, while the eddy current loss of the system is redefined by using the fractional order to obtain the modified hysteresis model. In the paper, the genetic algorithm is used to identify the model parameters of the test data under different operating conditions, and the corresponding correction coefficients are obtained according to the model parameters and the operating conditions. The accuracy of the modified model is verified by simulating the model and analyzing the influences of eddy currents and residual losses and their effects on the model predictions. The hysteresis model is evaluated to compare the hysteresis curves with the hysteresis losses in terms of errors. The results show that the modified model is capable of predicting various excitations with high accuracy, and that neglecting dynamic losses at low frequencies results in large errors. If the model order of the eddy current loss is smaller than the actual order of the material, the predicted hysteresis curve will be contracted inward and the predicted eddy current loss will be small; on the contrary, the predicted hysteresis curve will be expanded outward and the predicted eddy current loss will be large, and with the increase of the excitation frequency, both cases will cause the prediction error to become larger and larger. When the bias magnetic field is zero, the residual loss coefficient is unchanged; when the bias magnetic field is kept constant, the excitation amplitude increases and the residual loss coefficient decreases; when the excitation amplitude is unchanged, the bias magnetic field increases and the residual loss coefficient also increases. When both the bias magnetic field and the excitation amplitude change at the same time, it is necessary to conduct an actual analysis of their corresponding residual loss coefficients. Using hysteresis curves to evaluate hysteresis is more accurate.








